
*School of Energy, Materials and Chemical Engineering, Korea University of Technology and Education, Cheonan, Chungnam 31253, Korea
**Research Center of Eco-friendly & High Performance Chemical Materials, Cheonan, Chungnam 31253, Korea (Received May 1, 2019; Revised July 19, 2019; Accepted August 15, 2019)
*한국기술교육대학교 에너지, 신소재, 화학공학부, **친환경고성능화학소재연구소
Bio-polyester polyol was synthesized by using azelaic
acid, sebacic acid, succinic acid and 1,3-propanediol (1,3 PD).
4,4'-methylenebis(phenyl isocyanate) (MDI) was mixed in the ratio of 1:1.1
without chain extender to synthesize the bio-thermoplastic polyurethane (TPU).
Poly(1,4-butylene adipate) was used as polyol and MDI was mixed at the same ratio
to synthesize general TPU, and then physical properties were compared. FTIR,
TGA and GPC were used to analyze the composition and structure of the TPU. The
viscoelastic properties of the TPU were tested using the strain sweep function
of the rubber processing analyzer (RPA). The hardness, ball rebound and tensile
strength of the TPU were measured using a Shore A tester, ball rebound tester
and UTM. In addition, heat resistance, water resistance, and chemical
resistance were analyzed through the tensile strength retention ratio according
to external environment change. The bio-TPU with sebacic acid and 1,3-PD showed
the best viscoelastic and mechanical properties. The tensile strength was lower
than that of general TPU, but the retention ratio change was relatively high
according to the external environment.
Azelaic acid, sebacic acid,
succinic acid와
1,3-propanediol(1,3 PD)를 병용하여 바이오 폴리에스터 폴리올을 합성하였다. 합성한
폴리올에 사슬연장제 없이 MDI(4,4'-methylenebis(phenyl isocyanate))를 1:1.1 비율로 혼합하여 바이오 열가소성 폴리우레탄을 합성하였다.
Poly(1,4-butylene adipate)를 폴리올로 사용하여 같은 비율로 MDI를
혼합하여 일반 열가소성 폴리우레탄을 합성한 후 물성을 비교하였다. 열가소성 폴리우레탄의 성분 및 구조를
분석하기 위해서 FTIR, TGA 및 GPC를 사용하였다. 고분자가공분석기(RPA)의 변형 스윕(strain sweep) 기능을 이용하여 열가소성 폴리우레탄의 점탄성을 분석하였다. Shore A 경도계, 볼 반발 탄성시험기, UTM을 사용하여 열가소성 폴리우레탄의 경도, ball rebound, 인장강도를
측정하였다. 또한 외부 환경 변화에 따른 인장강도 유지율을 통해 내열성, 내수성, 내화학성을 분석하였다.
Sebacic acid와 1,3 PD에 의한 바이오 열가소성 폴리우레탄이 가장 좋은 점탄성과
기계적 물성을 보였다. 인장강도는 일반 열가소성 폴리우레탄에 비해 낮았지만, 외부 환경변화에 따른 유지율이 상대적으로 높았다.
The bio-thermoplastic polyurethane with sebacic acid and
1,3-PD showed the best viscoelastic and mechanical properties. The tensile
strength was lower than that of general thermoplastic polyurethane, but the
retention ratio change was relatively high according to the external
environment.

Keywords: bio-polyurethane, bio-polyester polyol, vegetable oil, viscoelastic, mechanical properties
석유 의존도가 높고,
온실가스 배출량이 많은 화학산업은 현재 화석연료의 고갈과 지구 온난화라는 문제에 직면해 있다. 이러한 문제를 해결하기 위한 대안으로 신재생에너지에
대한 관심이 높아지고 있는데,1 그 중 폴리우레탄 제조에 이용되는 폴리올을 biomass 유래 폴리올로 적용하여 바이오 폴리우레탄을
합성하는 연구를2 진행하였다.
폴리우레탄은 –OH 화합물과의 중합 반응에 의해 생성된 우레탄(-NHCOO) 주사슬을 일정량 이상 포함한 고분자 화합물을 통칭한다. 또한 폴리올과 이소시아네이트와의
첨가 중합에 의해 합성되는3
고분자재료로서 발포제, 촉매제, 정포제, 기능성 첨가제 등을 혼합 반응시켜 얻어지며 플라스틱 및 고무 대체 품목으로 산업 전 분야에 널리 응용되고 있다.4,5 주로 자동차, 가구, 침대, 전자, 의류 등 생활용품에 이르는 다양한 형태의 중간 소재로 사용되고, 각종 쿠션지, 흡음, 단열, 접착제 측면에서는 다른 소재에 비해 월등히 뛰어난 것으로
알려져 있다.6
폴리우레탄은 이전에는
석유에서 유래한 propylene oxide 나 ethylene oxide를 사용하여 석유계 폴리우레탄을 만들었다. 하지만, 최근에는 biomass 유래 폴리올을 이용하여 바이오
폴리우레탄을 합성하려는 연구가 진행되고 있다.7 미국을 중심으로 캐스터 오일과 콩기름 등의 식물성 오일에서 유래한 폴리올을
이용해 바이오 폴리우레탄을 제조하고 있으며, 이를 천연 섬유로 보강시킨 폴리우레탄 바이오 복합 재료에 대한 연구도 진행되고 있다.
바이오 폴리올을 생산할
수 있는 식물성 오일 원료로는 대두, 야자열매, 피마자 열매, 해바라기씨 등이 있다. 식물성 오일들은 글리세롤에 다양한 종류의 지방산이
결합된 구조를 가지고 있으며 epoxidation과
hydroxylation을 거쳐 폴리올로 전환된다. 식물성 오일을 기반으로 한 바이오 폴리우레탄은
석유계 폴리우레탄에 비해 강도가 약하다는 단점이 있으나 화학물질에 대한 저항이 크고, 특히 물에 대한
변형이 적다는 장점이 있다.8
따라서 본 연구에서는
biomass 유래 원료 중 메틸렌기가 홀수인 azelaic acid와 짝수인 sebacic acid, succinic acid를
1,3-propanediol과 병용하여 바이오 폴리에스터 폴리올을 중합하였고, 디이소시아네이트로 4,4'-methylenebis(phenyl
isocyanate) (MDI)를
첨가하여 바이오 폴리우레탄을 합성하였다. 또한 대조군으로 기존 석유화학 원료이면서 가장 물성이 좋다고 알려진 adipic acid와
1,4-butanediol을 합성하여 만든 poly(1,4-butylene adipate)를 폴리올로 사용하여 일반 폴리우레탄을 합성하였다. 분석을
통해 산 종류에 따른 폴리우레탄의 성분 및 구조, 점탄성, 기계적 물성 차이를 확인하였고, 외부환경 변화에 따른 내열성, 내수성, 내화학성을 비교하였다.
재료. 본 연구에 사용된 원료를 Table 1에 나타내었다. 열가소성 폴리우레탄을 합성하기 위해 폴리올은
60 ℃ 열풍오븐에서 액상으로 융해시켜 사용하였고, 이소시아네이트 또한 냉동 보관한 4,4'-methylene
bis(phenyl isocyanate)(MDI, 동양화학)를 60 ℃ 오븐에서 액상으로
융해시켜 사용하였다. 사슬연장제로는 1,3-propanediol(1,3 PD, TWSISChem)를 사용하였다.
바이오 폴리에스터 폴리올의 중합. Azelaic acid, sebacic acid, succinic acid와
1,3-propanediol를 둥근 바닥 플라스크에 투입하고, 열을 가하면서 교반 및 질소퍼지 하였다. 160~190 ℃에서 2시간 동안 교반시킨 후 촉매로 stannous octate를 넣어주었다. 온도를 200 ℃까지 상승시키고, 2시간 동안 반응시켰다. 이때, 교반 속도는 400 rpm, 칼럼 온도는 90~100 ℃를 유지하였다. 반응률이 80%가 되면 질소를 제거하고, 저진공(40 torr)을 걸어 반응을 진행시켰다.
산가를 측정하여9,10 1 이하가 되면 고진공(2 torr)을 걸어 분자량을 조절한 후 60~70 ℃로 냉각시키면 중합물을 얻을 수 있었다.11,12 폴리에스터 폴리올의 중합이 이루어지는
반응을 Scheme 1에 나타내었다. 진공을 걸어주는 이유는 에스테르 평형 반응에서 생성물 중 하나인 물을 제거하여 정반응을 촉진하기 위해서이다.
폴리에스터 폴리올의 분자량 측정. 폴리에스터 폴리올의 분자량 측정을 위해 말단기 정량법의
하나인 수산기가를 측정하였다.13 ASTM E222-10(standard test method for hydroxyl
groups using acetic anhydride acetylation) 방법을 이용하였다. 수산기가 측정방법은 아세틸화 시약을 폴리올과 반응시키고
과잉의 산을 1 N-NaOH로 적정하여 식 (1)로 계산한다.14

A = 공 시험에 소비된 적정액의 부피(ml)
B = 본 시험에 소비된 적정액의 부피(ml)
N = 1 N-NaOH 수용액의 노르말 농도
W = 시료의 양(g)
분자량은 수산기가를
구한 후 식 (2)로 계산한다.15

폴리올 제조 시 투여한
원료의 양 및 측정한 중량평균분자량을 Table 2에 나타내었다. 이때 다른 폴리올에 비해 PE 3의 분자량이 상대적으로 크다. 이는 질소 주입
과정에서 한꺼번에 많은 양이 투입되 부산물인 물 배출 시 glycol이 함께 배출되었을 가능성이 있다.
열가소성 폴리우레탄(TPU)의 합성. Table 3에 나타낸 것처럼 폴리에스터 폴리올을 몰 비에 맞게 주입한 후 MDI를 넣었다. MDI의 경우
몰 비에 따른 질량보다 5 wt% 과량으로 주입하였다. 150~200 rpm으로
2~3분간 교반하고 테프론시트에 부었다. 100 ℃ 열풍오븐에서 6일간
보관하여 여분의 우레탄 반응을
유도하고, 5시간 동안 상온에서 숙성하였다. 가열시편제작기(1008a, Ocean Science)를 사용하여 160~170 ℃에서 10 MPa의 압력으로 사각형의 최종 시편을 제작하고, 그 시편으로 각종 분석을 시행하였다.
분석. FTIR: 열가소성 폴리우레탄의 화학 구조를 푸리에 변환 적외선
분광법으로 조사하였다. 적외선 스펙트럼은 Perkin Elmer Spectrum 100®로 64회 스캔하고, 4 cm-1의 해상도로 기록하였다. 스펙트럼의 파장 범위는 650~4000 cm-1였다.
GPC: 열가소성 폴리우레탄의 분자량은 젤 투과 크로마토그래피(Waters, USA, ACQUITY APC
Core System) 분석에 의해 결정되었다. 시편 0.02 g을 DMF 1 g에 녹인 후 THF 9 g으로 희석하여 40분간 초음파 처리한 뒤 필터하여 분석하였다.
TGA: 열가소성 폴리우레탄의 열 중량 분석에 TA Instruments TGA Q500 V20을 사용하였다. 질소
분위기(200 mL/min) 하에서 10 ℃/min의 승온 속도로 온도 범위 30~700 ℃에서 분석하였다.
RPA: 열가소성 폴리우레탄의 점탄성은 고분자가공분석기(RPA-V1, U-CAN DYNATEX Inc.)로 측정하였다. 0.01~20도에서의 변형 스윕 시험은 60 ℃, 1 Hz에서 수행되었다. 주파수 스윕 모드는 ASTM D 6204-97에 따라 60 ℃에서 1~120 cpm으로 유지되었다.
경도: 열가소성 폴리우레탄의 경도는 Shore A 경도계(TIME, TH200)를 사용하여 ASTM
D22-40에 따라 5회 측정 후 최대값과 최소값을 제외한 나머지 값을 평균하여 구하였다.
반발 탄성: 열가소성 폴리우레탄의 반발 탄성을 볼 반발 탄성시험기(Hildebrand Ball
Rebound Tester)를 사용하여 ASTM D3574-17 규격에 따라 3회 측정 후 평균하여 구하였다.
인장 강도: ASTM D412-A 규격의 아령형 틀을 사용하여 열가소성 폴리우레탄 시편을 제작하였고,
UTM(AGS-X, SHIMADZU Inc.)을 사용하여 인장 속도 100 mm/min 으로 측정하였다.
내열성: 열가소성 폴리우레탄 시편을 100 ℃ 열풍 오븐에서 24시간 동안 노화시킨 후 UTM(AGS-X, SHIMADZU사)으로 인장강도를 측정하였다.
내수성: 열가소성 폴리우레탄 시편을 항온 항습기에서 일주일 간 70 ℃, 95%의 항온 항습 조건으로 보관한 후 UTM (AGS-X, SHIMADZU사)으로 인장강도를 측정하였다.
내화학성: 열가소성 폴리우레탄 시편을 상온의 10% NaOH 용액에 7일간 침전시킨 후 UTM(AGS-X, SHIMADZU사)으로 인장강도를 측정하였다.
FTIR 분석 결과를
Figure 1에 나타내었다. 그림을 보면 전형적인 우레탄의 특징을 확인할 수 있다. 우선 1750-1735 cm-1에서 에스터의 C=O가 나타났고, 3400-3300,
1530 cm-1 부근에서 우레탄기의
N-H가 관찰되었다. 3000-2840 cm-1는 azelaic acid, sebacic acid, succinic acid의
C-H shoulder를 나타낸다. 또한 1300-1000 cm-1에서 폴리올의 성분에 따른 특징적인 피크를 보인다. 2750-2250 cm-1에서 isocyanate의
-N=C=O가 확인되지 않는 것으로 보아 폴리우레탄 합성이 잘 이루어졌음을 알 수 있었다.
GPC 측정 결과를
Table 3 하단에 나타내었다. 석유 유래 폴리올로 만든 TPU 4,5의 분자량이 바이오 TPU보다 크게 나타났다. 바이오 TPU 중에서는 입체구조
에너지가 낮고 구조적으로 안정한 TPU 2, 3의 분자량이 더 높았다. 이는 응집에너지가 높아 결정성이 좋기 때문이다. 그 중에서도 메틸렌기 수가
더 많은 TPU 2의 분자량이 가장 높았다. 반면, 메틸렌기가 홀수이고 구조적으로 불안정한 TPU 1의
분자량이 상대적으로
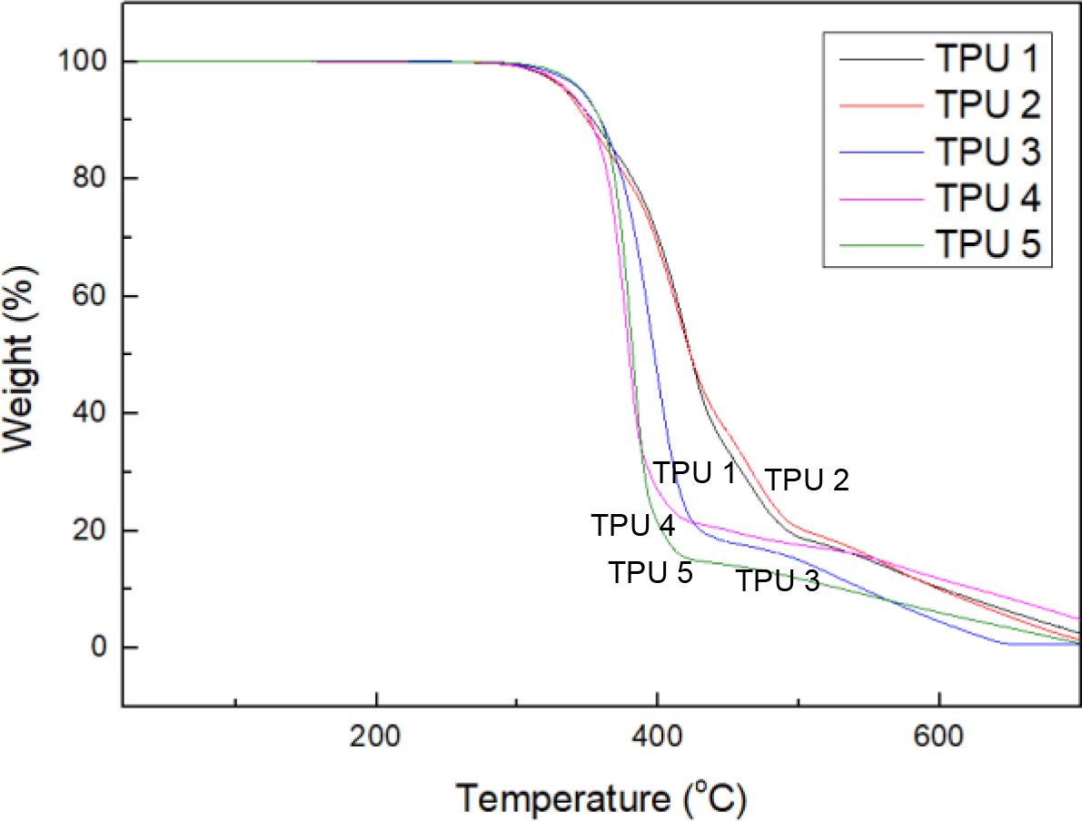
가장 낮게 나타났다. Figure 2의 TGA 분석 결과 TPU 3, 5의 초기 열분해온도가 TPU 1, 2, 4에 비해 높았다. 하지만, Figure 3에서 온도가
높아질수록 TPU 1,2의 사슬 전체의 열분해온도가 상승함을 확인하였다. 일반
TPU(TPU
4,5)는 약 420 ℃에서 분해가 완료되었지만 TPU 3은 약 450 ℃, TPU 1,2는 약 500 ℃에
서 완료되었다. 이는
바이오 TPU가 일반 TPU에 비해 열 안정성이 우수함을 알 수 있다. 또한 TPU 1,2는 3단계에 걸쳐 분해가 일어나는데, 이는 우레탄 그룹의
분해가 먼저 일어난 후 소프트 세그먼트의 분해가 일어나기 때문이다.
점탄성은 고분자의
분자량, 구조, 구조 내 사슬의 상호작용을 설명할 수 있으며 특히 고분자 사슬의 얽힘에 의해 많은 영향을 받는다. Figure 4, 5에서 TPU 2, 4는 높은 저장 탄성률과 손실 탄성률을 보였다. 이는
메틸렌기가 짝수이므로 입체구조 에너지가
낮아 결정이 되고 응집력이 크기 때문이다. 한편, TPU 1, 3, 5는 strain이 높아짐에 따라 탄성률이 급격하게 감소했는데 이는 입체구조 에너지가 높아 비결정이 되고 응집력이 약해16 strain에 의해 쉽게 붕괴되었기 때문이다.
Figure 6, 7에서는 TPU의 점탄성 토크를 확인할 수 있다.
TPU 2, 4는 높은 탄성
토크를 보이는데 이는 이 두 TPU의 탄성이 가장 좋으며 가교 밀도가 높다는 것을 알 수 있다. Figure 7에서 낮은 strain에서는
모든 TPU가 비슷한 점성을 보인다. 하지만, strain이 증가할수록 즉, 외력이 커질수록 뚜렷한 차이를 보였다.
TPU 1, 2, 3, 4의 점성은 증가했고, TPU 2, 4의 증가 폭은 눈에 띄게 큰데 비해 TPU 1, 3의 증가 폭은 작았다. 결과적으로 TPU 2, 4가 전 strain에서 가장 좋은 점탄성을 보였다.
Figure 8에
경도를 비교한 결과를 나타내었다. 메틸렌기가 짝수이면서 많을수록 응집에너지가 커져 결정성이 좋아진다. 결과 역시 TPU 2 > TPU 4 > TPU 3 순으로 높은 경도 값을 보였다. TPU 1 역시
높은 경도 값을 보였는데 이는 폴리올로 구성된 소프트 세그먼트의 함량이 높아 상 분리가 용이하여 결정화가 잘 일어나기 때문이다.17 한편, TPU 3은
가장 낮은 경도 값을
보였는데 폴리올의 분자량이 클수록 우레탄기 감소로 강도 및 경도가 떨어지기 때문이다.
Figure 9에서
TPU 2가 가장 높은 반발 값을 보였다. 이는 탄성이 가장 좋음을 의미한다. 고무상 탄성률이 가교 밀도에 비례하는데 단위 체적당 두 가교점을
잇는 사슬의 수가 TPU 2가 가장 많기 때문이다. TPU 3, 5는 탄성이 좋지 않았는데 이는 폴리올의 분자량이 높아 탄성률이 떨어졌기 때문이다.
Figure 10, 11에 TPU의
인장강도와 연신율을 나타 내었다. 분석 결과, 인장강도는 TPU 5 > TPU 2 > TPU 4 > TPU 1 > TPU 3이었고, 연신율은 TPU 4 > TPU 5 > TPU 2 > TPU
1 > TPU 3이었다. 전반적으로 일반 TPU에
비해 바이오 TPU의 인장강도 및 연신율이 좋지 않았다. 하지만, 열에 취약해 내열성, 내수성 분석이 불가능했던 TPU 5에 반해 TPU 2는 인장강도가 외부 환경을 변화시키기 전에
비해 저하되기는 했지만 일반 TPU보다 월등히 높았다. 또한
연신율에 있어서는 값이 거의 비슷했고, 10% NaOH 용액에 침전 시킨 이후에는 약간 증가했다. 결과적으로 TPU 2의 물성이 일반 TPU에 비해 우수함을 확인할 수 있었다.
|
Figure 1 FTIR results of the TPU samples. |
|
Figure 2 TGA results of the TPU samples. |
|
Figure 3 Derive. weight vs temperature of the TPU samples. |
|
Figure 4 Storage modulus of the TPU samples. |
|
Figure 5 Loss modulus of the TPU samples. |
|
Figure 6 Elastic torque of the TPU samples. |
|
Figure 7 Viscous torque of the TPU samples. |
|
Figure 8 Hardness of the TPU samples. |
|
Figure 9 Resilience of the TPU samples. |
|
Figure 10 Tensile strength of the TPU samples. |
|
Figure 11 Elongation of the TPU samples. |
환경 문제를 일으키는
석유 자원 유래 폴리우레탄을 대체하고자 친환경 폴리우레탄을 제조하기 위해 식물성 오일에서 유래한 바이오 폴리올을 사용하여 친환경 열가소성 폴리우레탄을
합성하였다. 대조군으로 poly(1,4-butylene adipate)를 폴리올로 사용하여 일반 열가소성 폴리우레탄을 합성한 후 물성을 비교하여
대체 가능성을 확인하였다.
FTIR 분석 결과 우레탄의 일반적인 특징들이 확인된 것으로 보아
열가소성 폴리우레탄이 제대로 합성되었다. 전반적으로 짝수 개의 메틸렌 단위를 함유하고 높은 차수를 갖는 sebacic acid를 사용한 TPU 2의 물성이 두드러졌다. 우선 초기 열분해 온도는 약간 낮았지만 온도가 높아질수록 사슬 전체의 열분해 온도가 상승하여 약 500 ℃에서 완전히 분해되었다. RPA에서는
저장·손실 탄성률, 점탄성 값이 가장 높았는데, 이는 TPU 2의 구조 내 사슬의 상호작용이 크고, 응집력이 좋아 분자
내 얽힘이 증가했기 때문이다. 이밖에도 높은 경도와 가장 좋은 탄성을 보였다. 한편, 인장강도 및 연신율은 일반
TPU(TPU 4, 5)에 비해 물성은 떨어졌지만 TPU 4보다는 높은 인장강도 값을 보였고, 외부 환경 변화에 따른 유지율이 높았다.
This Article2019; 43(6): 824-830
Published online Nov 25, 2019
Services
Correspondence to*School of Energy, Materials and Chemical Engineering, Korea University of Technology and Education, Cheonan, Chungnam 31253, Korea
**Research Center of Eco-friendly & High Performance Chemical Materials, Cheonan, Chungnam 31253, Korea