
Department of Chemistry Education, Graduate Department of Chemical Materials, and Institute for Plastic Information and Energy Materials, Pusan National University, 2 Busandaehak-ro 63 beon-gil, Geumjeong-gu, Busan 46241, Korea
부산대학교 화학교육과, 일반대학원 화학소재학과, 플라스틱정보및에너지소재연구소
Smart windows adaptively screen the sunlight that enters into the room, thereby reducing the cooling cost by restraining the increase of room temperature. Traditional glass-based smart windows have been extensively studied, but it is difficult to manufacture the curved or flexible glazings. In this study, we developed a film-type hybrid smart windows that can show the tansmittance change in response to both external temperature and electric energy, which is achieved by using the thermosensitive hydrogel and transparent silver nanopatterned film. The thermosensitive hydrogel was injected in the space between the films, and the optical transition from transparent to opaque state can be induced by the phase transition of the thermosensitive hydrogel. We found that the silver nanopatterned films effectively generated the heat by the Joule-heating mechasim, leading the phase transition of the hydrogels. Consequently, the aggregated hydrogel chain scattered the light passing through the film, reducing the optical transmittance.
스마트 필름 또는 스마트 윈도우와 같은 투광도 조절 창호 기술은 실내로 유입되는 태양광의 양을 효과적으로 차단하여 여름철 과도한 태양광 유입으로 인한 실내 온도 상승을 억제할 수 있고, 이로 인해 냉방비 절감 효과를 기대할 수 있다. 하지만, 기존의 유리기반 스마트 윈도우는 설치 시 기존 창호를 제거한 후 시공하여야 하고 굴곡이나 특수형태의 창호를 제작하기 어려운 단점이 있다. 반면, 스마트 필름은 기존 창호 위에 덧붙이는 시공이 가능하여 시공비를 대폭 절감할 수 있는 이점이 있다. 본 연구에서는 온도감응성 하이드로젤과 은 나노패턴 필름을 이용하여 외부 온도 및 전기에너지에 감응하는 하이브리드 스마트 필름을 제작하였다. 두 장의 필름 사이에 온도감응성 하이드로젤 전구체를 주입한 후 중합하는 방법을 통해 제작하였고, 제작된 스마트 필름을 구성하는 은 나노패턴 필름이 전류 공급 시 발열하여 온도감응성 하이드로젤의 상전이 유도하는 원리를 이용하였다. 이때, 상전이 된 하이드로젤은 필름을 통과하는 빛을 산란시켜 투광도를 효과적으로 조절할 수 있게 된다. 본 연구를 통하여 형태를 자유롭게 조절할 수 있는 스마트 필름을 제작하고 이의 투광도 조절 특성을 관찰하여 태양광 조절 목적의 창호로의 활용 가능성을 확인하였다.
Keywords: smart films, solar control, thermotropic hydrogels, silver nanopatterned substrates, flexible smart windows
본 연구는 부산대학교의 기본연구지원(2017)에 의해 이루어졌습니다.
하절기에 태양광의 유입으로 인한 실내 온도의 상승은 에너지 사용량을 증가시키는 주요한 요인이다. 유엔 환경계획(UNEP)의 통계에 의하면 전체 에너지 소비의 약 30-40%가 건축물의 쾌적한 환경 유지를 위해 사용되고 있는 가운데,1 냉방 에너지의 절감은 전체 에너지 소비를 획기적으로 줄여환경문제를 해결할 수 있는 중요한 해결방법 중에 하나라고 할 수 있다.
실내로 유입되는 태양광의 양을 조절하기 위하여 기존에는 커튼이나 블라인드와 같은 장치를 사용하고 있으나, 최근 투광도를 주변 환경에 따라 혹은 사용자의 조작에 의해 자유롭게 조절할 수 있는 투광도 가변형 창호인 스마트 윈도우(smart windows)2-30 기술이 각광을 받고 있다. 스마트 윈도우는 주로 두 장의 투명한 유리기판 사이에 투광도 혹은 색을 조절할 수 있는 물질을 충전시켜 제작한다. 충전되는 물질의 작동 특성에 따라 크게 수동형(passive)과2-18 능동형(active)으로19-30 분류할 수 있다. 사용자의 조작없이 주변 환경에 의해 충전된 재료의 상전이 혹은 화학적 결합 변화를 통해 투광도나 색이 조절되는 경우, 이를 수동형이라고 정의한다. 그리고 전기에너지 인가 등의 사용자 조작을 통해 재료의 투광도나 색을 조절하는 경우 능동형이라고 정의한다. 수동형 스마트 윈도우는 주로 광변색(photochromic),2-5 열변색(thermochromic),6-9 그리고 열방성(thermotropic)10-18 등의 작동방식으로 분류되는데, 광변색과 열변색 방식은 외부 기온의 변화에 따라 충전된 재료의 산화환원반응을 통해 색이 변하는 방식이다. 반면, 열방성 방식은 충전된 재료가 온도 상승에 따라 상전이를 일으켜 투과하는 빛을 산란시켜 빛의 통과를 막는 원리를 가진다. 수동형 스마트 윈도우는 외부 환경에 능동적으로 스스로 투광도를 조절할 수 있는 기능을 가지지만, 사용자의 요구에 의해 임의로 투광도를 조절할 수 없는 단점이 존재한다. 능동형 스마트 윈도우는 대부분 전기에너지를 가하여 내부 충전된 재료의 산화환원반응이나 입자의 배열을 통해 색 혹은 투광도를 조절하게 된다. 주로 전기변색(electrochromic),19-24 분극입자소자(suspended particle devices),25-27 그리고 고분자 분산액정(polymer dispersed liquid crystal)28-30 등으로 분류된다. 전기변색은 충전된 재료가 전기에너지를 가해줄 때 각 전극에서 산화와 환원 반응을 일으킨다는 점을 이용하여 산화상태에 따라 색이 변화하는 원리를 이용한다. 이 기술은 비교적 오랜기간 연구와 개발이 이루어진 방식으로 현재 가장 널리 응용되고 있다. 분극입자소자 혹은 고분자분산액정을 이용한 방식은 전기장에 따라 입자가 정렬되거나 혹은 무작위하게 배열하면서 빛을 산란시키는 원리를 이용하여 투광도를 조절한다. 수동형 스마트 윈도우에 비해 설치 비용 및 장치의 복잡성이 증가하지만 투광도 변화가 필요한 시점에 사용자의 요구에 맞춰 조절할 수 있다는 이점이 있다. 수동형 스마트 윈도우에 능동형의 장점인 사용자 조작에 의한 투광도 변화를 가능하게 하기 위해 하이브리드 방식의 기술이 개발되었다. 전기 에너지를 통해 발열이 가능한 ITO(indium tin oxide) 기판을 사용하여, Joule 발열 방식을 통해 열방성 재료의 상전이를 유도하는 방식을 사용한다.17
위에서 기술한 기존의 스마트 윈도우는 주로 딱딱한 유리기판 사이의 공간에 재료를 충전하는 샌드위치 방식을 이용한다. 따라서 두께가 두꺼우며 쉽게 휘거나 말릴 수가 없다. 또한 유리로 제작된 스마트 윈도우는 기존의 창호를 제거한 후 설치해야 하므로 보급이 제한적이라 할 수 있다.
본 연구에서는 유연한 고투명 전도성 필름과 온도감응성 하이드로젤을 이용하여 외부 환경에 따른 투광도 조절뿐만 아니라 사용자의 조작에 의한 전류의 세기에 따른 투광도 조절 모두 가능한 하이브리드 스마트 필름을 제작하였다. 제작된 스마트 필름은 온도 및 전류의 세기에 따른 투광도가 조절될 수 있었다. 또한 유리 기반의 기존 기술과는 달리 유연한 상태에서도 작동이 가능하였다. 이를 통해, 기존 창호에 부착하는 방법을 통해 활용도를 제고할 수 있었다.
시약 및 재료. TCI(Nihonbasi-honcho, Chuo-ku, Japan)사의 N-이소프로필아크릴아미드(N-isopropylacrylamide, NIPAm)를 온도감응성 단량체로 사용하였다. 가교제인 N,N'-메틸렌비스아크릴아미드(N,N'-methylenebis(acrylamide), BisAA)와 개시제인 암모늄퍼설페이트(ammonium persulfate, APS)와 가속제인 테트라메틸에틸렌디아민(tetramethylethylenediamine, TEMED)은 Sigma-Aldrich(St Louis, MO, USA)사에서 구매하여 추가적인 정제 없이 사용하였다. 팽윤비 측정을 위해 PolyScience(Warrington, PA, USA)사의 지름 3 μm 폴리스티렌(polystylene) 형광입자를 사용하였다. 은 나노패턴 필름은 Fujumori Sangyo Co.(Shinagawa-ku, Tokyo, Japan)사의 제품을 사용하였다.
PNIPAm 하이드로젤의 제조. 단량체인 NIPAm 7.21 mg(637.2 mM)과 가교제인 BisAA 0.1 mg(6.5 mM)을 혼합한 후 최종 부피가 100 μL가 되도록 증류수를 추가하였다. 혼합된 용액은 산소를 제거하고 10% 농도의 APS 0.5 μL와 TEMED 0.3 μL가 첨가되었다. 이후 미리 제작된 일정 두께(150 μm)의 스페이서(spacer)로 분리되어 있는 두 장의 슬라이드글라스(slide glass) 사이로 모세관현상을 통해 삽입되었다. 질소분위기 하에서 1시간 후 반응을 종결하고 슬라이드글라스를 제거하고, 증류수에 팽윤시켜 보관하였다. 증류수는 최소 3회 이상 교체하여 하이드로젤의 내부에 미반응 단량체를 제거하였다. 하이드로젤의 초기팽윤비 및 팽윤비의 변화를 추적하기 위하여 1 mm2 당 10개 이상의 폴리스티렌 형광입자를 포함시켜 중합하였다.
PNIPAm 하이드로젤을 포함하는 스마트 필름의 제작. 가교밀도를 제외하고 PNIPAm 하이드로젤의 제작과 동일한 방법을 사용하였다. 단량체인 NIPAm 355.1 mg(1046 mM)과 가교제인 BisAA 4.9 mg(10.6 mM)을 혼합한 후 3.0 mL이 될 때까지 증류수를 첨가하여 전구체 용액을 제조하였다. 용액을 질소 분위기로 만든 후 10% 농도의 APS와 TEMED를 각각 3 μL와 1.8 μL를 첨가하여 반응을 개시하였다. 은 나노패턴필름을 130 μm 두께의 PET 소재의 스페이서를 통해 이격시키고 그 사이에 개시된 전구체 용액을 삽입하였다. 질소분위기 하에서 1시간 동안 중합한 후 팽윤액의 증발을 막기 위하여 부틸고무 실란트(butyl rubber sealant)를 이용하여 밀봉하였다. 은 나노패턴 필름에 전기에너지를 공급하기 위해 구리테이프(copper tape)를 이용하여 양 끝단에 전극을 설치하였다. 직류전원의 공급은 도요테크(Toyotech, Inchon, Korea)사의 DP30-03C 모델을 이용하였다.
측정 및 분석. 하이드로젤의 부피 변화는 하이드로젤 내부에 포함된 형광입자의 위치를 형광현미경(DMI-3000B, Leica, Germany)을 통하여 관찰하여 결정하였다.31 온도에 따른 투광도 변화의 정량적분석은 항온순환수조(RW3-P, Jeio Tech, Korea)에 연결된 자외선-가시광선 분광광도계(Evolution 201, Thermo Scientific, Waltham, MA, USA)를 이용하여 300-900 nm 영역의 투과 스펙트럼을 측정한 후, 가시광선 영역의 600 nm 파장의 투광도 값을 통해 기록되었다. 전류 공급에 따른 스마트 필름의 투광도 변화는 디지털 카메라를 이용하여 촬영하였다.
본 연구에서는 온도감응성 하이드로젤을 발열 기능이 있는 두 장의 은 나노패턴 필름 사이에 삽입시키는 방법을 통해 실내로 유입되는 태양광을 효과적으로 차단할 수 있는 하이브리드 스마트 필름을 제작하였다. 온도감응성 하이드로젤은 외부 온도에 따라 상전이를 일으키는 고분자로 구성되어 있는데, Figure 1에서 보듯이, 전기에너지를 가하지 않은 상태에서 고분자 사슬은 팽윤액에 의해 팽윤된 상태로 존재한다. 이때, 사슬간의 거리는 충분히 멀리 떨어져 있어 빛의 파장보다 작은 크기로 분포하고 있으므로, 하이드로젤을 통과하는 빛은 산란하지 않고 투과하여 스마트 필름은 투명한 상태로 보이게 된다. 하지만, 은 나노패턴 필름을 전기에너지를 가하여 발열시키면 필름에서 발생한 열이 온도감응성 하이드로젤에 전달되어 하이드로젤의 온도가 아래임계용액온도(lower critical solution temperature, LCST) 이상으로 상승하여 상전이를 일으키게 된다. 본 연구에서 사용한 대표적인 온도감응성 고분자인 PNIPAm의 LCST는 32-33 ℃로, 상전이 온도 이상에서는 말단에 위치한 이소프로필기(isopropyl group)와 물과의 수소결합력보다 이소프로필기끼리의 수소결합력이 증가하게 되어 고분자 사슬끼리 뭉치는 현상이 생기게 된다. 즉, 온도가 상승하면 하이드로젤을 구성하는 고분자 사슬끼리 뭉쳐 상전이 현상이 일어나게 되고, 하이드로젤을 통과하는 빛을 산란시켜 실내 유입을 막게 된다. 위 방법으로 제작된 스마트 필름은 외부 기온 뿐만 아니라 사용자가 필요한 시점에 전기에너지를 통해서도 태양광을 차단할 수 있는 하이브리드방식을 보여준다.
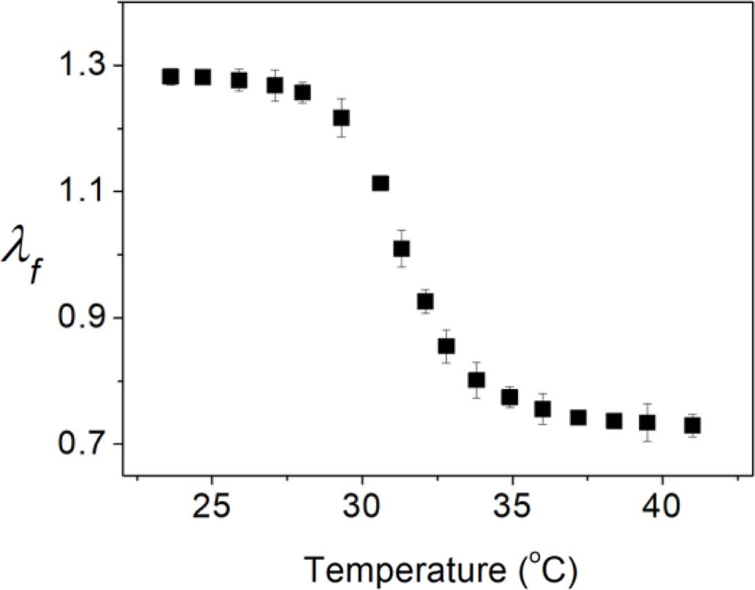
우선, 스마트 필름 구성에 사용된 PNIPAm 하이드로젤의 상전이 특성을 관찰하기 위하여 온도에 따른 하이드로젤의 팽윤 특성과 온도감응 특성을 측정하였다. 선형팽윤비(λf)는 하이드로젤의 초기 길이에 대한 팽윤 후의 길이의 비로 나타낼 수 있다. 선형팽윤비의 정확한 측정을 위해서 하이드로젤을 제조할 때 폴리스티렌(polystrylene) 형광입자를 1 mm2당 10개 이상의 비율로 포함해 제작하였다. 형광 현미경을 이용하여 하이드로젤 내부에 포함된 형광입자의 위치를 팽윤 전후로 측정하고 이들의 무게 중심으로부터 각 입자간의 거리변화량을 비교하여 선형팽윤비를 얻었다. 하이드로젤의 팽윤특성은 사용되는 단량체의 농도 및 가교 밀도를 통해 조절할 수 있다.32,33 특히, 하이드로젤의 상전이 온도의 조절은 제작된 스마트 필름의 작동 온도 범위를 결정하게 된다. 본 연구에서는 온도에 따른 상전이 현상을 확인하기 위하여 가교 밀도를 0.5 mol%로 제작한 PNIPAm 하이드로젤의 온도에 따른 팽윤비 변화를 관찰하여 Figure 2에 표기하였다. 제작된 PNIPAm 하이드로젤의 25 ℃에서 초기 선형팽윤비는 1.28로 관찰되었다. 온도에 따른 팽윤비의 변화를 관찰하기 위해서 팽윤액을 승온시키고 하이드로젤이 평형 팽윤상태에 도달할 수 있도록 약 10분간 기다린 후 측정을 진행하였다. 온도가 상승함에 따라 선형팽윤비는 감소하게 되는데, PNIPAm의 LCST인 32 ℃ 부근에서 급격한 감소를 관찰할 수 있었다. 약40 ℃ 부근까지 감소가 이어지고 최종적으로 하이드로젤은 약43%의 선형 수축률을 보였다. 이는 부피로 환산했을 때 80%에 해당하는 값으로 PNIPAm 하이드로젤을 구성하는 고분자 사슬이 상전이를 통해 응집함을 확인할 수 있었다.
하이브리드 방식을 보이는 유연한 스마트 필름을 제작하기 위하여 투명도가 뛰어나고 발열 특성이 우수한 은 나노패턴필름을 사용하였다. 이 필름은 투명한 폴리에틸렌 테레프탈레이트(polyethylene terephthalate, PET) 필름 위에 10 μm 두께로 은을 네트워크 모양의 나노패턴으로 증착하여 제작한 것이다. 투명성을 유지하면서도 전기에너지를 가해주면 저항에 의해 발열하는 특성을 가져 하이브리드 방식의 스마트 필름을 제작하는데에 적합한 특성을 가진다. Figure 3(a)를 보듯이, 투명한 두 장의 은 나노패턴 필름 사이에 120 μm의 PET 소재의 스페이서를 삽입하여 몰드를 제작하였다. 스페이서에 의해 이격된 필름 사이에 개시제인 APS와 가속제인 TEMED가 혼합된 NIPAm 단량체와 가교제인 BisAA를 주입하였다. 자유라디칼 중합을 위해 산소를 제거한 후 질소 분위기 하에서 1시간 동안 방치하여 중합을 완료하였다. 중합이 완료된 후 필름의 가장자리는 팽윤액의 증발을 방지하기 위하여 부틸고무 실란트를 이용하여 밀봉하였다. 은 나노패턴 필름의 양 끝단에 구리 테이프를 이용하여 전극을 제작하였다. 은 나노패턴 필름은 직류 전원에 의해 저항이 발생하여 발열체로 사용 가능하므로 전압 및 전류를 조절할 수 있는 직류 전원 장치를 양 전극에 연결하여 하이브리드 스마트필름을 제작하였다.
Figure 4(a)와 같이, 양 전극에 전기에너지를 흘려주면 은나노패턴의 저항에 의하여 Joule 발열이 일어나게 된다. 은나노패턴 필름의 발열 특성이 온도감응성 하이드로젤을 상전이 시키기에 충분한 열을 발생하는지, 또 전류의 세기를 조절하여 온도를 세심하게 조절할 수 있는지 확인하기 위하여 필름의 중앙에 온도계를 설치한 후 가해주는 전류에 따라 필름의 온도 변화를 관찰하였다. Figure 4(b)를 보면, 전압을 가하지 않은 ‘끔’ 상태에서는 외부 기온과 동일한 25 ℃를 나타내었다. 하지만, 직류 전원장치를 켜고 필름에 가해지는 전류를 상승시킬수록 필름 중앙부의 온도가 상승하는 것을 확인할 수 있다. 4.5 V의 전압으로 0.06 A의 전류를 가할 때 필름온도는 28.2 ℃를 나타내었고, 0.12 A를 가했을 때, 필름의 온도는 PNIPAm 하이드로젤의 LCST인 32 ℃를 상회하는 온도를 보였다. 가해지는 전류가 상승함에 따라 필름의 온도는 선형으로 증가함을 알 수 있었다. 온도 상승 특성은 나노패턴의 두께 및 나노패턴의 밀도에 따라 조절될 수 있다.
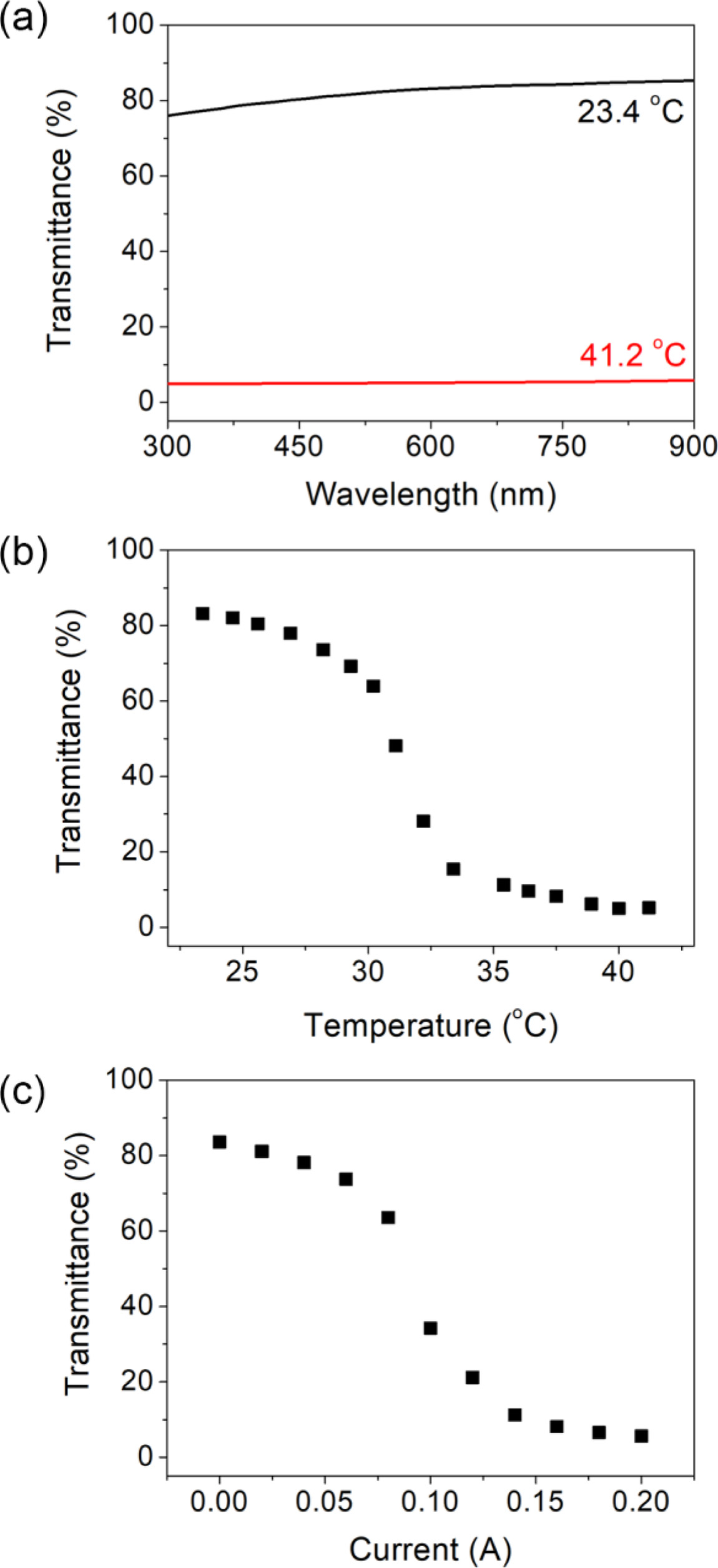
제작된 하이브리드 스마트 필름은 온도감응성 하이드로젤을 포함하므로 온도의 변화 또는 공급되는 전류의 세기에 의해 투광도를 조절할 수 있다. 외부 창호에 부착 시 태양광의 조사가 강한 여름철 한낮에는 불투명한 상태로 상전이하여 태양광을 차단하고, 기온이 낮아지면 다시 투명한 상태로 되돌아 갈 수 있다. 사용자의 조작없이 기온에 의해 자동으로 투광도가 조절되므로, 실내 온도를 일정하게 유지하기에 적합하다. Figure 5(a)는 상전이 전후의 온도에 따른 자외선-가시광선 투과 스펙트럼을 도시하고 있다. 시료 온도는 분광광도계의 시료잡이에 연결된 항온순환조를 이용하여 조절하였다. 23.4 ℃에서는 PNIPAm 하이드로젤로 제작된 스마트 필름의 투광도가 300~900 nm의 전 영역에 걸쳐 80% 수준을 보인다. 하지만, 온도를 상승시켜 상전이온도 이상이 되면 고분자 사슬끼리의 뭉침 현상이 생겨 투과하는 빛을 산란시키고 측정된 전 영역에 걸쳐 5% 내외의 투광도를 보이는 것으로 관찰되었다. 스마트 필름의 투광도 변화를 자세히 관찰하기 위하여 약 1 ℃ 간격으로 온도를 조절하면서 300~900 nm의 투광도를 측정 후 600 nm의 파장을 선택하여 Figure 5(b)에 도시하였다. 25 ℃에서 스마트 필름은 80% 이상의 투광도를 보인다. 온도가 상승함에 따라 Figure 2의 온도에 따른 하이드로젤의 팽윤비 변화와 유사한 거동을 보이게 된다. 약 32 ℃에서 투광도의 급격한 감소를 보이며, 40 ℃ 이상에서 5% 이하의 투광도를 보이는 것으로 관찰되었다.
하이브리드 스마트 필름은 은 나노패턴 필름에 공급되는 전류의 세기를 통해서도 투광도를 조절할 수 있는데, Figure 5(c)에 전류의 세기에 따른 투광도의 변화를 나타내었다. Figure 4(b)에서 보았듯이, 은 나노패턴 필름에 전류를 가해 발열시키면 사이에 위치하는 온도감응성 하이드로젤이 열을 흡수하여 상전이를 일으키게 된다. 전원 공급장치를 끈 상태에서는 필름이 발열하지 않으므로 80% 이상의 투광도를 보이지만, 전원 공급장치를 켜 전류를 공급하게 되면 투광도가 감소하기 시작한다. 공급되는 전류가 0.2 A가 되었을 때, 투광도가 최소로 감소하고 이때의 투광도는 5%로 관찰되었다.
제작된 하이브리드 스마트 필름은 온도 및 공급되는 전류의 세기에 따라 효과적으로 투과하는 빛을 차단할 수 있다. Figure 6(a)를 보면, 공급되는 전류의 세기에 따른 스마트 필름의 투광도 변화를 확인할 수 있다. 전류가 가해지지 않을때는 초기의 투명한 상태를 유지하고 있지만, 전류가 가해지면서 점차 불투명한 상태로 전환되고, 1.5 A를 가했을 때 완전히 불투명한 상태로 전환되어 배경이 관찰되지 않는 것을 확인할 수 있다.
유연한 기판으로 제작되어 굽힘이 가능한 스마트 필름의 작동 특성을 관찰하였다. Figure 6(b)에서 보듯이, 제작된 스마트 필름을 굽히더라도 전류의 인가 여부에 따라 투광도를 조절할 수 있다. 전류가 가해지지 않은 상태에서는 필름의 전영역에 있어 투명한 상태를 보이고, 1.5 A의 전류가 가해져 하이드로젤이 상전이를 일으킨 이후에는 전 영역에 걸쳐 완벽히 불투명한 상태를 보이는 것으로 관찰할 수 있었다.
|
Figure 1 Schematic of electrical energy induced transmittance changes of hybrid smart films. |
|
Figure 2 Temperature dependent linear swelling ratio for PNIPAm hydrogels. |
|
Figure 3 Illustration for the fabrication of hybrid smart films. |
|
Figure 4 (a) Photograph of the transparent silver nanopatterned films; (b) The calibration curve for current-temperature of silver nanopatterned films. |
|
Figure 5 (a) Transmittance specta measured at 23.4 ℃ and 41.2 ℃ for the fabricated film-type hybrid smart windows; (b) Temperature and (c) current dependent transmittance changes of smart windows. |
|
Figure 6 Photographs of current dependent transmittance changes for smart film at (a) flat; (b) curved states. |
본 연구에서는 상전이를 통해 실내로 유입되는 빛을 산란시킬 수 있는 온도감응성 하이드로젤과 유연하며 전기발열이 가능한 은 나노패턴 필름을 이용하여 하이브리드 스마트 필름을 제작하였다. 제작된 스마트 필름의 온도 혹은 전류의 세기에 따른 투광도의 변화를 확인하고 곡률이 있는 굽힘 상태에서도 투과하는 태양광을 차단할 수 있음을 보였다. 스마트필름은 기존의 유리 기판을 이용한 스마트 윈도우를 설치하기 위해서는 기존 창호를 교체해야만 하는 단점을 필름을 기존 창호에 붙이는 방식으로 대체할 수 있다는 장점이 있고, 편평하지 않은 곡면에도 적용할 수 있다는 장점을 가질 수 있다. 또한 기존의 능동형 스마트 윈도우가 사용자의 조작없이는 투광도 조절이 불가능하고, 수동형 스마트 윈도우가 오직 외부 환경에 의해서만 투광도 조절이 된다는 각각의 단점이 존재하는데, 본 연구의 스마트 필름은 외부 온도에 따라 혹은 사용자의 조작을 통해서도 투광도를 조절할 수 있는 하이브리드 작동 방식을 구현하였다.
온도감응성 하이드로젤은 사용하는 단량체의 종류에 따라 상전이 온도구간을 조절할 수 있는 특징을 가진다. 이는 온도감응성 하이드로젤을 사용하는 스마트 필름의 상전이 온도구간을 적용하고자 하는 지역의 기후에 따라 선택적으로 제작할 수 있음을 시사한다. 또한 필름에 코팅되는 발열체의 종류 등을 조절하여 고투광도 혹은 저전력 등의 용도에 맞는 제작이 가능하다. 이러한 장점들은 가변 투광도를 가지는 하이브리드 스마트 필름의 응용 가능성을 크게 확대할 것으로 기대할 수 있다.
This Article2019; 43(1): 144-150
Published online Jan 25, 2019
Services
Correspondence toDepartment of Chemistry Education, Graduate Department of Chemical Materials, and Institute for Plastic Information and Energy Materials, Pusan National University, 2 Busandaehak-ro 63 beon-gil, Geumjeong-gu, Busan 46241, Korea