
Seong-Soo Lee, Seon Min Kim*, Myong Jae Yoo*, and Ho-Jong Kang† 
Department of Polymer Science and Engineering, Dankook University, Gyeonggi-do 16890, Korea
*Electronic Convergence Materials & Device Research Center, KETI (Korea Electronics Technology Institute) #25 Saenari-ro, Bundang-gu, Seongnam-si, Gyeonggi-do 13509, Korea
단국대학교 고분자공학과, *전자부품연구원
Poly(vinyl alcohol)(PVA) films with cellulose micro and nano fibers were obtained and their mixing characteristics and dimensional stability were studied. Cellulose nano fiber shows better mixing characteristic with PVA than cellulose micro fiber, resulting in that, PVA film with cellulose nano fiber shows lower haze and higher transmittance. Mixing characteristics and transmittance of both films enhanced by the surface modification of cellulose fibers. In addition, the dimensional stability of PVA films improved by both nano and micro cellulose fibers. The methods and the level of surface modification affect the degree of crystallinity in PVA film and dimensional stability.
표면이 개질된 셀룰로오스 마이크로/나노 섬유를 폴리(비닐 알코올)(PVA)과 혼합하여 복합필름을 제조하고 이들의 혼합 특성 및 치수 안정성 변화를 살펴보았다. 나노 섬유는 마이크로 섬유에 비하여 PVA와 혼합 특성이 우수하며 두 섬유 모두 표면 개질에 의하여 혼합 특성이 향상됨을 알 수 있었다. 이러한 혼합 특성 개선은 섬유 첨가에 따른 필름 헤이즈 현상을 감소시켜 PVA 필름의 광투과 특성이 우수해 짐을 확인하였다. 아울러 셀룰로오스 섬유 첨가는 PVA 필름의 치수안정성을 향상시키며 표면 개질 방법 및 정도에 따라 섬유 첨가가 필름 결정화도에 영향을 미쳐 이에 따른 치수안정성 변화를 확인할 수 있었다.
Keywords: poly(vinyl alcohol), cellulose micro and nano fibers, transmittance, dimensional stability
본 연구는 산업통상자원부가 지원한 국제공동연구사업(친환경 복합 소재 기반의 전자 디바이스 포장용 다층 필름 개발: N053100013)과 경기도가 지원한 경기도 지역협력연구센터(GRRC) 사업(고기능 나노 코팅 컨소시엄(고기능복합소재개발): GRRC단국 2018-B02)의 지원으로 수행되었습니다.
폴리(비닐 알코올)(PVA) 필름은 LCD 디스플레이에 사용되는 편광 필름을 제조하는 기본 필름으로 사용되고 있다.1,2 편광필름을 제조하기 위해서는 무연신 PVA 필름 제조가 필수적이며 무연신 PVA 필름은 수용성인 PVA를 용액으로 제조한 후, T 다이를 이용하여 벨트 혹은 드럼 제막기에 도막하고 이를 건조하는 방법으로 제조되고 있다.3 편광 필름 제조는 무연신 PVA 필름을 요오드와 요오드-칼륨 착체계 수용액에 담구어 염착시킨 후 4~6배 정도로 일축 연신하고 건조 공정을 거쳐 제조된다.4,5 유기 고분자가 갖는 고유의 팽창 및 수축 특성과 함께 제조공정에서의 연신과 건조 공정은 제조된 편광필름 사용 시 치수 안정성에 매우 심각한 영향을 미친다. 광학필름으로서 우수한 치수 안정성과 내구성을 유지하기 위하여 제조된 편광 필름은 PVA 접착제를 사용하여 트리아세틱셀룰로오스(TAC) 필름을6,7 보호필름으로 양면에 접착시켜 사용하고 있다. 따라서 편광필름의 치수 안정성은 사용 PVA 접착제 그리고 보호필름의 우수한 치수 안정성에 따라 개선될 수 있으며 이와 함께 사용 PVA 고유 치수 안정성을 증가시켜 PVA 편광필름 제조 공정인 연신 및 건조 공정에 적용하여 개선될 수 있다.
일반적으로 고분자 필름의 치수 안정성을 증가시키는 방법으로 필름 제조 공정 시 연신비의 최소화, 장시간의 건조 및 열처리 등을8,9 들 수 있으나 편광 필름의 경우 빛의 편광 특성을 얻기 위해서는 이러한 가공조건에 의한 조절은 매우 제한적이다. 따라서 사용 PVA의 고유 치수 안정성을 증가시키는 방법으로 분자량 증가 혹은 유무기 필러의 첨가를 고려할 수 있다. 하지만, 이러한 방법 적용은 필름의 광학적 특성에 영향을 최소화하는 수준에서 이루어져야 한다. 특히, 유무기 필러의 첨가는 필름의 광투과 특성에 감소시키는 문제점을 야기시켜 이에 대한 개선책이 필요하다. 따라서 LCD 편광판이 사용되는 가시광선 영역에서의 투과 특성에 영향을 최소화하기 위하여 크기가 작은 나노 필러의 적용이 필요하다.
최근 기계적 혹은 화학적 방법에10,11의하여 나노 셀룰로오스의 대량 생산이 가능해 지고 셀룰로오스가 갖는 친환경성과 종횡비에 의한 우수한 기계적 특성으로 인하여 나노 셀룰로오스 섬유를 이용한 다양한 바이오 복합소재의 개발이 진행되고 있다.12,13 폴리프로필렌과 혼합에 의한 기계적 강도 증가 및 발포 특성 개선 연구 등이14,15 진행되고 있으며 나노 셀룰로오스의 우수한 수용성과 섬유 표면의 하드록실기와 PVA의 하드록실기의 결합에 의한 고기능성 PVA 포장용 필름 개발이16,17 이루어 지고 있다. 이러한 연구개발은 최근 셀룰로오스 나노 섬유 관련 특허의 급격한 증가로 이어지고 있다.
본 연구에서는 편광필름 재료로 사용되고 있는 PVA 필름의 치수안정성을 증가시키기 위하여 PVA에 마이크로 셀룰로오스 섬유(CMF)와 나노 셀룰로오스 섬유(CNF)를 혼합하여 이들의 혼합 특성과 치수 안정성 변화를 확인하였다. 특히 셀룰로오스 섬유의 표면 개질(MCMF, MCNF)이 혼합 특성 및 치수 안정성에 미치는 영향을 중점적으로 살펴보았다.
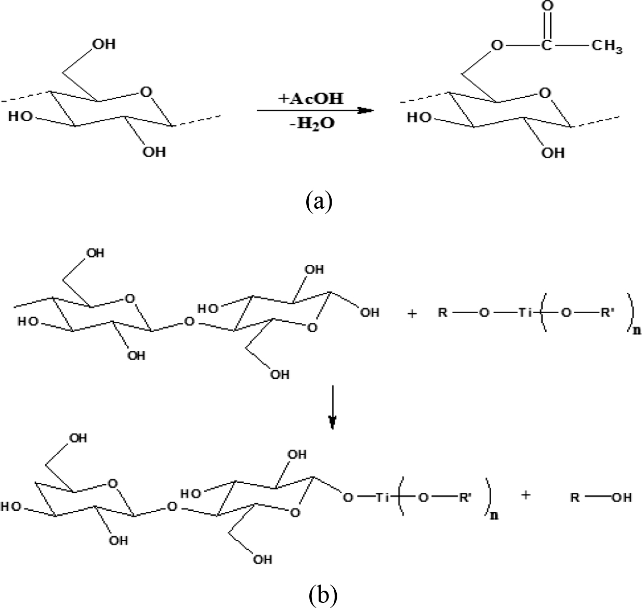
본 연구에서 사용한 필름 제조용 폴리(비닐 알코올)(PVA)은 비누화도가 87-89%이며 분자량이 85000~124000인 PVA를 Aldrich에서 구입하여 사용하였다. 셀룰로오스 마이크로 섬유와 셀룰로오스 나노 섬유는 각각 Dicel과 무림제지에서 공급받아 사용하였으며 표면 개질 셀룰로오스 섬유는 전자부품연구원에서 Figure 1과 같이 아세트산(Samchun Pure Chemical)과 titanium coupling agent(neopentyl(diallyl)oxy tri(dioctyl) pyrophosphate titante: Kenrich Petrochemicals, Inc.)를 이용하여 아세트산으로 표면 개질된 셀룰로오스 마이크로/나노 섬유(MCMF-Ac, MCNF-Ac)와 titanium coupling agent로 개질된 셀룰로오스 나노 섬유(MCNF-Ti)를 공급받아 사용하였다.
셀룰로오스 마이크로/나노 섬유는 아세트산에 넣어서 1시간 동안 분산 후에 오븐에서 60 oC에 건조하여 Figure 1(a)와 같이 셀룰로오스의 OH기가 아세테이트로 치환된 섬유를 제조하였다. Titanium coupling agent를 이용한 셀룰로오스 나노 섬유 표면 개질은 물에 분산된 셀룰로오스 나노 섬유를 아세톤으로 용매 치환한 후 아세톤 용매 상에 재분산을 진행하였다. 재분산된 셀룰로오스 나노 섬유에 아세톤을 추가하여 0.8%의 농도로 맞추고 titanium coupling agent를 아세톤에 용해시켜 별도로 준비하였다. 이 용액은 Ti agent:CNF를 10:1(MCNF-Ti10)과 30:1(MCNF-Ti30)로 하여 만들고 준비된 셀룰로오스 나노 섬유 분산액과 titanium coupling agent 용액을 같은 부피비로 섞어 9시간 동안 교반하고 셀룰로오스 나노 섬유와 titanium coupling agent가 섞인 용액을 원심분리를 이용해 개질된 셀룰로오스 나노 섬유를 수집하였다.
셀룰로오스 섬유와 표면 개질된 셀룰로오스 섬유는 Thermo Scientific사 FTIR(Nicolet iS10)의 ATR측정 방법을 이용하여 3300 cm-1에서 셀룰로오스 섬유 표면의 -OH 흡수 피크를 확인하고 아세트산과 titanium coupling agent 반응에 의하여 감소된 표면 -OH기 변화로 표면 개질 유무를 확인하였다.
PVA 필름을 제조하기 위하여 PVA를 80 oC 증류수에 용해시켜 20분 교반 후 수용액 상의 셀룰로오스 섬유를 PVA와 1.0-5.0% 중량비로 혼합하여 80oC 24시간 교반하여 필름 제조용 도프(dope)를 제조하였다. 제조된 PVA/셀룰로오스 섬유 도프를 culture dish에 부어 40oC 건조오븐에서 1주일 동안 완전 건조하여 두께가 150 μm인 필름을 제조하여 시편으로 사용하였다.
제조된 필름의 혼합 특성을 확인하기 위하여 Olympus사 편광 현미경(BX51)을 사용하여 40배 배율로 PVA 필름에서의 셀룰로오스 섬유의 혼합 특성을 확인하였다. Perkin Elmer사의 Lambda 950 UV-vis를 이용하여 380~800 nm 사이의 파장에서 필름의 투과도를 측정하였다. 헤이즈는 ASTM D1003-97의 방법으로 적분구를 이용하여 측정하였다. 제조된 필름을 폭이 5 mm이고 길이가 8 mm인 치수 안정성 시편으로 0-120oC 범위에서 10oC/min의 승온 속도로 120 oC까지의 체적 변화를 TMA(TA, Q400)를 이용하여 측정하고 단위 온도당 체적 변화로 coefficient of thermal expansion(CTE: ppm/oC)을 나타내었다. 얻어진 필름의 결정화도를 확인하기 위하여 시차열분석기(TA사 Q20)에 의하여 thermogram을 얻고 이로부터 용융 엔탈피를 측정하여 이를 상대 결정화도로 나타내었다.
|
Figure 1 Surface modification of cellulose fibers by (a) acetic acid; (b) titanium coupling agent. |
Figure 2에 셀룰로오스 마이크로/나노 섬유 그리고 표면이 개질된 셀룰로오스 섬유의 FTIR spectrum을 나타내었다. 그림에서 보는 바와 같이 마이크로 셀룰로오스와 나노 셀룰로오스 모두 3300 cm-1에서의 셀룰로오스 섬유 표면의 -OH 흡수 피크를 확인하였다. 아세트산으로 표면이 개질된 마이크로 및 나노 섬유 모두, 섬유 표면의 -OH기와 아세트산의 반응에 의하여 표면 -OH기는 모두 사라지며 아세트산에 기인된 C=O 피크가 1500 cm-1 근처에서 발현됨을 알 수 있다. Titanium coupling agent에 의하여 표면 개질된 셀룰로오스 섬유는 아세트산에 의한 개질과는 달리 셀룰로오스 표면 -OH 기가 완전이 사라지지 않는 것으로 보아 아세트산에 비하여 섬유의 -OH기와 사용 titanium complex의 반응성이 다소 낮음을 알 수 있으며 Figure 3에서 보는 바와 같이 반응시간을 증가시킴에 따라 추가적인 -OH기의 감소를 확인할 수 있어 반응 조건에 따라 표면 개질 정도를 조절할 수 있음을 알 수 있다. 이러한 표면 특성 변화는 PVA와 혼합 특성 및 필름 물성에 영향을 미칠 것으로 판단된다.
Figure 4에 PVA와 셀룰로오스 섬유를 혼합하여 제조된 필름의 광학 현미경 사진을 나타내었다(40X). Figure 4(a)에 표면이 개질되지 않은 마이크로 셀룰로오스를 첨가하는 경우 마이크로 셀룰로오스 상호간 표면 -OH기의 끌림 현상에 의한 섬유 뭉침 현상 발현으로 셀룰로오스 섬유소가 저배율 광학 현미경 사진에서도 PVA 필름에 확연히 존재함을 알 수 있다. 하지만, 표면이 아세트산으로 개질된 마이크로 셀룰로오스 경우, 표면에 존재하는 OH기가 아세트산으로 개질됨에 따라 섬유의 뭉침 현상이 완전히 없어져 뭉쳐진 섬유소가 사라짐을 알 수 있다. Figure 4(b)에 나노 셀룰로오스를 PVA에 첨가하면 마이크로 셀룰로오스와는 달리 섬유의 뭉침 현상이 완전히 사라짐으로 보아 마이크로 섬유의 뭉침 현상이 섬유 표면 특성과 함께 섬유 크기와도 밀접한 관계가 있음을 알 수 있다. 나노 셀룰로오스의 경우 표면 개질과 개질 방법이 혼합 특성에는 크게 영향을 미치지 않음을 알 수 있는 반면 마이크로 섬유를 PVA 필름의 보강재로 사용하는 경우 표면 개질이 필수적임을 알 수 있다.
PVA와 셀룰로오스의 혼합 특성은 필름의 광학 특성과 밀접한 관계를 갖는다. Figure 5에 셀룰로오스 섬유 첨가에 따른 광학 특성을 나타내었다. Figure 4의 광학 현미경 사진으로 확인된 혼합 특성과 같이 마이크로 셀룰로오스 첨가에 의하여 섬유의 크기와 이에 따른 뭉침 현상에 의하여 헤이즈가 섬유 함량 증가에 따라 급격하게 증가됨을 알 수 있다. 나노 셀룰로오스가 첨가된 PVA 필름은 Figure 4에서 마이크로 섬유와 비교하여 혼합 특성이 우수한 것으로 보여도 섬유 함량이 증가됨에 따라 마이크로 섬유보다 상대적인 헤이즈의 증가는 미약하지만 광학 필름으로 적절하지 않은 헤이즈 증가 특성을 보인다. 하지만, Figure 4로부터 예상되는 광투과 특성과는 달리 두 섬유가 포함된 PVA 필름 모두 매우 유사한 광투과 특성을 보인다. 표면이 개질된 셀룰로오스 섬유는 섬유의 크기에 관계없이 유사한 광투과 특성을 보이며 5%의 섬유 첨가에도 광학필름으로 필요로 하는 투과 특성을 가지고 있음을 알 수 있다. 특히 아세트산에 의하여 표면-OH기가 완전히 사라진 표면 개질된 섬유를 사용하면 PVA 필름의 광투과 특성이 매우 우수함을 알 수 있다.
Figure 6에 셀룰로오스 섬유가 혼합된 PVA 필름의 치수 안정성을 나타내었다. 그림에서 점선으로 나타낸 일반 PVA 필름의 CTE은 400 이상의 높은 CTE, 즉 치수 안정성이 매우 낮음을 보인다. 이는 유기 고분자인 PVA가 갖는 열에 의한 밀도 변화에 기인된 체적 팽창과 PVA 필름의 건조 과정에서 체적 수축에 의한 결과이다. 마이크로 혹은 나노 셀룰로오스가 보강재로 첨가되면 셀룰로오스 섬유가 PVA의 밀도 변화를 방해하는 보강재 역할을 하여 그 결과, CTE가 최소 100정도로 감소하여 PVA 필름의 치수 안정성이 현저히 증가됨을 알 수 있다. Figure 6(a)에서 보는 바와 같이 마이크로 혹은 나노 셀룰로오스 크기는 치수 안정성에는 크게 영향을 미치지 않으나 셀룰로오스 함량의 증가에 따라 마이크로 섬유의 경우, CTE가 다시 증가하는 반면 나노 셀룰로오스는 함량에 따른 치수 안정성의 변화가 크지 않음을 알 수 있다. 이러한 결과는 셀룰로오스 섬유의 크기가 PVA의 거시 구조 즉, 결정화도에 영향을 미침을 예측할 수 있다. Figure 6(b)에 표면이 개질된 마이크로와 나노 셀룰로오스 섬유가 첨가된 PVA의 치수안정성을 나타내었다. 그림에서 보는 바와 같이 표면 개질한 마이크로 섬유를 사용하면 표면 개질을 하지 않는 섬유에 비하여 CTE의 감소가 월등히 적음 즉, 상대적으로 표면 개질 전에 비하여 치수안정성이 떨어짐을 알 수 있다. Figure 5에서 마이크로 섬유의 표면 개질은 PVA와 셀룰로오스의 계면을 최소화하여 투과 특성을 향상시키는 반면 PVA의 체적 팽창의 진행을 열에 의한 체적 변화가 상대적으로 적은 셀룰로오스 섬유가 막아주는 셀룰로오스의 보강재 역할은 오히려 감소되는 것을 알 수 있다.
나노 셀룰로오스의 경우, 마이크로 셀룰로오스와는 달리 표면 개질에 의한 치수 안정성의 변화는 거의 없음을 알 수 있다. 이는 나노 셀룰로오스는 표면 개질에 관계없이 PVA와 혼합 특성이 우수하며 따라서 PVA와 셀룰로오스 섬유의 계면에 영향을 미치지 못하여 치수안정성에는 변화가 없음을 알 수 있다. Figure 6(b)서 보는 바와 같이 개질 후 셀룰로오스의 -OH기가 거의 없는 아세트산으로 개질된 섬유의 치수 안정성이 상대적으로 표면 개질이 적은 titanium coupling agent로 개질된 섬유보다 우수하며 agent의 비율을 증가시켜 표면 개질이 더 많이 진행된 titanium으로 개질된 나노 섬유를 사용하면 치수 안정성이 아세트산으로 개질된 섬유와 유사해지는 것으로 보아 개질에 따른 PVA와 셀룰로오스 섬유의 계면 감소가 필름의 치수 안정성에 영향을 미침을 확인할 수 있다.
Figure 7에 셀룰로오스 섬유가 첨가된 PVA 필름의 상대 결정화도를 DSC에 의한 용융 엔탈피 변화로 나타내었다. 그림에서 보는 바와 같이 표면이 개질되지 않은 마이크로 셀룰로오스 1 wt% 첨가에 의하여 PVA의 결정화도가 크게 증가함을 알 수 있다. 이 경우 마이크로 셀룰로오스는 PVA의 결정화를 촉진시키는 기핵 역할을 하나 지나친 마이크로 셀룰로오스의 함량 증가는 오히려 PVA의 결정 성장을 방해함을 알 수 있다. 이와는 달리 크기가 작은 셀룰로오스 나노 섬유는 상대적으로 기핵제로 크기가 작아 결정화 증가에 영향을 미치지 못하며 PVA의 결정 성장을 방해하는 것을 알 수 있다. 아세트산으로 개질된 마이크로와 나노 셀룰로오스 모두 PVA와의 우수한 혼합 특성에 의하여 결정 성장을 방해하며 셀룰로오스를 5%의 첨가에 의하여 비결정 PVA 필름을 얻을 수 있음을 알 수 있다. 이와는 달리 titanium coupling agent로 개질된 나노 셀룰로오스는 사용된 neopentyl(diallyl)oxy tri(dioctyl) pyrophosphate titante로 셀룰로오스의 OH기를 치환된 곁사슬 길이가 아세트산으로 치환된 길이에 비하여 길어 PVA의 결정화 거동에는 상대적으로 영향을 적게 미처 PVA의 원래 결정화도를 유지함을 알 수 있다.
|
Figure 2 FTIR spectrum of cellulose fibers. |
|
Figure 3 Effect of reaction time on the substitution of titanium complex on -OH in cellulose fibers. |
|
Figure 4 Mixing characteristics of (a) PVA with micro cellulose fibers; (b) PVA with nano cellulose fibers. |
|
Figure 5 Optical properties of PVA with cellulose fiber: (a) haze; (b) transmittance. |
|
Figure 6 Dimensional stability of PVA with cellulose fibers: (a) untreated cellulose fiber; (b) surface modified cellulose filber. |
|
Figure 7 Relative crystallinity of PVA with cellulose fibers. |
본 연구에서는 광학필름으로 사용되는 폴리(비닐 알코올) 필름에 마이크로와 나노 셀룰로오스 섬유 그리고 이들의 표면을 개질한 셀룰로오스 섬유를 첨가하여 혼합 특성 및 PVA 필름 물성에 미치는 영향을 확인하여 다음과 같은 결론을 얻을 수 있었다.
1. 나노 셀룰로오스의 첨가는 마이크로 셀룰로오스 첨가에 비하여 우수한 혼합 특성을 가지며 혼합 특성은 셀룰로오스의 표면 개질을 통하여 개선될 수 있음을 확인하였다.
2. 셀룰로오스 섬유 첨가에 의하여 필름 헤이즈가 증가되며 마이크로 섬유 대신 나노 섬유를 적용하면 이러한 헤이즈 증가를 최소화시킬 수 있었다.
3. 표면 개질은 PVA와 셀룰로오스 섬유의 계면 감소를 초래하고 헤이즈를 감소시켜 셀룰로오스 첨가에 따른 광투과 특성 감소를 최소화하여 광학 필름이 필요로 하는 수준의 광투과 특성을 얻을 수 있었다.
4. 셀룰로오스 섬유 첨가는 PVA의 치수 안정성을 증가시키나 광학 특성을 위한 섬유 표면 개질은 PVA와의 계면 특성 감소를 초래하여 치수 안정성 개선에 영향을 미침을 알 수 있다.
5. 표면 개질된 셀룰로오스 섬유 첨가가 PVA 필름의 결정화도에 미치는 영향을 확인한 결과, 표면 개질에 의한 치수 안정성 감소는 표면 개질에 의한 PVA 결정화도 감소에도 영향을 받음을 알 수 있었다.
This Article2019; 43(3): 434-439
Published online May 25, 2019
Services
Correspondence toDepartment of Polymer Science and Engineering, Dankook University, Gyeonggi-do 16890, Korea