
Department of Organic Materials and Fiber Engineering, Soongsil University, Seoul 06978, Korea
숭실대학교 유기신소재·파이버공학과
Poly(phenylene sulfide) (PPS) films prepared by melt-pressing of PPS resin were irradiated with UV light of 315 nm at 40 oC for up to 24 h and the effects of UV irradiation on the structure and properties of PPS were analyzed by FTIR spectroscope, spectroscopic colorimeter, X-ray photoemission spectroscope, differential scanning calorimeter, and universal testing machine. As UV irradiation time increased, the color of PPS film gradually changed to brown. The UV irradiation on PPS film resulted in the formation of new functional groups and cross-linking, and increased oxygen atom content due to photo-oxidation. The breaking tensile stress of PPS film after UV irradiation decreased with increasing UV irradiation time. Both the cold and melt crystallization temperature of the UV irradiated PPS were similar to those of un-irradiated one, while the heat of melting and melt crystallization were decreased. The addition of HALS3 (hindered amine light stabilizer 3) to PPS film significantly suppressed the cross-linking and formation of new functional groups owing to UV irradiation and thus reduced both the color change and decrease in breaking tensile stress.
폴리(페닐렌 설파이드) (PPS) 수지를 용융압착시켜 제조한 PPS 필름에 40 oC에서 315 nm의 자외선(UV)을 24시간까지 조사시키고, UV 조사가 PPS의 구조와 물성에 미치는 영향을 FTIR 분광분석기, 분광 측색기, X-선 광전자 분광분석기, 시차주사열량계, 만능시험기로 분석하였다. UV 조사시간이 길어지면 PPS 필름은 점차 갈색으로 변하였다. UV 조사는 PPS 필름에 새로운 관능기와 가교가 생성되게 하였으며, 광산화에 의해 시료의 산소원자 함량이 증가하였다. UV 조사된 PPS의 냉결정화와 용융결정화 온도는 미조사 시료와 비슷하였으나 용융열과 용융결정화열은 감소하였다. HALS3(입체장애 아민 광안정제 3)을 PPS에 첨가하면 UV 조사에 의해 생성되는 가교와 새로운 관능기 생성을 억제하였으며, 이에 따라 색 변화와 파단인장응력 감소를 크게 줄였다.
Keywords: poly(phenylene sulfide), UV irradiation, HALS3, structure and property change, color difference
아라미드, 폴리이미드, 폴리벤즈이미다졸 등 대부분의 고성능 섬유나 제품에 사용되는 고분자들이 용융되기 전에 분해되기 때문에 용액 공정을 사용하여 제품을 제조하는 것과는 달리, 폴리(페닐렌 설파이드)(PPS)는 분해되기 전에 용융이 되기 때문에 용융 공정에 의해 성형 제품, 섬유나 필름 등의 제품 제조가 가능하다. PPS 수지를 용융시켜 제품으로 제조하기 위해서는 선형성(linearity)이 좋은 수지를 사용하여야 한다. 그런데 PPS 수지를 기존의 Phillips 제법으로 합성하면 가지가 달리거나 가교된 형태의 수지가 많이 얻어지며1,2 이러한 수지는 용융 공정, 특히 섬유 방사용으로 부적합하다. 한편, PPS 수지의 가격이 일반 고분자들에 비해 비싸기 때문에 폴리(에틸렌 테레프탈레이트)(PET)와 같은 범용 고분자와 블렌드하기도 하며,3 이들 두 고분자의 상용성을 높이기 위해 상용화제를 사용하는 방법에 대한 연구들도 보고되고 있다.4,5
일반적으로 고분자는 열 뿐만 아니라 빛에 의해서도 분해되어 노화가 일어난다. 태양광 중 290~400 nm에 해당하는 자외선은 강력한 에너지를 가지고 있어 고분자가 자외선에 조사되면 변색, 표면 크랙, 기계적 물성 저하 등이 발생된다. 특히, PPS는 자외선에 조사되면 갈변 현상 및 물성 저하가 일어나기 때문에 빛에 노출되는 성형 제품이나 수송용 및 인테리어 내외장재 등에 사용되는 PPS 섬유 제품의 사용 시 여러 가지 문제점들로 작용한다. 또한 PPS는 고온 열처리나 자외선 조사에 의해 새로운 관능기들과 가교결합이 생성되기 쉽고,6-10 이러한 화학구조의 변화가 PPS의 물성에 영향을 미친다.
본 연구는 이러한 점들을 고려하여 PPS에 자외선을 조사시켰을 때 나타나는 구조 변화와 이에 따른 열적, 기계적 특성 등의 변화를 알아보고자 한 것이다. 최근 국내에서도 PPS 수지를 생산하고 여러 가지 제품으로 전개하는 연구개발이 진행되고 있지만, 자외선에 의한 PPS의 구조 변화 및 물성 저하에 대해 자세히 검토한 문헌들은 찾아보기 힘들다. 본 연구에서는 일반 태양광(2.5 mW/cm2) 및 내광성 시험기(Weather-O-Meter)의 자외선 조사 조건보다 훨씬 강한 조건(120 W/cm2)에서 PPS 필름에 자외선을 조사시킨 후 이에 따른 PPS의 분자구조 및 특성 변화에 대해 분석하였다. 이같이 가혹 조건에서 자외선 조사 실험을 한 이유는 일상 조건에서 장시간 자외선을 조사시킨 시료를 준비하기가 매우 힘들기 때문으로, 가혹 조건에서 단시간 처리한 시료를 준비하여 여러 변화들을 분석하고자 하였다.
한편, PPS 시료가 자외선에 의해 크게 상해를 받기 때문에 자외선 안정제를 첨가하여 자외선에 대한 상해를 줄이는 방법에 대해서도 검토하였다. 자외선 안정제는 작용 기구에 따라 흡수제, quenchers, HALS(hindered amine light stabilizer, 입체장애 아민 광안정제)로 구분된다.11 또한 화학구조에 따라 페닐 살리실레이트(흡수제), 벤조페논(흡수제), 벤조트리아졸(흡수제), 니켈 유도체(quenchers), 라디칼 포착제로 구분되기도 한다.12 자외선 흡수제는 자외선을 흡수한 뒤 이 에너지를 열에너지로 바꾸는 역할을 하지만, 두께가 얇은 필름이나 섬유는 빛이 투과해버리기 때문에 효과가 적어 주로 사출물이나 두꺼운 압출물에 사용된다. 반면, HALS는 자외선에 의해 쉽게 산화되어 니트록실 라디칼로 전환되고 동시에 자외선에 의해 형성된 고분자 라디칼과 반응하여 히드록시아민 에테르를 생성한 후 퍼옥시 라디칼과 반응하여 안정한 니트록실 라디칼을 다시 생성함으로써 광산화 반응을 정지시킨다.13 또한 HALS는 자외선 흡수제와는 달리 표면보호 작용이 우수하여 얇은 단면을 갖는 필름 및 섬유에도 적용이 가능하다는 장점이 있다.
그런데 일반적으로 사용되는 자외선 안정제인 유기화합물은 대부분 300 oC 이하에서 그 자체의 분해가 일어난다. 반면, PPS의 용융온도는 270~290 oC이기 때문에 어떤 물질을 PPS와 용융혼합하기 위해서는 300 oC 정도까지 온도를 높여야 한다. 따라서 300 oC 정도까지 열분해가 되지 않는 고내열성 자외선 안정제를 사용하여야 한다. 이러한 점을 고려하여 본 연구에서는 300 °C 정도까지 거의 열분해가 일어나지 않는 HALS3을 사용하여 300 °C에서 PPS와 용융혼합한 시료를 제조하고, 이들을 자외선에 조사시켜 HALS3 첨가에 의한 여러 가지 효과를 분석하였다.
시료 및 시약. PPS 수지는 Ticona 사의 밀도 1.35 g/cm3 인 100% Fortron PPS(virgin PPS, 0309P4)를 사용하였다. 자외선 안정제인 HALS는 BASF 사의 Chimassorb 944(CAS 번호: 71878-19-8, 화학 이름: poly[[6-[(1,1,3,3-tetramethylbutyl) amino]-1,3,5-triazine-2,4-diyl] [(2,2,6,6-tetramethyl-4-piperi-dinyl)imino]-1,6-hexanediyl[(2,2,6,6-tetramethyl-4-piperidinyl) imino]], 수평균 분자량: 2000~3000 g/mol, 이하 HALS3로 약함)를 사용하였으며, 그 화학구조식은 Scheme 1과 같다.

Scheme 1. Chemical structure of HALS3.
PPS 필름 제조. PPS 수지를 300 oC에서 용융압착시킨 후 얼음물에 급냉시켜 두께 약 200 µm인 무정형 순수 PPS 필름으로 제조하였으며, 일부 필름은 160 oC에서 1시간 동안 열처리시킨 후 사용하였다. 이후의 실험에서 특별히 언급하지 않는 경우에는 열처리하지 않은 무정형 상태의 필름을 시료로 사용하였다.
PPS/HALS3 복합체 필름 제조. PPS 수지에 HALS3을 무게비로 0~1.0% 혼합시킨 후 이축 컴파운딩 압출기(Bau Tech., L/D=40)를 사용하여 300 oC에서 용융압출하고, 이 압출된 복합체 시료를 다시 300 oC에서 용융 압착하고 얼음물에 급냉시켜 두께 약 200 µm인 무정형 필름으로 제조하였다. 일부 PPS/HALS3 필름들도 순수 PPS 필름과 마찬가지로 160 oC에서 1시간 동안 열처리하였다.
자외선 조사. 파장 315 nm인 UV-A 조사기(고려자외선사, 한국)를 사용하여 40 oC에서 서로 다른 시간 동안 필름 시료들에 UV를 조사시킨 후 분석에 사용하였다.
색차 측정. 미국 X-rite 사의 Color i7(모델명 CM-512M3) 분광측색기를 사용하여 ASTM E313에 의거하여 필름 시료들을 측정한 후, 식 (1)에 의하여 CIELab 표색계에서의 색차(ΔE)를 구하였다.14 여기서, L은 명도지수이고 a와 b는 각각 빨강/초록, 노랑/파랑의 보색축에 대한 값을 나타내는 지각색도지수이며, 1과 2는 색차를 구하는 두 시료를 나타낸다.

XPS 분석. X-선 광전자 분광분석(XPS) 분석은 Thermo VG 사(UK)의 Sigma Probe를 사용하였다. Monochromatic Al-Ka X-ray source를 사용하여 2×10-9 mB에서 측정하였으며, PPS 탄소원자의 C 1s 결합에너지를 285 eV로 보정하여 스펙트럼들을 얻었다.
기타 측정 및 분석. Jasco사의 FTIR spectrophotometer (FT/IR-6300, 미국)를 사용하여 감쇠전반사(ATR) 법으로 스캔수 256회, 해상도 4 cm-1로 하여 FTIR 스펙트럼들을 얻었으며, 시료간의 상대비교를 위하여 각 스펙트럼들은 측정 범위(600~4000 cm-1)의 전체 면적을 1로 하는 표준화(normali-zation)를 시켰다. Perkin Elmer사의 Diamond DSC를 사용하여 질소 기류 하에서 10 oC/min의 승온 및 강온속도로 DSC 곡선들을 얻었으며, TG/DTA(Seiko사, TG/DTA 6200)를 사용하여 질소 기류 하에서 10 oC/min의 속도로 승온시키면서 TGA 열분해곡선을 얻었다. 만능시험기(Hounsfield H10KS, UK)를 사용하여 인장속도 10 mm/min로 하여 필름 시료들의 인장응력을 ASTM D 638에 의거하여 측정하였다. 이때 각 시료별로 10회 이상 측정하여 평균값을 구하였다.
자외선 조사에 의한 순수 PPS의 구조 및 특성 변화. PPS 필름에 자외선을 조사시키면 구조 변화가 일어나 필름의 색상이 변한다. 이때 사용하는 PPS 시료가 무정형인 경우와 열처리하여 결정이 생성된 경우에 서로 자외선에 의한 영향이 다를 것으로 생각되어, 무정형 필름 및 160 oC에서 1시간 열처리시킨 시료를 각각 사용하였다.
Figure 1은 무정형 PPS 필름과 열처리시킨 PPS 필름들을 40 oC에서 서로 다른 시간(0~24 h) 동안 자외선을 조사시킨 후의 사진을 나타낸 것이다. 열처리 전의 무정형 PPS 필름은 거의 투명하였지만 자외선 조사 시간이 길어짐에 따라 필름의 색상이 점차 갈색으로 변하면서 투명성이 감소하였다. 열처리한 PPS 필름도 자외선 조사 전에는 거의 무색이었으나 자외선 조사 시간이 길어짐에 따라 색상이 점차 갈색으로 변하였으며, 두 종류 시료를 비교하면 전체적으로 무정형 시료들이 조금 더 갈색으로 변하였다.
비교하고자 하는 두 색이 동일한지 또는 동일하지 않은지, 또는 동일하지 않으면 얼마나 다른지에 대한 판단을 정량적으로 정확하게 할 수 있는 방법은 바로 색차(ΔE)를 계산하여 얻어진 수치를 가지고 판단하는 것이다. 색차는 색공간인 CIELab 계에서 두 색 사이의 거리를 기하학적인 방법으로 계산하며, 식 (1)과 같이 계산된다.14이 색차 계산의 기본 요소는 광전색도계로 읽어지는 L, a, b 값을 좌표로 하는 등색차표색계로, L은 명도지수이고 a와 b는 지각색도지수이다. L은 0(black)~100(white) 사이의 값을 가지며, a와 b는 각각 초록(-)~빨강(+) 사이와 파랑(-)~노랑(+) 사이의 값을 가진다. 이 색차 계산 결과에서 색차 ΔE=0이면 두 색이 동일하다는 의미이고, ΔE의 값이 크면 클수록 두 색이 서로 다름을 의미한다. 일반적으로 ΔE 값이 1.5~2.0이면 정밀한 차이를 나타내며, 4.0 이하이면 눈에 띄지 않는 차이라고 할 수 있다.
자외선 조사에 의한 PPS 시료들의 색상 변화를 자세히 검토하기 위하여, 각 시료들의 L, a, b 값을 구하여 Table 1에 나타내었다. Table 1을 보면 자외선 조사시간이 길어짐에 따라 명도를 나타내는 L 값이 점차 감소하고 있는데, 이는 갈색으로의 색상 변화와 투명성 감소 때문이다. 한편, 자외선 조사시간이 길어짐에 따라 a와 b 값은 증가하고 있는데, 이는 자외선 조사에 의해 빨간색과 노란색 성분이 커지고 흡수파장이 장파장으로 이동한 것을 나타낸다.
이들 시료들의 L, a, b 값들을 사용하여 식 (1)에 의해 기준시료와의 색차(ΔE)를 구하여 Table 1에 함께 나타내었으며, 자외선 조사시간에 따른 색차 변화를 Figure 2에 나타내었다. 여기서, 색차를 구할 때 사용한 기준시료로는 열처리하지 않은 무정형 상태의 PPS 필름을 사용하였다. 이들 결과를 보면, 무정형 PPS 시료의 경우 자외선 조사시간이 길어짐에 따라 색차가 계속 커지며, 6시간 이내에서는 변색이 심하다가 그 이상이 조사시간에서는 증가정도가 점차 둔화되었다. 열처리한 PPS 필름의 경우 자외선을 조사하지 않은 경우에도 무정형 필름과 어느 정도 색차가 존재하는데, 이는 PPS가 160 oC에서의 열처리에 의해서도 구조 변화가 나타나기 때문이다. 이들 열처리 시료들도 자외선 조사시간이 길어지면 점차 변색되어 색차가 커지는데, 자외선 조사시간이 6시간보다 많아지면 오히려 변색되는 정도가 무정형 시료보다 작아졌다. 이는 아무래도 구조 변화가 주로 비결정 영역에서 일어나기 때문이다.
PPS에 자외선을 조사시키면 이같이 변색이 된다는 것은 PPS의 구조가 변경되었음을 의미한다. 문헌에 의하면 PPS는 자외선 조사 시 Scheme 2와 같은 반응식에 의해 가교 또는 다양한 관능기가 생성되어 구조가 변한다.15 이러한 구조 변화를 자세히 검토하기 위하여 열처리하지 않은 PPS 필름을 서로 다른 시간 동안 자외선으로 조사시킨 시료들을 XPS로 분석하였다.

Scheme 2. Crosslinking and various functional group formation mechanism of PPS during photo-oxidation degradation.15
Figure 3은 각 시료들의 XPS 스펙트럼들을 나타낸 것이고, 이들 스펙트럼들로부터 계산된 각 원소의 함량을 Table 2에 나타내었다. 먼저, 자외선에 조사시키지 않은 PPS 시료에서 화학분자식에 포함되지 않은 산소 및 질소 함량이 각각 7.48%과 2.89%로 나타났는데, 이는 PPS 제조 시 수지 내에 존재하는 용매인 N-메틸-2-피롤리돈(NMP)에 의한 것이다.16 즉, 용매로 사용한 NMP가 Scheme 3에서와 같이 PPS 고분자 말단에 결합되어 나타난다.17
Scheme 3. Chemical reaction mechanisms for the production of NMP end group of PPS.17
PPS에 자외선을 조사시키면, 조사 초기에 산소원자 함량이 급격히 증가하며 6시간 이상 조사시키면 그 함량이 약 20%까지 증가하여 많은 산소원자가 PPS에 도입되었음을 알았다. 산소원자 함량 증가와 함께 탄소원자와 황원자 함량은 감소하였으며, 반면에 질소원자 함량은 약 3% 정도로 큰 차이 없이 비슷한 값을 유지하였다.
자외선 조사에 따른 각 원자들의 함량 변화를 좀 더 자세히 검토하기 위하여, 이들 XPS 스펙트럼에서 탄소(C) 1s, 산소(O) 1s, 질소(N) 1s 및 황(S) 2p 피크를 확대하여 Figure 4에 나타내었다. C(1s) 피크를 나타낸 Figure 4(A)를 보면, PPS 필름을 자외선에 조사시키면 285 eV에서 나타나는 C-C 결합 및 C=C 결합 이외에 286.4 및 289.4 eV의 보다 높은 에너지에서 C(1s) 피크가 늘어지는데, 이는 각각 에테르(C-O)와 케톤(C=O) 및 카복실(COO)기에 의해 나타나는 피크로,18 Scheme 2에 나타낸 것처럼 자외선에 의해 C-S 사이의 결합이 끊어지고 공기 중 산소가 벤젠링에 편재화되어 이들 작용기가 형성됨을 확인하였다.
Figure 4(B)는 XPS O(1s) 피크를 나타낸 것으로, 자외선에 1시간 조사시키면(B(b)) 산소 함량이 증가되어 피크크기가 커진다. 그러나 PPS 필름을 자외선에 6시간 이상 조사시킨 경우(B(c,d)) 술폰기에 의한 피크가 상대적으로 커지면서 전체 피크가 높은 에너지로 약 1 eV 정도 이동하였다. 이러한 경향은 N(1s) 피크를 나타낸 Figure 4(C)에서도 나타나고 있다. PPS 필름을 자외선에 1시간 동안 조사시키면 피리딘 N(1s) (C=N) 피크가 사라지면서 4급암모늄 N(1s)에 의한 피크가 커지고, 6시간 이상 조사시키면 이들 전체 피크는 높은 에너지로 약 1 eV 이동하였다. 이러한 XPS 피크들의 이동은 자외선 조사에 의해 PPS 주사슬에 여러 가지 극성 작용기가 생성되고 이들 작용기간에 수소결합이 형성되었음을 나타내는 것으로, 이에 대해서는 뒤의 FTIR 스펙트럼 분석 결과와 함께 자세히 설명하겠다.
한편, Figure 4(D)는 XPS S(2p) 피크 변화를 나타낸 것이다. 미처리 시료에서는 163와 164 eV에서 설파이드의 S(2p)에 대한 피크가 숄더 모양으로 합쳐져 나타났지만, 자외선을 조사시킨 PPS 필름에서는 S(2p) 피크가 크게 169 및 164 eV 부근의 두 개로 분리되어 나타났다. 164 eV 부근의 낮은 에너지 피크 성분은 미처리 시료인 Figure 4(D-a)에서와 같이 PPS 주사슬의 설파이드 결합에 해당되며, 169 eV 부근의 높은 에너지 피크 성분은 산소에 의해 산화된 술폰기에 기인되는 피크이다.19
자외선 조사에 의한 PPS의 분자 및 구조 변화를 살펴보기 위하여 무정형 PPS 필름 및 이에 자외선을 조사시킨 시료들의 FTIR ATR 스펙트럼들을 Figure 5에 나타내었다. XPS 실험 결과에서 설명하였듯이, PPS를 공기 중에서 자외선에 조사시키면 PPS 주사슬에 산소가 도입된다. Figure 5의 FTIR 스펙트럼에서 미처리 시료의 경우 히드록시기에 의한 밴드가 나타나지 않았지만, 자외선을 1시간 조사시킨 시료의 경우 3400 cm-1를 중심으로 3200~3700 cm-1에서 브로드한 히드록시기가 나타났다. 조사시간이 3시간 이상인 경우 이들 밴드는 2700~3700 cm-1로 더욱 넓어지는데, 이는 히드록시기 뿐만 아니라 카복실산의 OH기가 함께 나타난 것이다. 한편, 조사시간이 계속 증가하면 이들 카복실기와 히드록시기에 의한 밴드는 3400와 3200 cm-1 부근의 2개로 분리되었다. 이들 3400와 3200 cm-1에서 나타나는 밴드는 각각 자유 히드록시기와 주변의 타 작용기와 함께 수소결합을 형성한 히드록시기에 의해 나타나는 밴드이다.20,21 이러한 작용기간 수소결합은 C=O 결합 밴드에서도 확인할 수 있다. Figure 5의 아래 확대 스펙트럼들을 보면, 자외선을 3시간 이상 조사하면 약 1760 및 1700 cm-1 에서 각각 자유 C=O 결합 및 수소결합된 C=O 결합에 의한 밴드가 나타나고 있다. 따라서 앞의 XPS 결과와 FTIR 결과를 종합하면, 자외선 조사에 의해 여러 작용기가 PPS에 생성되며 C=O 기와 이들 작용기 사이에 수소결합이 형성된다는 것을 알 수 있다. 한편, 3050 cm-1 부근에서 나타나는 밴드는 벤젠 링의 C-H에 의한 것이다.
한편, Figure 5의 1200~800 cm-1 부분을 확대하여 나타낸 FTIR 스펙트럼들을 보면 1090와 1072 cm-1에서 나타나는 S-C6H4-S의 ring-S 신축 밴드들의22 크기가 자외선 처리 시간이 증가할수록 작아지고 있다. 한편, PPS의 선형성을 비교할 때 이들 p-phenylene sulfur 신축 밴드가 사용되기도 한다. 즉, A1090/A1072 밴드 크기비가 감소하면 선형성이 감소하였다고 판단한다.23,24 따라서 Figure 5의 결과로부터 자외선 조사에 의해 PPS 고분자의 선형성이 감소하여 가교결합 시 생성이 많아진 것으로 판단된다. 그러나 벤젠 링의 파라 2치환체의 양이 감소하여 선형성이 줄어든 것은 확인할 수 있었지만, 벤젠 링에 3치환 이상으로 가교가 도입된 것을 직접 확인할 수는 없었다. 한편, 미처리 시료에서는 거의 나타나지 않던 1035 cm-1에서의 S=O에 의한 밴드22 크기가 점차 증가하고 있는데, 이는 XPS 스펙트럼 Figure 3(B)에서 S=O에 기인하는 532.2 eV에서의 O(1s) 피크 크기가 크게 커지고, Figure 3(D)에서 S=O에 기인하는 169 eV 부근의 S(2p) 피크 크기가 점차 커지는 결과와 일치하는 것이다.
XPS와 FTIR 실험 결과들로부터 PPS를 자외선에 조사시키면 PPS 주사슬에 여러 작용기 및 가교 결합이 도입된다는 것을 알 수 있는데, 이러한 구조 변화와 PPS 필름의 색상 변화를 함께 검토해볼 필요가 있다. PPS를 160 oC 정도의 고온에서 열처리시키면 역시 색상이 변하는데, 이는 고온열처리에 의해 도입된 PPS 주사슬간 가교결합으로 인해 PPS 주사슬내 벤젠링의 공명구조 변화가 발생하여 빛의 흡수파장을 장파장 쪽으로 이동시키기 때문이다. 자외선 조사에 의한 PPS 주사슬의 구조 변화도 고온 열처리에 의한 색상 변화와 비슷한 메카니즘으로 생각된다. 벤젠과 황의 산화 및 가교결합 도입으로 인해 PPS 주사슬의 공명구조가 달라지며, 이러한 공명구조의 변화는 빛의 흡수파장을 장파장 쪽으로 이동시켜 자외선에 조사시킨 PPS 필름의 색상이 갈색으로 변한 것으로 설명된다. 그러나 Das 등은16 PPS 필름을 비활성 기체 내에서 자외선에 조사시켜도 공기 중에서 처리할 때보다는 느리지만 색상변화가 발생한다고 보고하였다. 따라서 자외선에 조사시킨 후 도입된 여러 작용기들에 의한 공명구조 변화만이 PPS의 색상변화를 야기한다고 단정지을 수는 없으며, 이에 대한 구체적인 메카니즘을 밝히기 위해서는 보다 정밀한 추가 분석이 필요하다고 생각된다.
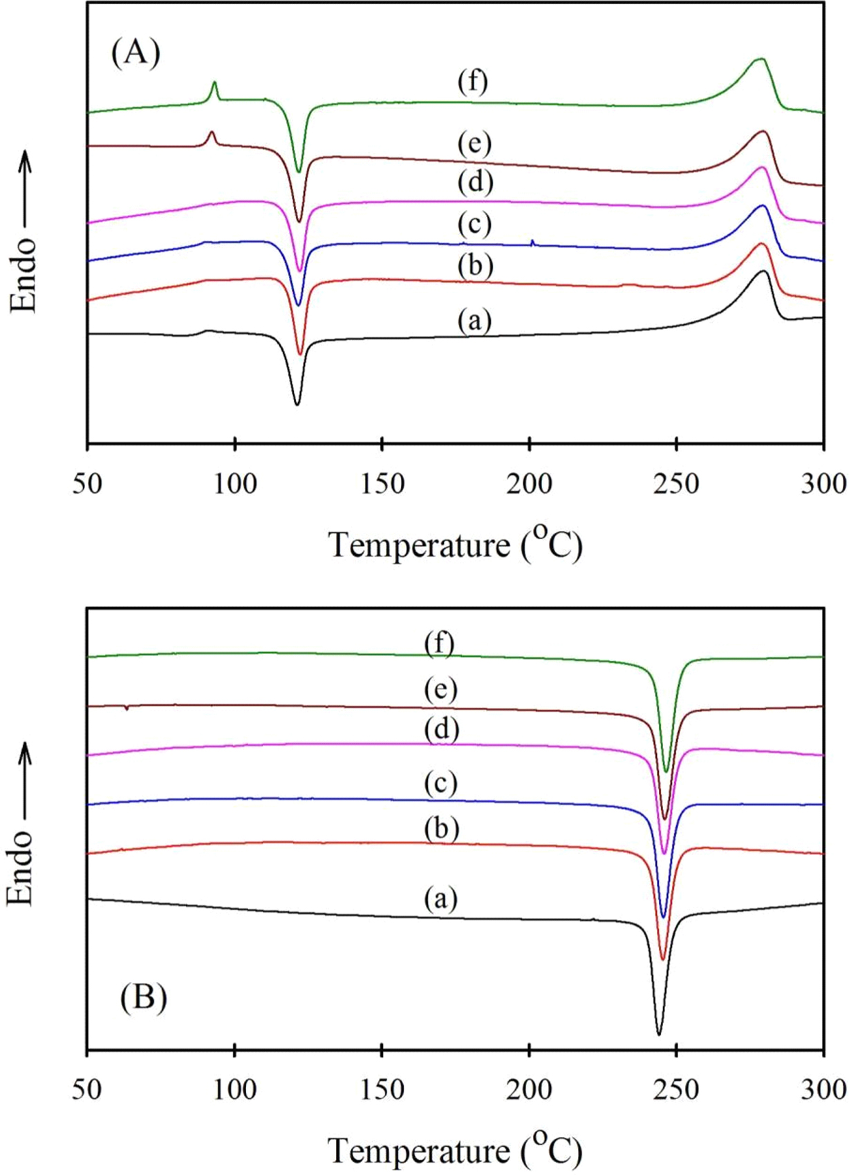
이상의 실험 결과들로부터 PPS를 자외선에 조사시키면 주사슬에 산소가 도입되어 분자구조가 변한다는 것을 확인하였으며, 이러한 과정에서 열적 특성 및 물성이 크게 변할 것으로 판단된다. 먼저 열적 특성 변화를 알아보기 위하여, 무정형 PPS 필름을 서로 다른 시간 동안 자외선 조사시킨 후 측정한 DSC 승온 및 용융 후 강온곡선을 각각 Figure 6(A)와 6(B)에, 여기서 구한 승온 시의 냉결정화온도(Tcc), 용융온도(Tm) 및 용융 후 강온 시의 용융결정화온도(Tmc) 변화와 승온 시의 냉결정화열(ΔHcc), 용융열(ΔHm) 및 강온 시의 용융결정화열(ΔHmc) 변화를 각각 Figure 7(A)와 7(B)에 나타내었다.
시료들의 승온 시 거동을 보면, 자외선 조사시간이 길어지더라도 냉결정화온도(Tcc)나 용융온도(Tm)는 거의 변화가 없었으며, 냉결정화열(ΔHcc)은 비슷한 반면 용융열(ΔHm)은 감소하였다가 다시 조금씩 증가하는 경향을 나타내었다. 자외선을 조사시키는 시간이 길어지면 PPS가 분해되어 새로운 관능기 및 가교결합이 많아지지만, 승온과정에서는 PPS가 이미 고체 상태에 있기 때문에 이들이 결정의 생성온도(Tcc)나 용융되는 온도(Tm) 자체에는 별로 영향을 주지 않았다. 또한 용융온도가 같고 다중 용융거동을 보이지 않기 때문에, 생성되는 PPS 결정구조가 같으며 만들어진 결정의 완전성도 비슷한 것으로 판단된다. 다만, 자외선 조사시간이 길어지면 승온 시 냉결정화에서 생성되는 결정의 양(ΔHcc)은 서로 비슷하지만, 용융열은 상당히 감소하였는데 이는 냉결정화 이후 용융되기까지의 승온과정에서 생성되는 결정의 양이 작아졌기 때문이다.
한편, 용융시킨 액체 상태에서 냉각되는 과정에서 결정이 생성되는 용융결정화온도(Tmc)는 미처리 시료에 비해 조금 높아져서, 24시간 조사시킨 시료의 경우 미처리 시료보다 약 2 oC 높은 온도인 246.5 oC에서 나타났다. 이는 자외선 조사에 의해 생성된 이물질들이 기핵제로 작용하기 때문이다. 일반적으로 고분자의 용융결정화에서 이물질이 소량 존재하면 핵으로 작용하여 보다 높은 온도에서 결정을 생성하게 한다. 그러나 역시 만들어진 전체 결정의 양은 줄어들어 미처리 시료에 비해 용융결정화열(ΔHmc)은 작아졌으며 자외선 조사시간이 길어짐에 따라 만들어진 결정의 양은 조금씩 증가하는 경향을 나타내었다. PPS에 자외선을 조사시키면 주사슬의 절단 및 분자사슬간 가교결합이 형성되는데, 자외선 조사 초기에는 PPS 분자사슬이 끊어져 일시적으로 분자량이 감소하여 ΔHmc 및 ΔHm은 감소하지만, 계속된 자외선 조사에 의해 분자사슬간 가교가 형성되어 분자량 증가효과와 동시에 여러 생성물들이 기핵제로 작용하여 Tmc가 높아지고 ΔHmc 및 ΔHm도 다시 조금씩 증가하는 것으로 판단된다.
PPS 필름에 자외선을 조사하면 구조 변화와 함께 물성도 변하게 된다. 자외선 조사가 PPS 필름의 인장응력에 미치는 영향을 분석하기 위해, 무정형 PPS 필름과 이를 160 oC에서 1시간 동안 열처리시킨 필름을 시료로 하여 서로 다른 시간 동안 자외선에 조사시킨 후 이들의 파단 인장응력과 초기 모듈러스를 구하여 Figure 8에 나타내었다. 파단 인장응력 변화를 나타낸 Figure 8(A)를 보면, 열처리하지 않은 무정형 PPS 필름(a)을 자외선에 노출시킨 경우 자외선 조사시간이 길어짐에 따라 필름의 파단 인장응력이 점차 증가하였다. 그러나 160 oC에서 1시간 열처리시킨 PPS 필름(b)들은 열처리 효과 때문에 무정형 시료들보다는 파단응력이 큰 값을 나타내지만, 자외선에 조사시키면 시간이 길어짐에 따라 파단 인장응력이 점차 감소하였다.
이러한 결과는 자외선 조사에 따른 가교결합 도입으로 설명할 수 있다. 열처리하지 않은 시료의 경우 결정이 거의 없는 무정형 상태로 시료가 투명하여 조사된 자외선이 대부분 시료를 투과하여 가교결합이 필름 내부에 비교적 균일하게 형성되고, 자외선 조사시간에 따른 가교점의 증가로 자외선 조사시간이 길어질수록 인장응력이 약간 증가한 것으로 판단된다. 즉, 자외선 조사에 의해 분자사슬이 절단되어 강도가 저하되는 것보다 가교결합 생성에 의한 강도 증가가 더 크게 나타난 것이다. 그러나 열처리시킨 PPS 필름(b)의 경우 시료가 약간 노란색으로 변하면서 생성된 결정에 의해 시료가 약간 불투명지기 때문에(Figure 1) 자외선 조사 효과가 다소 불균일해진다. 조사된 자외선에 의해 분자사슬 절단에 의한 분자량 감소와 더불어 시료 불투명에 따른 가교결합 분포의 불균일로 인해 자외선 조사시간이 길어짐에 따라 이들의 파단 인장응력이 감소하는 것으로 판단된다. 즉, 열처리에 의해 시료의 강도가 증가된 상태에서 자외선 조사에 의한 분자사슬 절단과 가교결합 도입에 의해 강도가 감소하며, 시간이 지날수록 분자사슬 절단이 많아져 강도가 감소한 것이다.
일반적으로 합성섬유의 경우 결정화온도와 용융온도 사이에서 연신 및 열고정한 후 사용한다. 따라서 이렇게 열처리된 PPS 섬유를 커튼 및 내외장재 용도로 사용할 경우 강력한 자외선에 의한 섬유의 물성 저하가 문제로 작용할 것으로 판단된다. 한편, 자외선 조사시간에 따른 이들의 초기탄성률 변화를 나타낸 Figure 8(B)를 보면, 열처리하지 않은 시료들의 초기탄성률은 약 0.62 GPa이었으며 열처리시킨 시료들은 약 0.69 GPa 정도로 열처리에 의해 초기탄성률이 증가하였으며, 자외선 조사에 의해 초기탄성률이 약간 감소하지만 조사시간에 따라서는 큰 변화 없이 거의 비슷한 값을 유지하였다.
HALS3 첨가가 자외선 열화에 미치는 영향. PPS는 자외선 조사에 의해 구조와 물성이 변하기 때문에, 이러한 변화를 줄이기 위하여 자외선 안정제로 HALS3를 첨가하는 연구를 진행하였다. Figure 10에서 설명하겠지만, HALS3의 용융온도는 84 oC이었으며(DSC 분석) 열분해는 280 oC 정도에서 시작되지만 300 oC에서의 분해율은 2% 미만이었다(TGA 분석). 따라서 이를 PPS와 300 oC에서 용융혼합시켜도 열분해되는 HALS3 양은 많지 않을 것으로 판단하였다. 참고로 300 oC보다 훨씬 높은 온도에서 열분해가 시작되는 자외선 안정제용 유기화합물은 찾기가 힘들었다. HALS3 자체의 열분해에 대한 내용은 Figure 10의 결과에서 다시 설명할 예정이다.
Figure 9는 HALS3 함량을 0.1~1.0 wt%로 하여 PPS에 용융혼합시키고 필름으로 제조한 미열처리 PPS/HALS3 필름 시료들을 자외선에 24시간까지 조사시킨 시료들의 사진을 나타낸 것이다. 이를 보면 자외선 조사시간이 길어지면 점차 변색이 심해지며, 동일한 조사시간에서 비교할 때 HALS3 함량이 많아지면 오히려 더 많이 변색되었다. 또한 자외선을 조사시키기 전의 시료에서도 HALS3 함량이 많아지면 약간 더 변색이 되었다. 이는 시료 제조과정에서 HALS3 자체의 변색이 포함되기 때문이다. 본 연구에서는 PPS에 HALS3을 300 oC에서 용융혼합시켜 1차 시료를 제조하고, 이를 다시 300 oC에서 용융압착시켜 필름으로 제조하였다. 이러한 시료 제조 과정에서의 고온 처리에 의해 HALS3이 일부 변색되기 때문에 자외선 조사전 PPS/HALS3 시료에서 HALS3 함량이 많아지면 변색이 더 된 것이다. Figure 10은 이를 확인하기 위한 것으로, 무색인 HALS3에 자외선을 24시간 동안 조사시키면 갈색을 띠는 노란색으로 변색된 것으로 볼 수 있다. Figure 10에 같이 나타낸 TGA와 DSC 곡선에서 HALS3이 84 oC에서 용융되며 280 oC 정도에서 열분해가 시작되었다.
본 연구에서 HALS3을 PPS에 첨가한 이유는 자외선 조사에 따른 고분자 시료의 열화 감소 및 색상 변화를 줄이기 위함이다. 그런데 색상 변화만을 고려할 때, HALS3 자체가 변색된다면 PPS 변색을 작게 하는 자외선 안정제 효과와 자체 변색 효과를 고려하여 그 사용량을 적절히 조절해야 할 것이다. 이를 검토하기 위하여 Figure 9 시료들에 대해 CIELab 표색계에 의한 L, a, b를 구한 후 기준시료와의 색차(DE)를 구하였다. 이때 색차를 구하기 위한 기준시료로 HALS3을 전혀 첨가하지 않은 무정형 순수 PPS 필름을 사용하는 방법과 각 함량의 HALS3을 포함하는 자외선 조사 전의 PPS/HALS3 무정형 필름을 사용하는 방법이 있다.
먼저 순수 무정형 PPS 필름을 기준시료로 하여 자외선 조사시간과 HALS3 함량에 따른 색차를 구하여 Figure 11에 나타내었다. 이를 보면 모든 HALS3 함량에서 자외선 조사시간이 길어지면 색차가 커지며, 조사시간이 6시간 이상으로 되면 색차 증가정도가 둔화되고 12시간 이상이면 큰 차이가 없었다. 자외선 조사시간을 일정하게 하고 HALS3 함량에 따른 변화를 보면(Figure 11(B)) 약간의 오차가 있기는 하지만 전체적으로 HALS3 함량이 많아지면 오히려 색차가 커진다. 그러나 HALS3 함량이 0.3~0.5% 이상으로 되면 조사시간에 따라 다소 차이가 있지만 색차증가가 둔화되거나 일정해지는 경향을 나타내었다.
HALS3을 첨가시킨 시료들은 자외선 조사 전에 그 자체가 무정형 순수 PPS에 비해 약간 변색이 되어 있기 때문에 시료 제조 과정에서의 변색을 제외한 자외선 조사에 의한 효과만을 검토할 필요가 있다. 각 HALS3 함량별 자외선 조사 전 시료를 기준시료로 한 색차를 다시 구하여 나타낸 Figure 12를 보면, Figure 11과 마찬가지로 모든 시료에서 자외선 조사시간이 길어지면 색차가 증가하며 12시간 이상으로 조사시간이 길어지면 색차증가가 둔화되는 경향을 나타내었다. 그러나 이 그림에서는 자외선 조사시간이 일정한 경우 HALS3 함량이 많아지면 색차증가 정도가 점차 작아지는 것을 알 수 있다. 좀더 세부적으로 보면 HALS3 함량에 따라 색차가 감소-증가-감소하는 경향을 나타내었으며, 이러한 경향은 자외선 조사시간이 짧은 경우에 심하였고 조사시간이 길어지면 그 경향이 둔화되었다. 이는 HALS3 함량이 작으면서 자외선 조사시간이 짧은 경우에는 HALS3의 변색이 더 큰 영향을 미치지만, 조사시간이 길어지면 점차 PPS 변색이 더 크게 영향을 미치기 때문으로 판단된다. 전체적으로 보면, 자외선 조사시간이 길어질수록 색차 값 자체는 커지지만 HALS3 함량이 커질수록 색차가 줄어들어 그 효과가 커진다. 그러나 Figure 11과 12의 결과를 함께 고려하면, HALS3 함량을 지나치게 크게 하는 것보다 0.3% 정도로 하는 것이 적합하다고 판단된다.
색상 변화와 함께 이들 HALS3을 포함시킨 PPS 필름들의 구조 변화를 살펴보기 위하여 시료들을 24시간 동안 자외선에 조사시킨 후 측정한 FTIR ATR 스펙트럼을 Figure 13에 나타내었다. 비교를 위하여 HALS3 및 순수 PPS를 24시간 조사시킨 시료의 스펙트럼도 함께 나타내었다. 이를 보면, 순수 PPS 및 HALS3이 0.1~0.2% 첨가된 시료(c, d)에서 3000 cm-1 이상에서 히드록시기에 의한 밴드가 넓은 범위에서 나타나고 있으며, 0.3% 이상의 HALS3이 포함된 시료에서는 이 범위에서의 히드록시기에 의한 밴드가 거의 나타나지 않고 있다. 2000~600 cm-1 범위를 확대하여 나타낸 스펙트럼들을 보면, 순수 PPS 및 HALS3가 0.1~0.2% 첨가된 시료에서 자유 C=O 및 수소결합된 C=O에 의한 피크가 1760 및 1700 cm-1에서 나타나고 있으나 0.3% 이상의 HALS3이 첨가된 시료에서는 이들 두 결합에 의한 밴드크기가 크게 감소하여 HALS3 첨가에 의해 C=O기 생성이 억제되었음을 알았다.
또한 Figure 5에서 설명한 바와 같이 PPS 고분자의 선형성을 비교하는데 1090와 1072 cm-1에서 나타나는 S-C6H4-S의 ring-S 신축 밴드들의 상대크기가 사용된다. HALS3를 첨가하지 않은 순수 PPS 필름을 자외선에 조사시킨 시료들의 FTIR 스펙트럼들을 나타낸 Figure 5에서는, 자외선 조사시간이 길어짐에 따라 1090 cm-1 밴드 크기가 1072 cm-1에 비해 상대적으로 작아지는 것이 확연히 나타났었다. 그러나 HALS3가 첨가된 시료들인 Figure 13에서는 자외선을 24시간 동안 조사시켜도 상대적인 밴드크기가 거의 비슷하였다. 즉, HALS3를 첨가시킨 PPS 시료들은 자외선에 장시간 조사되어도 가교결합 도입 등의 화학구조 변화가 적게 일어난다는 것을 확인하였다.
이상의 색차와 FTIR 결과로부터 HALS3을 첨가하여 자외선에 의한 PPS의 구조 변화를 줄이기 위해서는 0.3% 이상의 HALS3를 첨가해야 하며, 자외선에 의한 PPS의 황변현상은 PPS 주사슬의 구조변화에 의한 것만은 아니라는 것을 알았다.
HALS3 첨가가 자외선 조사시킨 시료들의 물성에 어떤 영향을 미치는지 알아보기 위하여, HALS3 함량을 0.3%까지로 한 시료들을 서로 다른 시간 동안 자외선에 조사시킨 후 이들의 파단 인장응력을 구하였다. 이때 열처리하지 않은 무정형 시료들은 충분한 강도를 나타내지 않기 때문에 160 oC에서 1시간 열처리시킨 필름 시료들을 사용하였다. Figure 14는 각각 HALS3 함량을 일정하게 한 시료들의 자외선 조사시간에 따른 파단응력 변화를 나타낸 것이다. 자외선 조사 전 열처리시킨 순수 PPS 필름 시료는 약 83 MPa의 파단 인장응력을, HALS3을 첨가한 필름시료들은 이보다 약간 높은 85 MPa 정도의 파단 인장응력을 나타내었다. 순수 PPS 필름 시료를 자외선에 조사시키면 자외선 조사시간이 길어질수록 파단 인장응력이 감소하여 24시간 동안 자외선에 조사시킨 후에는 그 값이 약 74 MPa로 감소하였다. HALS3을 첨가한 시료들의 파단 인장응력도 자외선 조사시간이 길어짐에 따라 점차 감소하였지만 전체적으로 순수 PPS 필름보다 높은 값을 나타내었으며, HALS3 함량이 많아질수록 파단 인장응력 감소폭이 작아 HALS3 첨가가 강도 저하를 크게 줄인다는 것을 알았다.
HALS3를 첨가하여도 자외선 조사에 의해 시료들의 파단 인장응력은 감소하는데, 이는 Scheme 2에 나타내었듯이 자외선에 의해 PPS 주사슬의 C-S 결합이 끊어지면서 분자량 감소가 일어나는데 이 모든 절단을 HALS3이 봉쇄하지는 못하기 때문이다. 자외선에 의해 주사슬이 끊어질 때 라디칼이 형성되는 경우 형성된 라디칼은 HALS3에 의해 형성된 라디칼과 반응하여 1차적인 분자량 감소가 크게 일어나지 않게 된다. 그러나 생성된 모든 라디칼이 HALS3와 반응하지 못하며, 일부 주사슬 절단은 라디칼 생성없이 일어나기도 하기 때문에 아무리 HALS3를 첨가하여도 자외선 조사에 의해 분자량이 감소하고 물성이 저하된다.
즉, HALS3가 첨가되면 자외선 조사에 의해 형성된 일부 라디칼이 HALS3에 의해 형성된 라디칼과 반응하여 더 이상의 구조변화가 일어나지 않게 하여 PPS의 물성저하를 감소시키지만 물성저하가 나타나는 현상 자체를 없애지는 못하였다.
|
Figure 1 Pictures of the (A) amorphous; (B) annealed PPS films irradiated with UV light of 315 nm at 40 oC for (a) 0; (b) 1; (c) 3; (d) 6; (e) 12; (f) 24 h. |
|
Figure 2 Color differences (ΔE) between the un-irradiated PPS film and the one irradiated with UV light for various times: (a) amorphous; (b) annealed PPS film. |
|
Figure 3 XPS spectra of the surface of amorphous PPS films irradiated with UV light for (A) 0; (B) 1; (C) 6; (D) 24 h. |
|
Figure 4 XPS peaks due to (A) C(1s); (B) O(1s); (C) N(1s); (D) S(2p) of PPS films irradiated with UV light for (a) 0; (b) 1; (c) 6; (d) 24 h. |
|
Figure 5 FTIR ATR spectra of the amorphous PPS films irradiated with UV light for (a) 0; (b) 1; (c) 3; (d) 6; (e) 12; (f) 24 h. |
|
Figure 6 DSC curves of (A) heating; (B) cooling from the molten state of the amorphous PPS films irradiated with UV light for (a) 0; (b) 1; (c) 3; (d) 6; (e) 12; (f) 24 h. |
|
Figure 7 Changes in (A) the transition temperature of (a) Tcc; (b) Tm; (c) Tmc; (B) the transition enthalpy of (a) cold crystallization (ΔHcc); (b) melting (ΔHm); (c) melt crystallization (ΔHmc) of the amorphous PPS films according to UV irradiation time. |
|
Figure 8 (A) Tensile stress at break; (B) initial tensile modulus of the (a) amorphous; (b) annealed PPS films irradiated with UV light for different times. |
|
Figure 9 Pictures of the PPS/HALS3 films irradiated with UV light for various times. |
|
Figure 10 Pictures of HALS3 (A) before; (B) after UV irradiation at 40 oC for 24 h; (C) TGA; (D) DSC thermogram of HALS3. |
|
Figure 11 Changes in the color difference (ΔE) between the UV irradiated amorphous PPS/HALS3 film and the un-irradiated amorphous neat PPS film (A) with increasing irradiation time at constant HALS3 content; (B) with increasing HALS3 content at constant UV irradiation time. |
|
Figure 12 Changes in the color difference (ΔE) between the UV irradiated amorphous PPS/HALS3 film and the un-irradiated one containing the same HALS3 content (A) with increasing irradiation time at constant HALS3 content; (B) with increasing HALS3 content at constant UV irradiation time. |
|
Figure 13 FTIR ATR spectra of the amorphous PPS/HALS3 films irradiated with UV light for 24 h. HALS3 content (%): (a) 0 (neat PPS); (b) 0.1; (c) 0.2; (d) 0.3; (e) 0.5; (f) 1.0; (g) 100 (HALS3). |
|
Figure 14 Tensile stress at break of the annealed PPS/HALS3 films as a function of UV irradiation time. HALS3 content (%): (a) 0 (neat PPS); (b) 0.1; (c) 0.2; (d) 0.3. |
|
Table 1 Table 1. Color Values (L, a, b) and Color Differences (ΔE) of the PPS Films Irradiated with UV Light at 40 oC for Various Times |
PPS 필름에 서로 다른 시간 동안 자외선을 조사시킨 시료들을 준비하고 이들의 색차, 표면 원소분석, FTIR 스펙트럼, 열분석, 인장응력 변화 등을 분석하여 자외선 조사가 PPS 고분자의 구조와 물성에 미치는 영향을 분석하였으며, 자외선 조사에 의한 PPS의 열화와 물성 변화를 줄이기 위하여 HALS3를 첨가한 시료를 제조하고 특성들을 분석하여 다음과 같은 결론들을 얻었다.
자외선 조사시간이 길어지면 PPS 필름의 색상이 변하여 조사 전 시료와의 색차가 점차 커진다. 열처리한 PPS 시료는 열처리 자체에 의하여 색차가 생기지만, 자외선 조사시간이 길어지면 무정형 시료보다 색차가 작아진다.
PPS에 자외선을 조사하면 에테르, 케톤, 카복실, 술폰기 등 여러 가지 관능기들이 생성되며 PPS 분자사슬의 선형성이 감소하여 가교결합이 도입된다. 자외선 조사에 따라 탄소원자와 황원자 함량은 감소하고 산소원자 함량은 증가하며 질소원자 함량은 비슷하다. 자외선을 조사시킨 시료들의 유리전이온도, 냉결정화온도와 냉결정화열, 용융결정화온도는 비슷한 값을 나타내어 PPS 결정구조 자체가 변하지는 않는다. 그러나 용융온도는 다소 낮아지며 용융열과 용융결정화열은 감소하여 생성된 관능기와 가교결합 도입 등이 PPS의 결정화에 영향을 미친다.
PPS에 HALS3를 첨가하면 시료 제조 과정에 의한 색차가 생기지만 PPS 자체 변색에 의한 색차를 줄일 수 있다. HALS3 함량이 많아지면 순수 PPS에 비해 자외선 조사에 의한 가교결합 도입 정도가 작아지며 자외선 조사에 의한 파단인장응력 감소를 크게 줄일 수 있다.
This Article2019; 43(3): 447-458
Published online May 25, 2019
Services
Correspondence toDepartment of Organic Materials and Fiber Engineering, Soongsil University, Seoul 06978, Korea