
*School of
Materials Science and Engineering, Dalian Jiaotong University, 116028, Dalian,
People’s Republic of China
**School of
Environmental and Chemical Engineering, Dalian Jiaotong University, 116028,
Dalian, People’s Republic of China
A novel pyridine-containing
aromatic diamine monomer, 2,2′-bis[4-(6-amino-3-pyridinoxy) phenyl]
propane, was synthesized through nucleophilic substitution reaction. A series
of polyimides (PIs) were obtained by the polycondensation reaction of
synthesized monomer with four commercial dianhydrides. The structure and properties
of the resulting PIs were characterized by Fourier transform infrared
spectroscopy, differential scanning calorimetric analysis, dynamic mechanical
thermal analysis, thermogravimetric analysis, and X-ray diffraction. The PIs
exhibited good thermal stability with glass transition temperature of 231 to
303 oC by DSC and 205 to 274 oC by DMA. The
temperature at 5% weight loss was 478 to 501 oC in nitrogen
atmosphere, and the residual mass range at 800 oC was 42-55%.
The excellent mechanical properties included tensile strength of 98-102 MPa,
elongation at break of 6-18%, and tensile modulus of 2.8-3.0 GPa. The
cut-off wavelength ranged from 391-440 nm, indicating that the resulting PIs
had desirable optical performance.
A novel pyridine-containing aromatic diamine monomer, 2,2′-bis[4-(6-amino-3-pyridinoxy) phenyl] propane, was synthesized through nucleophilic substitution reaction. A series of polyimides were obtained by the polycondensation reaction of synthesized monomer with four commercial dianhydrides. The PIs exhibited good thermal stability, excellent mechanical properties, and desirable optical performance.

Keywords: polyimides, pyridine heterocyclic ring, synthesis, structure and properties
This research was supported by the Doctoral Research Fund of Liaoning
Province, China (no.20180540103).
Polyimide (PI) is divided into four types of pyromellitic PI, soluble PI,
polyamide imide, and polyether imide, which are a class of polymers containing
imide rings on the molecular main chain through the reaction of dianhydride and
diamine.1-5 Due to its five-membered ring structure, PI has several
excellent properties, such as high modulus, great strength, excellent thermal
stability, and flame retardancy. It has been widely used in the fields of
aerospace, electrical and electronic, glass, locomotive, precision machinery,
and automatic office machinery.6-10 More and more
people have fully realized the wide application prospect of PI.
However, owing to the rigid backbones and the strong intermolecular
interactions of the aromatic PIs,11,12 high melting or glass
transition temperatures, low optical transmittance, and poor solubility were
observed, greatly restricting their applications in some fields.13-16
Therefore, many researchers have made considerable efforts and contributions;
for example, flexible linkages, non-coplanar structures, and heterocycle units
are usually introduced into the polymer backbones to enhance the thermal
properties, optical transparency, solubility, and so on.17-21
In this paper, a series of novel PIs based on pyridine were designed and
synthesized. The introduction of pyridine into the main chain of PI has many
advantages. Pyridine ring structure has aromaticity and symmetry, revealing
excellent heat resistance and good mechanical properties.22,23 The
structure of pyridine ring can significantly increase the orientation
force between PI and solvent.24 At the same time, the polarity of N
atoms in pyridine ring is larger; hence, it could correspondingly increase the
polarity of PI, enhance the solubility of polymer in polar organic solvent, and
improve the chemical resistance. Compared with the benzene ring structure, the
mole refraction of the C–N=C bond in the pyridine ring structure is higher.25,26
Therefore, the introduction of pyridine ring in the PI molecular skeleton can
effectively raise the refraction and optical transmittance, as well as greatly
improve the color depth and bad transmittance of PI materials.27-30
It is of particular significance to design and synthesize new monomers
containing pyridine and to incorporate new monomers into PI backbones while
maintaining the desirable properties.
In this study, on the basis of previous work,31 a novel
pyridine-containing diamine, 2,2′-bis[4-(6-amino-3-pyridinoxy) phenyl]
propane (b), was prepared and characterized. A series of new PIs were
successfully obtained with the reaction of monomer (b) and commercial
dianhydrides through a traditional two-step procedure. The structural, thermal,
mechanical, optical, and solubility properties of the resulting PIs were
researched in detail. The resulting PIs derived from pyridine had a good
combination of performances, such as higher tensile strength, better
interesting optical property, which suggested promising potential applications
in the optoelectronic devices and sensor applications fields.
Materials. 5-Bromo-2-nitropyridine
and bisphenol A (BPA) (Acros, Belgium) were of analytical grade and used
without further purification. BPA was obtained from Acros in Shanghai. Pyromellitic
dianhydride (PMDA), 3,3′,4,4′-benzophenonetetracarboxylic dianhydride (BTDA), 3,3′,3,4′-biphenyltetracarboxylic dianhydride (s-BPDA), and 4,4′-(hexafluoro-isopropylidene)diphthalic
anhydride (6FDA) were supplied by Sinopharm Chemical Reagent Beijing Co. Ltd. These aromatic dianhydrides
were all recrystallized from acetic anhydride and then dried at 150 ℃ in vacuum for 10 h before using. Potassium
carbonate (Acros), 80% hydrazine monohydrate (Acros), and 10% palladium on
charcoal (Pd/C) (Acros) were used as received. Toluene and N,N-dimethylacetamide
(DMAc) were purified by vacuum distillation over CaH2 and stored
over 4 Å molecular sieves before using. The other
commercially available reagents and solvents were applied directly without further purification.
Characterization. Nuclear
magnetic resonance (NMR) was adopted to characterize the
synthesized precursor and monomer, and a series of PIs were
characterized by Fourier transform infrared spectroscopy
(FTIR), differential scanning calorimetric (DSC)
analysis, dynamic mechanical thermal analysis (DMA), thermogravimetric analysis
(TGA), ultraviolet–visible (UV-Vis) spectroscopy, X-ray diffraction (XRD), gel
permeation chromatography (GPC), and so on. 1H and 13C
NMR spectra were recorded on a BRUKER-300 spectrometer (Germany) operating at 300 and 75 MHz, respectively. FTIR spectroscopy was
performed using a Bruker Vector 22 spectrometer (Germany) at a resolution of 4 cm-1 in the range of 400-4000 cm-1 for
128 scanning times. The powder samples were measured after KBr pressing, and
the film samples were directly tested. Weight average molecular weights (Mw)
and number-average molecular weights (Mn) were determined on
the basis of polystyrene calibration on a PL-GPC 220 instrument (USA) at a flow
rate of 1.0 mL/min as an eluen for DMF. Inherent viscosities (hinh) of PIs were obtained at a 0.5 g/dL of DMAc
solution concentration with an Ubbelohde viscometer at 25 ℃. DSC analysis was conducted on a TA instrument DSC Q100 at a scanning
rate of 10 ℃ min under N2 flow of 50 mL/min. The glass transition temperature of the
polymer was tested two times, the thermal history was eliminated for the first
time, and the second test data were adopted. DMA was conducted on a TA
instrument DMA Q800 (USA) at a heating rate of 5 ℃/min
and a load frequency of 1 Hz in film tension geometry under nitrogen
atmosphere. TGA was conducted with a TA-2050 (USA) at a
heating rate of 10 ℃/min under nitrogen atmosphere. The UV-vis spectra of PI
films were recorded with a Shimadzu UV-Vis 2501 spectrometer (Japan) in transmittance
mode at room temperature. The cut-off wavelength (lcut-off) was used as the parameter to
evaluate the transparency of the films. XRD (D/MAX 2500 H; Rigaku Co. Japan)
was used for measuring the morphology of PI thin films. Copper Ka (l=1.54 Å) radiation was operated and filtered using a monochromator. An
X-ray generator was run at 40 kV and 50 mA.
In addition, the mechanical properties of the
synthesized PI films were tested using an AG-I universal testing apparatus
(Shimadzu, Japan) with a tensile rate of 5 mm/min. The films were tested at
room temperature (thickness of approximately 30 µm,
width of 3 mm, and length of 6 cm),
and the tensile strength (TS), tensile modulus (TM), and elongation at break (EB) were calculated by the experimental subsidiary computer. Solubility
test was performed, that is, to place 10 mg PI in 1 mL solvent at room temperature for 24 h, and then to observe its dissolution state. Selected solvent included N,N-dimethylformamide
(DMF), DMAc, N-methyl-2-pyrrolidone (NMP), dimethyl sulphoxide
(DMSO), tetrahydrofuran (THF), chloroform, and
acetic acid.
Monomer
Synthesis. 2,2′-Bis[4-(6-nitro-3-pyridinoxy) phenyl] Propane (a): Under the
protection of nitrogen, a mixture of 5-bromo-2-nitropyridine (13.40 g, 66 mmol) and BPA (6.85 g, 30 mmol) were added into a 250 mL flask fitted
with a mechanical stirrer, thermometer, and reflux condenser. Then potassium
carbonate (9.12 g, 66 mmol) and 60 mL of DMF were
added to the reaction bottle. After stirring for 30 min at room temperature,
the mixture was dissolved, heated to 80 ℃, and continuously stirred for 6
h. After cooling the mixture to room temperature, the mixture was poured into 500 mL of deionized water, and the solid product was precipitated.
After filtering, the product was collected and washed with the
deionized water. The obtained crude product was dried in vacuum at
80 ℃ for 10 h. The crude product was recrystallized and
purified with DMF/ethanol, and the yellow solid product was obtained and marked as (a). The yield of the product was 85%, and
the melting point was 156.8 ℃ (DSC peak at a heating
rate of 10 ℃/min under N2). 1H NMR (DMSO-d6,
ppm) -9.04 (dd, 1H), 8.61 (dd, 1H), 7.37 (m, H), 7.24 (dd, 1H), 7.16 (m, H), 1.72 (s, 3H).31
2,2′-Bis[4-(6-amino-3-pyridinoxy)phenyl]
Propane (b): Under nitrogen
protection, 2,2′-bis[4-(6-nitro-3-pyridinoxy) phenyl] propane (a, 9.45 g, 20.0 mmol), 1.0 g of palladium on activated carbon (Pd/C
10%), and 150 mL of anhydrous dioxane were added in a 250 mL reaction bottle with a mechanical stirrer, thermometer, and reflux
condenser. The mixing solution was heated to the reflux temperature, dripping
12.5 g (200 mmol) of hydrazine hydrate
(80%) within 1 h, and maintaining the reflux temperature to react for 8 h. Then heat filtration was performed to remove the Pd/C. Most of the
organic solvents were removed by redistilling filtrate. The filtrate was poured
into 500 mL of deionized water, and the solid product was precipitated. After filtration, the resulting precipitate was collected and dried at 60 ℃ overnight under vacuum. After
filtration again, the filter cake was washed with deionized water and dried in
vacuum. The crude product was recrystallized and purified
with ethanol/water, and the yellow solid product was obtained. The yield of the
product was 90%, and the melting point was 175.8 ℃ (DSC peak at a heating rate of 10 ℃/min
under N2). 1H NMR (DMSO-d6, ppm) -7.55
(m, 1H), 7.19 (m, H), 7.09 (m, 1H), 6.86 (m, H), 6.75 (m, 1H), 5.09 (s, 2H),
1.60 (m, 3H); 13C NMR (DMSO-d6, ppm) -153.9,
153.5, 144.7, 141.8, 132.3, 127.4, 125.3, 118.3, 112.7, 41.5, 30.6.31
Scheme 1 shows the reaction formula for
the preparation of the monomers.
Scheme 1. Preparation of the monomer.
Polymer
Synthesis. PIs were synthesized by polycondensation
reaction. DMAc was used as solvent, and the resulting 2,2′-bis[4-(6-amino-3-pyridinoxy) phenyl] propane (b) reacted with aromatic dianhydride PMDA, BTDA, s-BPDA, and 6FDA. Polyamic acid (PAA) precursors were
obtained. Next, thermal imidization was carried out at high
temperature. Finally, a series of PIs were obtained and labeled as PI-1, PI-2, PI-3, and PI-4.
Taking PI-1 as an example, a typical polymerization procedure was as
follows. 2,2′-Bis[4-(6-amino-3-pyridinoxy) phenyl] propane (b) (2.00 g, 4.8 mmol) and 10.0 g of DMAc were added to a 50 mL flask and stirred
constantly to dissolve completely. Then PMDA (1.0470 g, 4.8 mmol) was added to the above mixture in two batches. In addition, extra
7.1 g of DMAc were added to the
solution to maintain 15% solid content of the system. The above reaction
solution was stirred at room temperature for 24 h to obtain a
viscous PAA solution.
On a flat and clean glass board, the PAA solution was coated with a
scraper. Then the glass plate was placed in an oven and was predried to remove
the solvent according to the following heating program: 80 ℃/3 h,
100 ℃/1 h, and 120 ℃/0.5 h. After cooling to room
temperature, the glass plate was placed into the vacuum oven, and the thermal
imidization process was carried out according to the following heating program:
200 ℃/0.5 h, 250 ℃/0.5 h, and 300 ℃/1 h. After the thermal
imidization process, the film was immersed in deionized water. After a period
of time, the film naturally separated from the glass plate, and then was dried under 110 ℃ for 3 h.
PI-2, PI-3, and PI-4 were synthesized by the above
same method. The related synthesis process is shown in Scheme 2. In addition, PI-6 in previous work31 was abbreviated as
Ref-PI in this paper, that is, a polymer synthesized from (b) and ODPA. In
particular, the polymer data of Ref-PI mentioned in the following sections were
cited from reference 31. Therefore, the properties of the polymers synthesized
from five commercial dianhydrides were discussed systematically in this paper.
Scheme 2. Preparation of the PIs.
Monomer
Synthesis. The melting point of the precursor and monomer was
measured by DSC method. Thus, the melting point of 2,2′-bis[4-(6-nitro-3-pyridinoxy)phenyl]
propane (a) and 2,2′-bis[4-(6-amino-3-pyridinoxy)phenyl] propane (b)
were 156.8 and 175.8 ℃, respectively, which agreed with reported values.31
This result indicated that the different substituents on the benzene ring can
directly affect the melting point of monomer; the melting point of monomer is
higher than that of –NO2 when the substituent is –NH2.
The 1H NMR and 13C NMR
spectra were obtained. The molecular structures and NMR spectra of (a) and (b)
were found in Figure 1. From the figures, the peak marked as 1 was the peak of
the methyl proton on propane; the peaks marked 2 and 3 were the submethyl
proton peaks on different substitutions of benzene ring; and the peaks marked
4, 5, and 6 were the submethyl proton peaks on the different substitutions of
the pyridine ring. In 13C NMR spectra, the carbon 13 atoms in
monomer (b) showed 11 signals, which resonated in the regions of 31-155 ppm and all the spectroscopic data obtained agreed with the expected
structures.
By analyzing the monomers and comparing the two 1H NMR spectra
of (a) and (b), the single absorption peak of the H atom on –NH2
marked in the (b) spectrum was found to be δ5.09, which proved that –NO2
in (a) was completely reduced to generate –NH2. This finding further
confirmed the process from (a) to (b) reduction.
Synthesis
of PIs. The diamine monomer (b) was reacted with four kinds of commercially available aromatic dianhydrides, PMDA, BTDA,
s-BPDA, and 6FDA, to give the corresponding PIs, as shown in Scheme 2. Two-step thermal imidization method was adopted to synthesize the
PIs, which was performed through PAA intermediate.
Equimolar amounts of diamine monomer with aromatic dianhydrides were used, and
polymerization was carried out with a 15 % solid
concentration in DMAc at room temperature for 2–24 h to yield PAA
precursors, e.g. PMDA for 24 h, BTDA for 24 h, s-BPDA for
10 h, and 6FDA for 2 h. Tough and flexible PI films
were obtained by casting the PAA solutions on the glass plate followed by
thermal curing process at 300 ℃.
As listed in Table 1, the inherent viscosities of PIs were 0.22-0.82 dL/g in DMAc at 25 ℃, suggesting that the polymers had relatively high molecular
weights. Moreover, gel permeation chromatography (GPC) measurements also further
established these results. Mw and polydispersities (Mw/Mn)
were in the range of 7989-47349
and 1.60-1.72, respectively.
Figure 2 presents the vertically offset FTIR spectra of PIs
containing pyridine heterocyclic rings derived from 2,2′-bis[4-(6-amino-3-pyridinoxy) phenyl] propane. FTIR spectra are used to estimate whether the
synthesized product is completely acylated and whether the resulting product is
PI.32
The figure clearly exhibits that no characteristic absorption peaks of
hydrogen (N–H) and amide (–CO–N–H) were present on the amino group in the
region of 3100–3500 cm−1 (belonging to
N–H stretching vibration). Among them, at 1781 cm−1 (belonging
to asymmetric C=O stretching vibration peak), 1728 cm−1
(belonging to symmetrical C=O stretching vibration peak), 1387 cm−1
(belonging to C–N stretching vibration peak), and 1200–1100 cm−1 range (belonging to C–O stretching vibration peak),
strong absorption peaks were observed, displaying obvious characteristic
absorption peaks of the imide group.33 In a word, through
FTIR spectra, the polymer was confirmed to have been completely amidated, and
the synthesized product was PI.
Thermal
Properties of the PIs. The
thermal properties of PIs were determined by DSC, DMA, and TGA; and the results
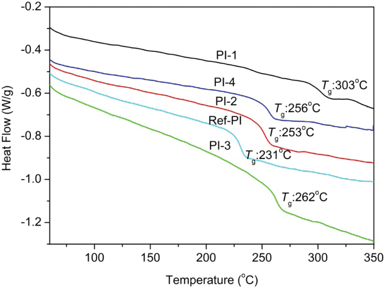
are listed in Table 2. The glass transition temperature (Tg) of PIs detected by DSC (as in vertically offset
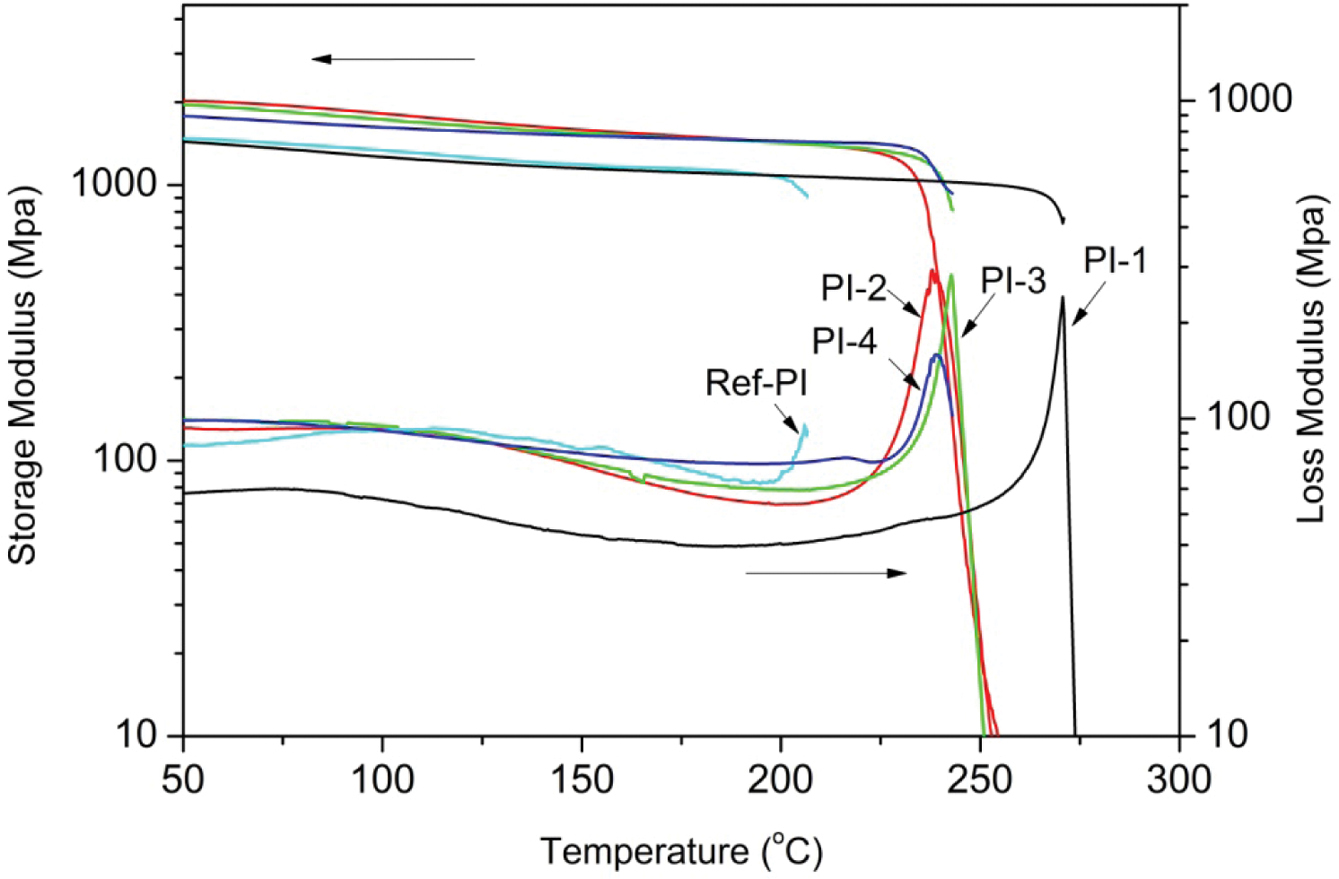
Figure 3) is distributed between 231 and 303 ℃, and the Tg of PI (Figure 4) detected by DMA is distributed between 205 and 274 ℃. The Tg variation tendency of the
PIs obtained by two methods is exactly the same. In DMA analysis, Tg is the peak temperature of the loss modulus (E'') curve. The Tg values obtained by DSC and DMA are slightly
different mainly because of the different responses of the two instruments for
the samples.34 In general, the Tg of polymers was decided by the accumulation of
molecular chains and the stiffness of the polymer backbone. Furthermore, in comparsion of Tg
in reference 34 (There was no N atom on the benzene ring),35 Tg in this study was basically the same as that in reference 34, which implied that the introduction of N atoms on pyridine ring has not decreased the thermal stability of
polymers, while maintaining a certain rigidity.
The main chain of PI-1 (b/PMDA) polymer has the
highest rigidity, showing the highest Tg; however, the PI-2 synthesized by (b) and BTDA
has the lowest Tg. As a result, PMDA-based PI-1 with the most rigid polymer backbone
exhibited the highest Tg, whereas PI-2 derived from BTDA
possessed the lowest Tg owing to its more flexible polymer
chain structure than that of PI-1, PI-3 and PI-4. Moreover, the figure shows
that the PI-3 synthesized by b/s-BPDA exhibited higher Tg than the PI-2 synthesized by b/BTDA. The former
was 262 ℃ and the latter was 253 ℃. The PI-4 synthesized by b/6FDA also had a slighter higher Tg than PI-2. which was derived from the -CF3
structures in the backbone inhibited the free rotation of the polymer main
chain.36
In addition, the energy storage and loss modulus curves of the polymers
tested by DMA are displayed in Figure 4. The storage moduli of all polymers
were slightly lower or basically unchanged before the glass temperature,
implying that the polymers had good mechanical properties.
In nitrogen atmosphere, the thermal stability of
PI was evaluated by TGA. Figure 5 shows the thermogravimetric curves of the
five synthesized PIs. The 5% and 10% thermogravimetric temperature (T5%
and T10%, respectively) of PIs and the residual mass at 800
℃ in nitrogen atmosphere are listed in Table 2. The T5%
range of the synthesized PIs was 478 to 501 ℃, and the residual mass was 42–55%. The order of T5% was s-BPDA = 6FDA>
BTDA> PMDA> ODPA, and the trend of T10% was in the same order as that of T5%.
In addition, PI-1 (b/PMDA) and Ref-PI (b/ODPA) showed the highest residual mass
(55%), which was mainly attributed to the high carbon content in the polymer
molecular structures.
In summary, the thermal properties implicated that the obtained PIs had
good thermal stability.
Mechanical
Properties of the PIs. Four PIs can be
prepared into high-quality PI films except for PI-1 synthesized from b/PMDA.
Thus, mechanical properties, including tensile strength, tensile modulus, and
elongation at break, were tested as shown in Table 3. The results displayed
that tensile strength was 98–102 MPa, the elongation at break was 20%–36%, and
the tensile modulus was 2.8–3.0 GPa, which revealed that the synthesized PIs
possessed excellent mechanical properties.37
The tensile strength of PI was the same as the rigidity order of
dianhydride, that is, s-BPDA >6FDA >BTDA >ODPA. It should be noted
that compared with previous work,31 the mechanical properties of PIs
synthesized by 5-bromo-2-nitropyridine and BPA were significantly higher than
those synthesized by 2-chloro-5-nitropyridine and BPA, which was mainly due to
the different N atom positions on the pyridine ring. The substituent position
of the nitrogen atom on the pyridine ring directly affected the mechanical properties
of the prepared PIs. The above results indicated that the PI containing
pyridine ring on the main chain kept the outstanding mechanical properties of
the original polymer.
Optical
Properties and XRD of the PIs. The
optical properties of the synthesized PIs were investigated using a UV-vis
spectrometer, and the PI films were directly measured by transmission mode. The
thickness of the tested PI film was approximately 30 µm, and the UV visible spectra are shown in Figure 6. The optical performance test data are listed in
Table 4. The cut-off wavelength (λcut-off) was the intersection point value of the tangent line of a curve in the
UV visible spectrum, and that for the synthesized PI was 392–440 nm.
From Table 4, in the same case of two amines, the
λcut-off and optical transmittance of Ref-PI (b/ODPA) were close to those of
PI-4 (b/6FDA), followed by PI-3 (b/s-BPDA), PI-2 (b/BTDA), and PI-1 (b/PMDA).
This finding was due to the fact that the –CF3 group in PI-4 could
inhibit the formation of charge transfer complex. At the same time, the low
molar polarizability of the C–F bond in the –CF3 group weakened the
adhesive force between the main chain of the polymer, thereby leading to PI-4
with a lower λcut-off and
higher optical transmittance than the PIs derived from other anhydrides.
The crystalline form of the synthesized PI was
analyzed using a wide-angle X-ray diffractometer with a scanning 2θ angle range of 5° to 50°, and the film was used as a sample, as shown
in vertically offset Figure 7. The XRD curves of all PI films appeared a wide
range of diffraction peaks, which fully illustrated the amorphous structure of
PIs. The formation of this structure was mainly attributed to the loosening of
the accumulation on PI chains by the introduction of the flexible ether bonds
and methyl-substituted pyridine, while the introduction of pyridine
heterocyclic rings caused the distortion of the polymer skeleton and weakened
the orderliness of the polymer chains.
Solubility
of the PIs. Solubility of PIs
is listed in Table 5. It could be seen that all PIs were soluble in polar
solvent such as DMF, DMAc, NMP, DMSO, and chloroform. Pyridine ring nitrogen
atom and –C(CH3)2– structures were introduced into the
backbone of PIs, which could greatly increase the solubility. In addition, PI-4
(b/6FDA) exhibited better solubility in DMF and DMAc, which attributed to the
introduction of the hexafluoroisopropylidene groups –C(CF3)2–,
and the groups could enhanced the chain flexibility and the affinity of the
polymers.38
|
Figure 1 (A) 1H NMR spectra; (B) 13C NMR spectra of monomers. |
|
Figure 2 FTIR spectra of the PIs. |
|
Figure 3 DSC curves of PI films. |
|
Figure 4 DMA curves of PI films. |
|
Figure 5 TGA curves of PI films. |
|
Figure 6 UV-vis spectra of PI films. |
|
Figure 7 Wide-angle XRD patterns of PI films. |
|
Table 2 Physical and Thermal Properties of the PI films |
Tg: glass transition
temperature; T5%: 5% weight loss temperature; T10%:
10% weight loss temperature; Rw: residual weight retention. aObtained at the baseline shift
in the second heating DSC traces at a heating rate of 10 oCmin−1 under N2 atmosphere. bObtained at a heating rate of 5 oCmin−1 and a load frequency of 1 Hz in film tension
geometry. cObtained by TGA at a heating
rate of 10 oCmin−1 under N2
atmosphere. dObtained at 800 oC
by TGA at a heating rate of 10 oCmin−1 under N2 atmosphere. |
|
Table 3 Mechanical Properties of PI Films |
aTensile strength. bTensile modulus. cElongation at break. |
|
Table 4 Optical Properties of PI Films |
aCut-off wavelength. bTransmittance,
at 450 nm. |
|
Table 5 Solubility of PIs in Organic Solventsa |
++: soluble at room temperature, +–: partial soluble, ––: insoluble. |
In this paper, 2-bromo-5-nitropyridine and BPA
were used as raw materials to prepare 2,2’-bis[4-(6-amino-3-pyridinoxy) phenyl] propane under certain conditions, demonstrating polycondensation
reaction with aromatic dianhydrides, including PMDA, BTDA, s-BPDA, and 6FDA.
After thermal imidization a series of PIs were obtained. The glass transition
temperature of PIs tested by DSC was distributed at 231 to 303 ℃; PI-1 (b/PMDA) polymer main chain has the highest rigidity, showing the
highest Tg. The PI films possessed
good mechanical properties, tensile strength of 98–102 MPa,
elongation at break of 20%–36 %, and tensile modulus of 2.8–3.0 GPa. The
optical performance test indicated that the cut-off wavelength was in the range
of 391–440 nm. PI-4 (b/6FDA) had a lower cutoff wavelength and a higher optical
transmittance than other dianhydrides. The resulting PIs displayed great
solubility. On the whole, the obtained series of PIs could
be applied for high-performance materials with good properties.
This Article2020; 44(2): 154-162
Published online Mar 25, 2020
ServicesIntroduction
Experimental
Results and
Discussion
Conclusions
Correspondence to*School of Materials Science and Engineering, Dalian Jiaotong University, 116028, Dalian, People’s Republic of China
**School of Environmental and Chemical Engineering, Dalian Jiaotong University, 116028, Dalian, People’s Republic of China