
Min
Sup Park#, Joonho Kim#, Yeong-Joon Kim†
, Jinsook Hong*, Young-Wun Kim*, and Jae Hee Song**† 
Department of Chemistry, Chungnam National University,
Daejeon 34134, Korea
*Green Chemistry Research Division, Surfactant &
Lubricant Research Team, KRICT, Daejeon 34114, Korea
**Department of Chemistry, Sunchon National University,
Suncheon, Jeollanam-do 57922, Korea
충남대학교 화학과, *한국화학연구원, **순천대학교 화학과
Highly reactive
polyisobutylene (HRPB) derivatives were synthesized by introducing thiadiazole
group containing S and N elements into highly reactive polyisobutylene (HRPB).
In order to study the friction reduction effect of these derivatives, the WSD
(wear scar diameter) of 1 wt% solution of HRPB derivatives in Yubase 6
(SK) was observed by the ASTM D4172 method using a 4-ball tester. The friction
reduction effect of the new HRPB derivatives was similar to or higher than that
of the commercial products such as Zn-DTP. The surface analysis of the wear
scar was investigated by using SEM-EDX and XPS. We observed that the sulfur
content on the wear scar surface was dramatically increased compared to pure
surface, not rubbed. From the binding energy of S2p, it was supposed that
sulfur made a complex with iron and existed as FeS2 on the wear
scar. We concluded that the friction reduction effect of the new HRPB
derivatives containing thiadiazole group is attributed to a strong interaction
between sulfur and iron on the metal surface
고반응성 폴리부텐(HRPB)에
싸이아다이아졸 그룹을 도입하여 새로운 유도체를 합성하였다. 이들의 마찰 저감 효과를 확인하기 위하여 Yubase 6(SK)를 기유로 사용하고 1 wt% 농도로
첨가하여 4-ball 마모흔의 직경을 비교하였다. 새로운 HRPB 유도체에 의한 마찰 저감 효과는 Zn-DTP와 같은 상업제품들과
비교하였을 때 유사 혹은 월등한 결과를 보여주었다. 우수한 마찰 저감 효과에 대한 이해를 위해 SEM-EDX와 XPS를 사용하여 마모흔의 표면을 분석하였다. 마찰흔 표면에서 황(S)의 함량이 현저히 증가하는 것을 확인하였고
황은 철과 결합한 FeS2 상태로 존재함을 알 수 있었다. 이로부터 싸이아다이아졸을 포함하는 새로운 HRPB 유도체에 의한
마찰 저감 효과는 분자 내 존재하는 황이 쇠구슬 표면과 강한 상호 작용으로부터 기인한다는 것으로 판단된다
The WSD (wear scar diameter) of 1 wt% solution of HRPB derivatives containing thiadiazole group in Yubase 6 (SK) was observed by using a 4-ball tester. The surface analysis of the wear scar was investigated by using SEM-EDX and so on.

Keywords: highly reactive polyisobutylene derivatives, 1,3,4-thiadiazole, lubricant additives, anti-wear, surface analysis
본 연구는 충남대학교
학술연구비에 의해 지원되었습니다.
다양한 종류의 윤활유
첨가제는 자동차, 기계, 금속가공 산업 등에 폭 넓게 사용되고 있는데, 그 중 내마모제는 오일에 첨가되어 금속표면에 윤활막을 형성함으로써 금속
간의 마모 및 마찰을 저감시켜 주는 역할을 한다. 현재 상업적으로 많이 사용되는 내마모제의 대표적인 예로 Zn-DTP와 Mo-DTC 등을 들 수 있는데, 이들은 분자
내 중금속 혹은 인(P) 등을 포함하여 인체와 환경에 좋지 않은 영향을 줄 수 있다는 문제점 때문에 이들을 대체할 수 있는 새로운 내마모제 개발에
대한 연구가 활발히 진행되고 있다.1-3
내마모 특성을 가지기
위해서는 내마모제와 금속표면과의 강한 상호작용이 필수적이므로 현재 개발되어 사용되고 있는 내마모제는 전기음성도가 큰 질소(N), 산소(O)와 황(S)
등을 구성원소로 포함하고 있다. 싸이아다이아졸(thiadiazole), 벤조트리아졸(benzotriazole), 벤조싸이아졸(benzothiazole),
벤즈이미다졸(benzimidazole), 벤즈옥사졸(benzoxazole), 싸이아졸(thiazole), 트라이아진(triazine), 다이싸이오카바메이트(dithiocar-bamate) 유도체
들이 그 예이다.4-10 전기음성도가 큰 원자를 포함하는 작용기는 상대적으로 극성이기 때문에 비극성인 오일에 대한 용해도 문제가 해결되어야 할 과제이다. 따라서 이들의 오일에
대한 용해도를 증가시키기 위해 비극성을 가지는 적당한 길이의 알킬기를 분자에 도입하는 것이 이와 관련된 연구의 핵심이다.11,12
PMA, polyethylene polyamine, polyalphaolefin 등의 고분자 사슬이 내마모제의 알킬기로 사용되는 예도 보고된 바가 있다.13,14
폴리부텐의 중합반응
조건은 일반적으로 루이스 산인 삼염화 알루미늄(AlCl3), 삼불화 보론(BF3) 등의 촉매를 사용하는
양이온 중합 조건인데,15 이렇게 얻은 고분자는 분자 내에 하나의 이중결합을 가지고 있다. 말단기의 이중결합은 그렇지 않은
경우보다 반응성이 더 크기 때문에 말단기 이중결합인 비닐리덴 함량이 클수록 폴리부텐의 반응성은 커지게 된다. 비닐리덴 함량이 10% 미만인 일반
폴리부텐(conventional polyisobutylene)은 오래 전부터 점착제, 절연유, 윤활유 첨가제, 연료 청정제로 주로 사용되고 있다. 1980년대 이후
비닐리덴 함량이 70% 이상인 고반응성 폴리부텐(highly reactive polyisobutylene, HRPB)이 개발되었는데 이는 일반
폴리부텐의 단점인 낮은 반응성 등의
문제를 해결해 줄 수 있었다. 그러므로, HRPB에 극성기를 도입하여 연료 청정제나 윤활유 첨가제로 사용하려는 수요가 최근에 꾸준하게 증가되고
있다.16-23
최근에 폴리부텐 유도체를
내마모 첨가제로 응용해 보고자 시도하였는데, 특히 평균 분자량이 300 정도인 HRPB가 내마모제의 알킬기로 적당할 것으로 보고 질소(N), 산소(O)와 황(S)
원자를 포함하는 polyisobutenyl succinimide(PIBSI) 유도체를 합성하고 그들의 내마모 특성을 보고하였다.24
그러나 이들은 숙신이미드(succinimide) 자체의 극성 때문에 오일에 대한 용해도가 좋지 않아 극성이 있는 일부 오일 혼합물에서만 내마모 특성을 평가하였고
기존 제품에 비해 더 나은 결과는 얻지 못했다.
본 연구에서는
PIBSI 유도체의 용해도 문제를 해결하기 위해 HRPB 말단의 이중결합에 직접적으로 브롬(Br)을 도입 후 치환반응을 통해 Br 자리에 이종고리를
도입하는 방법으로 HRPB 유도체를 합성하였다. 그들의 내마모 특성을 서로 비교하고 표면 분석 결과를 통하여 내마모제와 금속표면과의 상호작용에 대해 보고하고자
한다.
시약. 본 실험에서 사용된 isobutylene과
isobutane(Yeochun Naphtha Cracking Center, YNCC)은 수분 제거를 위해 molecular sieve
13X(UOP)가 채워져 있는 관을 통과하여 사용하였고, isopropyl alcohol(삼전, 99.5%), BF3(Honeywell,
99.5%)는 정제 없이 사용하여 HRPB를 제조하였다. HRPB 유도체 합성을 위해 hydrobromic acid(33% solution in
acetic acid,
Adrich), di-t-butylperoxide(TCI), 5-methyl-1,3,4-thiadiazole-2-thiol(TCI),
5-(methylthio)-1,3,4-thiadiazole-2-thiol (TCI), 1,3,4-thiadiazole-2,5-dithiol(TCI) 등을 사용하였다.
기기. NMR(AVANCE III 500,
Bruker)을 사용하여 비닐리덴 및 합성된 유도체의 구조 분석을 실시하였다. 분자량 분석을 위하여 MALDI TOF(Voyager-DE STR)와 GPC(VE2001, Viscotek)를 사용하였다. 마찰마모 특성 분석을
위하여 4-ball 마모시험기(Cameron Plint사)를 사용하였다. 마모흔의 표면분석을 위하여 Microscopes(OLYMPUS,
U-MSSPG, JAPAN), XPS(X-ray photoelectron spectroscopy, MultiLab 2000)와
SEM-EDX(scanning electron microscope-energy dispersive X-ray spectroscopy,
Bruker Quantax200)를 사용하였다.
HRPB350(1)의 합성.24C4 혼합 원료를 삼불화붕소(BF3)/이소프로판올(isopropyl
alcohol)(몰비 1:1.6) 착물 촉매를 이용하여 중합시켰다. 저비점 중합액을 제거한 후 고반응성 폴리부텐 HRPB350(1)을
얻었다. Isobutylene 전환율은 90.0%이고 비닐리덴 함량 86.0%이었다. 단량체가 결합된 수(n)의 분포는 n=4 (3%),
n=5 (27%), n=6 (38%), n=7 (20%), n=8 (2%)이었다.
HRPB350-HBr(2)의 합성. 250 mL 2구 둥근 바닥 플라스크에 HRPB350(1)(20 g, 57.3 mmol)와 di-t-butylperoxide
(0.39 g, 27 mmol)를 petroleum ether 100 mL와 함께 넣고 얼음 수조에서 냉각하였다. HBr
33% 아세트산 용액(28.1 g, 11.5 mmol)을 천천히 적가하였다. 10~20 oC로 유지하면서 1시간 동안 반응을 진행하였다. 유기층을 물로 씻은 후 회전 증발기를 이용하여 증류하여
HRPB350-HBr(2) 24.27 g(56.4 mmol, 98.5%)을 얻었다.
1H NMR(CDCl3, ppm) δ 1.9(m, 1H), δ 3.3(dd, 1H), δ 3.4(dd, 1H).
HRPB350-Thiadiazole
유도체(3-5)의 합성. 250 mL 둥근 바닥 플라스크에 DMF 100 mL에
1,3,4-thiadiazole-2,5-dithiol (5.24 g, 34.9 mmol), HRPB350-HBr(2)(10.0 g, 23.2 mmol), pyridine(2.2 g, 27.9 mmol)을 넣고 150 oC로 가열하였다. 6시간 반응 후, 용매를 증류하고 반응 혼합물을 hexane:ethyl acetate = 10:1 전개용매 조건에서 컬럼크로마토그래피로 정제하여,
유도체(3) 10.17 g(17.6 mmol, 75.6%)을 얻었다. 1H NMR(CDCl3, ppm) δ 1.9(m, 1H), δ 2.9(dd, 1H), δ 3.1(dd, 1H), δ 4.0(d, 1H), δ 11.6(s, 1H, SH). MALDI TOF: m/z 469.4[M-SH+O]+, n=6[(C26H50N2S3-SH+O)+
Theory: m/z 469.3]
같은 방법으로
5-methyl-1,3,4-thiadiazole-2-thiol(0.92 g, 7.0 mmol)과 HRPB350-HBr(2)(2.00 g, 4.7 mmol)을 반응시켜 유도체(4) 1.1 g(2.0 mmol, 42.2%)을 얻었다.
1H NMR(CDCl3, ppm) δ 2.0(m, 1H), δ 2.7(s, 3H, CH3), δ 3.1(dd, 1H), δ 3.3(dd, 1H). MALDI TOF: m/z
469.4 [M+H]+, n=6[C27H52N2S2+H]+
Theory: m/z 469.5]
같은 방법으로
5-(methylthio)-1,3,4-thiadiazole-2-thiol(0.57 g, 3.5 mmol)과 HRPB350-HBr(2)(1.00 g, 2.3 mmol)을 반응시켜 유도체(5)
0.75 g(1.3 mmol, 54.5%)을 얻었다.
1H NMR(CDCl3, ppm) δ 2.0(m, 1H), δ 2.7(s, 3H, SCH3), δ 3.1(dd, 1H), δ 3.2(dd, 1H). MALDI TOF: m/z 501.3 [M+H]+, n=6[(C27H52N2S3+H)+
Theory :m/z 501.3]
HRPB350
유도체 합성. Isobutylene을 원료로 양이온 중합하여 얻은
HRPB350(1)에 황(S)과 질소(N)가 포함된 오각고리 화합물들을 도입하기 위하여 HBr 첨가 반응을 통하여
HRPB350-HBr(2)을 합성하였다. Br기가 말단에 있는 것이 이종고리를 도입하기에 유리하므로 anti-Markovnikov
규칙을 따르는 반응을 위해 di-t-butylperoxide를 이용하는 라디칼 반응을 적용하였다.25 반응 진행
정도는 1H NMR 분석으로 알 수 있었는데 HRPB350(1)에 HBr 첨가 반응이 진행되면 δ 4.6 ~5.1 ppm 위치의 이중결합 영역의 수소 피크가 사라지는 것을
알 수 있었다. 동시에 카이랄 중심(chiral center)이 생성되어 브롬이 결합되어 있는 탄소의 수소 두 개가 부분 입체 이성질성(diastereotopic)이므로
화학적이동 3.3과 3.4 ppm에서 각각 다른 1H NMR 피크를 볼 수 있었다.
HRPB350 유도체(3~5)의
합성을 위해서 HRPB350-HBr(2)의 Br 자리에 치환하여 들어갈 수 있는, 말단에 thiol기를 가지고 있는 이종고리
thiadiazole 화합물들인 1,3,4-thiadiazole-2,5-dithiol, 5-methyl-1,3,4-thiadiazole-2-thiol와
5-(methylthio)- 1,3,4-thiadiazole-2-thiol을 선택하였다. HRPB350 유도체 합성을 Figure 1에 정리하였는데 HRPB350-HBr(2)는
정제하지 않고 그대로 다음 반응에 사용하였으며 thiol에 의한 친핵성 치환반응을 실시한 후 컬럼 크로마토그래피 방법으로 정제하였다. 유도체 합성의
성공 여부는 1H NMR과 MALDI TOF로 확인할 수 있었다. HRPB350 유도체(3~5)는
모두 2의 Br 자리에 치환된 S로부터 b위치에 카이랄 중심 탄소가 존재하고 1H NMR에서 이 카이랄 중심 탄소에 있는 수소 하나가 모두
7개의 이웃 수소와 짝지음(coupling)하므로 1.9 혹은 2.0 ppm의 화학적 이동에 해당하는 피크가 다중선(multiplet)으로 특징적으로
나타나게 된다. 또한 황이
결합된 a탄소의 두 개의 수소가 서로 부분 입체 이성질성이므로 서로 짝지음하여 화학적 이동 3.0 ppm 근처에서 이중 이중선(doublet of
doublet)형태로 각각 나타난다. MALDI TOF 결과는 유도체 4와 5는 예상대로 단량체의 수(n)가 6에 해당하는
M+1 피크를 가장 크게 얻을 수 있었다. 유도체 3은 M+1 피크를 얻을 수 없었는데 그 이유는 말단기인 -SH가 질량분석
실험조건에서 쉽게 분해되기 때문이라고 설명할 수 있다.
HRPB350
유도체의 마찰 저감 성능. HRPB350으로부터 합성한 유도체 3,
4, 5의 마찰 저감 성능 평가를 위하여 4-ball WSD(wear scar diameter)로 마모 시험을 시도하였다.
가장 보편적인 탄화수소 기유(base oil)인 Yubase 6(SK)를 사용하여 실험하였는데 3, 4, 5는
모두 Yubase 6(SK)에 잘 녹았다. 윤활유 첨가제 개발에 있어서 많은 경우 기유에 대한 용해도 문제 때문에 개발에 한계가 있는데 최근에
본 연구진이 발표한 논문에서는 HRPB로부터 합성한 PIBSI(polyisobutenyl succinimide) 유도체가 비극성 기유인
Yubase 6(SK)에 녹지 않아
DB-51과 혼합한 기유에서 마찰 저감효과를 관측하였다.24 HRPB350 유도체(3~5)의 Yubase
6(SK)에 대한 높은 용해도는 HRPB가 가지가 많은 탄화수소 사슬이기 때문에 분자간 쌓임(stacking)을 줄일 수 있고, 더 중요한 것은
PIBSI에 존재하였던 극성 부분인 succinimide 고리를 포함하지 않기 때문에 비극성 용매에 잘 녹을 수 있었다고 설명할 수 있다.
4-Ball 마모 테스트는 ASTM D4172 방법으로 진행하였는데, 온도 75±2 oC, 회전 속도 1200±60 rpm, 하중 392±2 N (40±0.2 kgf) 조건에서 60분 동안 실험하여 3개 볼의 마모흔 WSD(wear scar
diameter)의 평균치를 구하였다. Figure 2(a)는 첨가제가 없는 기유에서 관측된 마모흔과 그들의 직경
크기를 보여준 것이고 Figure 2(b)는 유도체 4를 기유에 1% 첨가한 상태에서 관측된 마모흔과 그들의 직경 크기를
보여준 것이다. Table 1에 나타낸 값은 4-ball 마모
테스트에 사용된 쇠구슬
세 개의 마모흔(WSD) 값을 평균한 것이다. Table 1의 결과로부터 본 연구에서 새롭게 합성한 HRPB350 유도체(3~5)의
마찰 저감 효과가 상업 제품과 비교하였을 때 유사 혹은 더 월등하다는 것을 알 수 있었다. WSD 값이 0.536 mm인 Zn-DTP를 포함한 인(P)계 첨가제에 비해
HRPB350 유도체(3~5)는 대등하거나 약간 낮은 성능을 보여주지만, 트리아졸(Triazole)계를 포함한 다른 상업
제품보다는 더 우수한 마찰 저감 성능을 나타내고 있다. 특히 4와 5의 WSD 결과는 기존 상업 제품을 대체할 가능성이
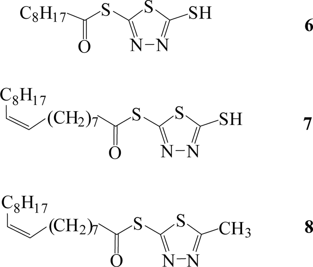
있다는 것을 보여준다. HRPB350 유도체(3~5)와 탄화수소 부분은 다르지만 같은 종류의 싸이아다이아졸(thiadiazole)
이종고리를 포함하는 화합물 6, 7, 8 (Figure 3)에 대한 마찰 저감 효과를 보고한 바가 있다.8
이들을 DB-51, Soybean, 100N의 3종의 다른 기유에 녹여 마모흔을 측정하였을 때, 마찰 저감 효과는 있었으나 상업제품에는
미치지 못하였다. 예를 들면, Yubase 6(SK)와 비슷한 종류의 기유인 100N(S-OIL)에 1.0 wt% 농도로 6~8을 각각
첨가하였을 때, 첨가하지 않을 때보다 20 kgf, 상온의 조건에서는 WSD가 16~37% 감소하여 마찰 저감 효과가 우수한 것으로 평가되었다. 그러나
본 논문의 실험 조건인 40 kgf, 75 oC에서는 첨가하지 않았을 때에 비해 WSD가 0~20% 감소하여 그 효과가 크지 않았다. 이에 비해
Table 1에서 보여주는 3~5의
WSD 감소 효과 32~38%는 매우 우수한 것으로, 이 결과는 화합물의 비극성 부분인 고분자 사슬 부분(HRPB350)이 마찰 저감 효과에 중요한 영향을 미친다는
것을 말해준다.
마찰 저감 효과는
첨가제의 황(S) 함량과 밀접한 관련이 있고 일반적으로 황(S) 함량이 증가하면 마찰 저감 효과가 증가하는 경향이 있으나, 황(S) 함량이 지나치게
증가하면 금속표면에 부식을 유발하는 단점이 있기 때문에 첨가제의 분자를 설계할 때 유의해야 하는 것으로 알려져 있다.1,4,9
HRPB350 유도체 3, 4, 5의 황(S) 함량은 각각 16, 11, 16%인데 마모흔(WSD)은
각각 0.630, 0.575, 0.574 mm로 황 함량과 마모흔(WSD)과의 특별한 상관관계는 없는 것으로 판단된다. 그러나 유도체 3이
4 혹은 5보다 마찰저감 효과가 작은 것은 확실한데, 3에서는 S가 SH 형태로 활성화되어 마찰저감 효과보다는
표면부식 역할을 더 크게 했기 때문으로 추측된다. 유도체 4와 5에서는 황(S) 함량이 11%에서 16%로 증가하였지만
마모흔(WSD)에서는 차이가 없었다. 이 결과는 마찰저감제에서 황(S)의 함량보다는 S, N, O 등 금속과 결합할 수 있는 원소가 분자 내에서
어느 위치에서 어떻게 역할을 하는가가 더 중요한 것이라는 것을 말해주고 있다.
표면 분석. HRPB350 유도체의 마찰 저감 특성을 설명하기 위해
마모흔 표면에 대한 SEM-EDX와 XPS 분석을 실시하였다. Figure 4는 기유에 첨가제 4가 1.0 wt% 들어 있는 상태에서 마모 실험이 끝난 뒤, 사용된
쇠구슬의 마모흔이 있는 표면(a, c)과 마모가 없는 표면(b, d)에 대하여 얻은 SEM 사진과 EDX 스펙트럼이다.
Figure 4(c)의 SEM 사진은 Figure 2(b)에서 확인하였을 때와 같은 마모흔의 크기(WSD)를 보여주었다.
Figure 4(a, b)에서 보여주는 EDX 스펙트럼에서 특징적인 것은 마모흔이 없는 지역에 해당하는 (b) 스펙트럼에서 보이지
않던 황(S)에 대한 피크가 마모흔이 있는 지역에 해당하는 (a) 스펙트럼에서는 확연히 나타났으며, 이 피크의 적분 값으로
얻은 황(S)의 함량은 1.04%이었다. 이로부터 HRPB350 유도체 4가 마찰저감 효과를
나타내는데 있어서
황(S)이 중요하게 작용하고 있음을 알 수 있었다. Table 2는 XPS 스펙트럼으로부터 얻은 마모흔이 없는 표면(pure)과 마모흔이 있는
표면(wear scar)에 존재하는 원소들의 조성을 비교하여 나타낸 것이다. 기유와 첨가제 5가 쇠구슬 표면에 유기물질로 막을 입혀
마모흔이 있는 표면과 없는 표면 모두에서 가장 많이 존재하는 원소는 탄소(C)였다. 여기에서 가장 특징적인 것은 황(S)의 함량이 0.4%에서
마모흔이 있는 표면에서는 2.1%로 크게 증가한 것으로 이는 Figure 4의 EDX 스펙트럼에서 보여준 경향과 일치한다. 탄소(C)의
함량이 크게 줄어들고 산소(O)와 철(Fe)의 함량이 늘어난 것은 유기막이 벗겨지면서 철이 황뿐만이 아니라 산소와도 반응하였다는 것을 말해주고
있다. XPS 스펙트럼은 마모흔 표면에서 발견되는 S, N, O, Fe 등의 각 원소에 대한 산화 상태에 대한 정보를 알려주므로 마모흔 표면에서
존재하는 화합물의 상태를 확인할 수 있었다. Figure 5의 XPS 스펙트럼은 마모흔이 없는 표면에서는 황(S)의 S2p 영역에서 피크가 발견되지
않았고 마모흔 표면에서는 161.5 eV에서 피크를 관찰할 수 있었다. 이 피크는 마모흔 표면에 존재하는 황(S) 원자의 산화 상태를 보여주고
있는데, Table 3에서 나타낸 철의 황화물 표준물질의 결합에너지와 비교한 결과로,9 5가 첨가된 마모흔 표면에서
철 황화물은 이황화철
(Iron
disulfide, FeS2) 형태로 존재한다는 것을 의미한다. 또한 XPS 스펙트럼의 Fe2p 영역에서는 711.1 eV
피크가, O1s 영역에서는 530.3 eV 피크가 발견되었다. 이 결과는 마찰로 인해 철이 산화되어 Fe2O3
혹은 Fe3O4의 형태로 마모흔 표면에 존재한다는 것을 말해주고 있다.26-28
표면 분석을 통하여
마모흔에 존재하는 철 화합물들은 산화철과 이황화철 형태로 존재하는데, 특히 싸이아다이아졸(thiadiazole)기를 포함하는 HRPB 유도체가
마찰저감제로 사용될 때, 황을 포함하는 HRPB 유도체가 금속표면과 반응하여 생성되는 이황화철은 마찰저감 효능과 밀접한 관계가 있음을 알 수 있었다.
이 결과는 황(S)을 포함하는 벤조싸이아졸 유도체,3 싸이아다이아졸 유도체와9 싸이오트라이아진 유도체의27
표면 분석 결과와 일치한다.
|
Figure 1 Synthetic scheme of HRPB350 derivatives. |
|
Figure 2 Micrographs of worn scars when lubricated (a) with base oil only; (b) with 1 wt% of 4 in base oil at the load of 392 N and time of 1 h. |
|
Figure 3 Chemical structures of thiadiazole derivatives in the previous work. |
|
Figure 4 (a) EDX spectra; (c) SEM images of the wear scar surfaces lubricated with the base oil containing 1.0 wt% of 4 (b) EDX spectra; (d) SEM image of the pure surface, not rubbed. |
|
Figure 5 XPS spectra of S2p on (a) worn surface; (b) pure surface lubricated with the base oil containing 1.0 wt% of 5. |
|
Table 2 Atomic Concentration of Some Typical Elements in Pure Surface and Worn Surface Lubricated with the Base Oil Containing 1.0 wt% of 5 |
무극성인 기유에 용해가
가능하도록 분자 구조를 설계하고, HRPB350에 브롬화 반응 후 싸이아다이아졸기를 포함하는 화합물로 친핵성 치환 반응을 통하여 적당량의 황(S)과 질소(N)가 함유된
화합물 3, 4, 5를 성공적으로 합성하였다. 4-Ball 마모시험기를 통한 마모흔(WSD) 비교를 통하여
이들의 마찰저감 효능을 기존 상업제품들과 비교하였는데, 동등 이상의 결과를 보여주었다. SEM-EDX와 XPS을 통한 마모흔의 표면분석 결과는
황(S) 원소가 내마모 특성에
결정적으로 관여하고 있음을 확인할 수 있었다. 결과적으로 윤활유 첨가제에 널리 쓰이고 있는 HRPB 기본 구조에 마찰저감 효과를 기대할 수 있도록
황(S)과 질소(N)가 포함된 싸이아다이아졸기를 도입한 새로운 화합물을 얻었고 이들이 내마모제로서의 사용 가능성이 크다는 것을 보여주었다.
This Article2020; 44(2): 132-138
Published online Mar 25, 2020
Services
Correspondence toDepartment of Chemistry, Chungnam National University, Daejeon 34134, Korea
**Department of Chemistry, Sunchon National University, Suncheon, Jeollanam-do 57922, Korea