
Bo Kyoung Jung*,**, Geon Wook Park*, Jae-Keun Yu*, Hyo Jun Kim*, Dong Gun Kim*, Minguen Kim**, and Kyu Hyun**,† 
*Korea
Institute of Footwear & Leather Technology, Busan 47154, Korea
**School of
Chemical and Biomolecular Engineering, Pusan National University, Busan 46241,
Korea
*한국신발피혁연구원, **부산대학교 화공생명공학부
Ethylene vinyl acetate (EVA)
foams were used to measure the change in compression set with test temperature
variations. In particular, the compression set is expected to increase as the
temperature increases. However, for practical studies, diameter shrinkage
occurs at high temperatures, and the compression set decreases. It is because
the existing compression set only reflects the height change due to compression,
and the current compression set has difficulty in explaining the compression
set at high temperature with diameter shrinkage. In this study, the concept of
volume compression set reflecting both diameter and height was introduced. The
new volume compression set explained very well the compression behavior of EVA
foams at high temperatures. In addition, the concept of volume compression set
is expected to help set the standard for judging the heat resistance and
durability of foams at elevated temperatures.
Ethylene vinyl acetate(EVA) 발포체를 이용하여 시험 온도 변화에 따른 영구 압축률 변화를 측정하였다. 특히 온도가 증가하면 영구 압축률 역시 증가할 것으로 예상되었으나, 실제
연구의 경우 고온에서는 지름 수축이 함께 일어나며 오히려 감소하는 경향이 나타났다. 이는 기존의 영구
압축률이 압축으로 인한 두께 변화만 반영하기 때문이며, 기존의 영구 압축률로는 지름 수축을 동반하는
고온에서의 영구 압축률을 설명하기에 어려움이 존재한다. 본 연구에서는 지름과 두께를 모두 반영하는 부피
영구 압축률의 개념을 새롭게 도입하여, 고온에서 설명하기 어려웠던 영구 압축률의 경향성을 부피 영구
압축률을 통해 설명하였다. 나아가 부피 영구 압축률의 개념이 고온에서 발포체의 내열성과 내구성을 판단하는
기준을 세우는 데 도움이 될 것으로 기대한다.
In this study, the concept of volume compression
set (VCS) reflecting both diameter and height was introduced. The new VCS
explained very well the compression behavior of EVA foams at high temperatures.

Keywords: ethylene vinyl acetate, foam, compression set, VA content
플라스틱이 발포 과정을
통해 발포체가 되면 단열, 흡음, 부력, 탄력, 경량 등 새로운 성질을 얻게 된다. 이러한 플라스틱 발포는 polystyrene(PS),
polyurethane(PU), polyethylene (PE), acrylonitrile butadiene styrene(ABS)
resin, epoxy resin 등 다양한 종류에 적용되고 있다.1,2 Ethylene vinyl acetate (EVA)는
우수한 유연성과 뛰어난 상용성으로 인해 가교 및 발포가 용이하다는 장점이 있어 신발, 바닥 매트, 완충 포장재 등 다양한 분야에서 발포체의 형태로
사용되고 있으며, 이에 대한 다양한 연구와 개발이 지속적으로 이루어지고 있다.2-8
EVA 발포체를 형성하는
과정에서 발포제(blowing agent)만 사용되는 경우에 발생하는 기체는 원료 수지 밖으로 유출되게 되며, 제대로 된 발포체를 형성하지 못한다.
특히 EVA와 같은 반결정성 고분자(semi-crystalline polymer)는 용융 온도(melting temperature, Tm)
부근에서 점탄성의 변화가 급격하게 일어나 발포체를 형성하기 어렵다. 따라서 대부분의 발포 공정에서는 발포제와 가교제(crosslinking
agent)를 함께 사용하여 발포체를 형성하게 된다. 가교제 분해로 인해 EVA가 점탄성을 얻게 된 후 발포제가 분해하여 기포를 형성하게 된다.9,10 EVA 가교는 주로 과산화물에 의한 라디칼 반응에 의해
진행되며, 공가교제(보조 가교제)를 함께 사용하기도 한다.11-13
이렇게 만들어진 발포체의
물성을 판단하는 주요 시험법은 인장 강도, 인열 강도, 영구 압축률(compression set, CS) 등이 있다. 영구 압축률은 변형에 관한
시험으로 발포체의 내구성을 판단할 수 있는 중요한 요소가 된다. 영구 압축률에는 가교 밀도, 발포 배율, 원료 수지의 열적 특성, 시험 온도 등
다양한 인자가 복합적으로 작용한다. 일반적인 경우 시험 온도가 증가하면 발포체는 변형이 일어나기 쉽고, 이로 인해 영구 압축률은 증가하는 경향이
나타난다고 알려져 있다. 하지만, 일반적으로 알려져 있을 뿐, 실제 이에 대해 구체적으로 다룬 자료나 논문 등은 쉽게 찾을 수가 없다.
따라서 본 연구에서는
시험 온도에 따른 영구 압축률의 경향을 확인하고, Tm이 다른 두 종류의 EVA를 사용하여 영구 압축률의 경향에
Tm이 어떤 영향을 주는지 확인하고자 하였다. 그리고 기존에 알려진 압축률의 경우 시편의 두께만으로 계산된다.
하지만, 압축이 있는 경우 시편의 두께 이외에 밑면의 면적도 변하기 때문에, 시편의 부피를 이용하여 압축률 (volume compression
set, VCS)을 계산하는 것이 더욱 정확하다. 따라서 본 연구에서 부피를 이용한 새로운 압축률을 제시하고 이를 이용하여 EVA 발포체에 대해서
연구를 진행하였다.
또한 EVA 발포체의
높은 영구 압축률을 개선하는 방법 중 하나로 우수한 탄성과 기계적 특성을 갖는 천연 고무(natural
rubber, NR)와 블렌드하여 EVA/NR 발포체를 만들어 사용하는데, 다양한 NR 함량에 따라 제조한
EVA/NR 발포체에 부피 영구 압축률(VCS)의 개념을 적용하여 그 경향을 확인하였다.
시약 및 재료. 본 실험에서는 EVA는 VA 함량 19 w%의 한화 EVA 1316(Tm=85 oC)과 VA 함량 28 w%의 한화 EVA 1328(Tm=71 oC)을 사용하였다. 가교제와 발포제로는 과산화물(peroxide)계 가교제 dicumyl
peroxide(DCP)와 azo계 화학 발포제인 금양사의 JTR을 사용하였다. 이외에 산화아연(ZnO), 스테아린 산(stearic
acid, St/a), TAC를 첨가제로 사용하였다.
발포체의 제조. Table 1에 나타낸 조성에 따라 재료를 준비하고
EVA를 벤치 니더(bench kneader, Daesung scientific, PBV-03)에 투입하여 90 oC, 4분간 혼련하였다. 이에 ZnO, St/a를 투입하여 2분간 1차 혼련한 후, DCP, TAC를 투입하여
4분 간 2차 혼련을 진행하였다. 이를 90oC로 설정된 6인치
롤 밀(roll mill, Daejung roll mill)로 이동시켜 JTR을 투입하여 5분간 혼련하였다. 혼련이 완료된 컴파운드는 상온에서
식힌 뒤 85 g을 금형에 넣고 프레스를 이용하여 170 oC, 100 bar로 12분간 압축 가열한 후 금형을 열어 발포된 발포체를 제조하였다.
시험. 컴파운드의 유변학적 특성을 가류 시험기(flat
die rheometer(FDR), Ueshima, VR-3110)를 통해 측정하였다. 이때 나타난 토크와 압력 수치를 바탕으로 가교와 발포의
균형을 확인하고, 이를 토대로 프레스 시간을 설정하였으며 ISO 6502에 준하여 사용하였다.
영구 압축률(CS) 시험은
50% 압축으로 진행하였다. 압축 판 위에 시험편을 위치한 후, 해당하는 두께의 스페이서를 압축 판 사이에 끼우고, 상하의 압축판이 스페이서에
밀착할 때까지 수직으로 압력을 가하고 너트를 조여 고정시켰다.
이를 50,
60, 70, 80, 90 oC의 오븐에서 6시간 가열 압축한 후, 압축 장치에서 꺼내 실온 중에서 30분간 자연 냉각하였다. 결과값은
KS M 6518에 따라 계산하였다.
인장 강도와 인열
강도는 발포체를 박피하고, KS M 6518에 각각 아령형과 갈매기형의 시편을 만들어 만능 시험기(universal testing
machine(UTM), 한국신강정밀, SGU-IMO)를 이용하여 200 mm/min의 속도로 측정하였다.
열적 특성은
-90 oC부터 200 oC의 온도 범위에
대해 분당 10 oC로 시차 주사열량계(differential scanning calorimeter (DSC), TA Instruments, Q20)를 사용하여
측정하였다.
발포체의 온도에 따른
유변물성을 회전식 레오미터 (rotational rheometer, TA Instruments, ARES-G2)를 이용하여 측정하였다. 이때 토션바(torsion
bar) 형태의 지오미터리(geometry)를 사용하였으며, 선형점탄성 영역에 해당하는 변형률(strain amplitude) 1%, 진동수(frequency)
1 rad/s의 조건에서 온도를 50 oC에서 100 oC까지 상승시키며
2 oC 간격으로 측정하였다.
FDR을 이용해
170oC에서 20분간 EVA 컴파운드의 토크와 압력을 측정하였다.
그 결과 Figure 1을 통해 확인할 수 있는 것처럼 EVA1의 최대 토크가 EVA2의 최대 토크보다 높게 나타난 것을 확인할 수 있었다.
일반적으로 점도가
비슷한 경우 가교 밀도가 높으면 토크도 높게 나타난다. 더 정확한 비교를 위해 ASTM D2765-68에 따라 젤 함량(gel content)을
측정하였다. 그 결과 EVA1의 젤 함량은 70.6%, EVA2의 젤 함량은 61.8%로 측정되었다. EVA1의 젤 함량이 더 높게 나타났다.
따라서 EVA2에 비해 EVA1의 가교 밀도가 높다는 것을 확인하였다.
EVA의 DCP 가교에서 이론적으로는 Figure 2와 같이
ethylene 부분과 vinyl acetate(VA) 부분 모두 라디칼이 만들어지고 가교에 참여하지만, 실제로는 ethylene 부분에서 더
많은 반응이 발생한다. 따라서 VA 함량이 낮아 더 많은 ethylene 부분을 가지는 EVA1의 가교 밀도가 더 높게 나타난 것이다.
영구 압축률을 계산하는
식은 식 (1)과 같으며,
이때 CS (compression set)는 영구 압축률[%]을 의미하며 ti는 시험편 초기 두께[mm], ts는
스페이서 두께[mm], tf는 시험편 최종 두께[mm]를 의미한다.

EVA 발포체의
CS는 Figure 3에 도시하였다. 시험 온도가 50, 60, 70 oC로 증가함에 따라
증가하던 CS는 80 oC부터 감소하는 추세를 보였으며, 80 oC에서 EVA1과 EVA2의 CS가 역전되어 나타났다. 이때 시험편은 압축에 의한 두께 감소 외에도 지름(시편이
원기둥 모양) 수축이 동반되어 나타났다. 기존의 CS는 두께 변화만 반영하는 수치이며, 지름 수축에 의한 변형을 반영하지 못했기 때문에
Figure 3과 같이 온도 증가에도 불구하고 CS가 감소하는 경향이 나타난 것으로 보인다.
일반적으로 발포체의
CS를 측정하는 50, 60 oC에서는 온도가 낮아서 지름 수축이 거의 발생하지 않아 기존의 CS에 의한 측정이 큰 문제가 없었다. 하지만,
실제 공정에서는 Tm 근처인 80 oC 이상의 온도에서 압축이
발생하는 경우도 존재한다. 따라서 높은 온도에서의 CS를 설명하기 위해서는 압축률을 새롭게 정의할 필요가 있다.
따라서 본 연구에서는 지름 수축을 포함하는 부피 영구 압축률(volume compression set, VCS)의 개념을 도입하였다(식 (2)).

단, 스페이서는 두께만
조절하므로 rs=ri라고 하였다. 이때 VCS는 부피 영구 압축률[%], ri는
시험편 초기 지름[mm], ti는 시험편 초기 두께[mm], ts는 스페이서 두께[mm], rf는
시험편 최종 지름[mm], tf는
시험편 최종 두께[mm]를 의미한다. 현재의 CS의 경우 지름 수축이 없다고 가정하고 있으므로 VCS에서 rf=ri인
경우와 동일하게 나타낼 수 있다.
이를 이용하여
EVA 발포체의 VCS를 Figure 4에 도시하였다. VCS의 경우 기존의 CS(Figure 3)와 달리 시험 온도 증가에 따라 증가하는 경향을
확인할 수 있었다. 즉, 기존의 CS보다 VCS가 영구 압축률을 더 잘 나타낸다는 것을 확인할 수 있었다.
새롭게 정의된
VCS를 이용하여 두 가지 샘플인 EVA1과 EVA2를 분석하였다. 특히 VCS의 경향은 크게 세 가지로 분석하여 이해할 수 있었다. 첫째,
EVA1의 VCS에 비해 EVA2의 VCS가 크게 나타났다. 이는 가교 밀도를 통해 이해할 수 있다. 앞서 젤 함량을 통해 EVA1의 가교 밀도가
높은 것을 확인하였고, 가교 밀도가 높다는 것은 결국 화학적으로 단단하게 결합되어 있음을 의미하고, 반대로 가교 밀도가 낮으면 비교적 결합이 약하므로
변형이 일어날 가능성이 커진다. 이에 따라 가교 밀도가 낮은 EVA2의 VCS는 높게 나타나게 된다.
둘째, 두 EVA
발포체 모두 VCS가 급증하는 부분이 나타났다. EVA1의 경우 VCS가 80 oC를 기준으로 급하게 증가하는 형태로 나타난 반면,
EVA2의 경우는 70 oC를 기준으로 급하게 증가하는 형태로 나타나 10 oC의 온도 차이를 보였다. 이는 사용된 원료 수지의 열적 특성과 관련이 있으며, 실제로 사용한 원료 수지의
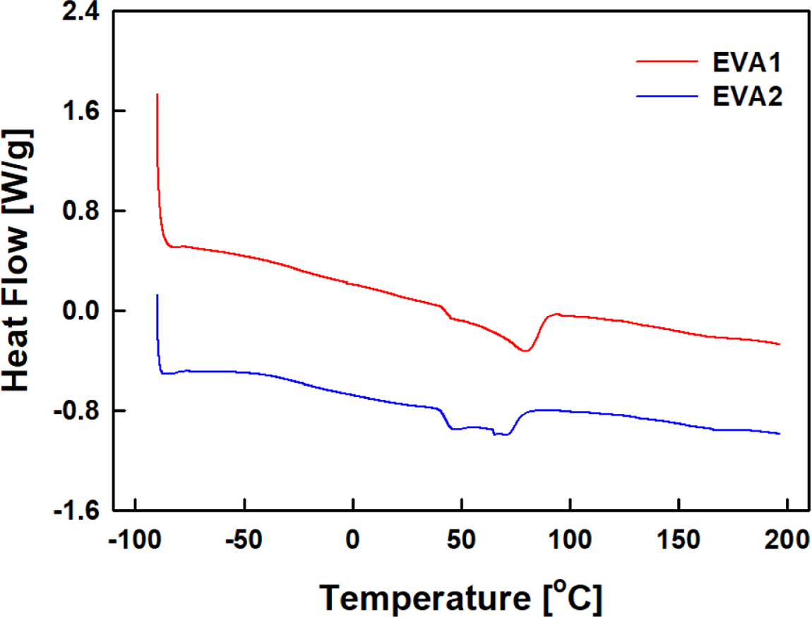
Tm은 각 85 oC와 71 oC로 14 oC의 온도 차이가
존재했다. 또한 VCS가 급격하게 증가하는 온도는 Figure 5를 통해 나타낸 DSC 그래프에서 확인할 수 있는 Tm과
일치하였다.
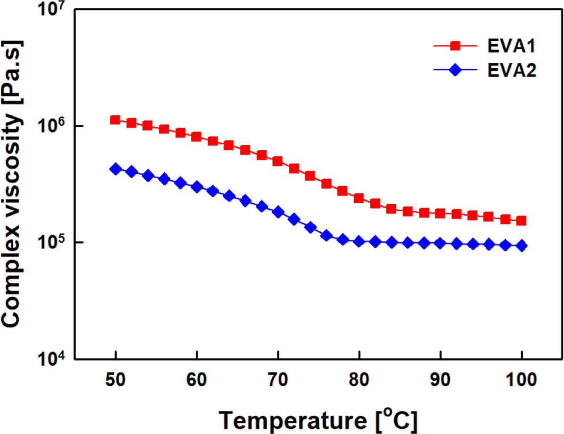
마지막으로 90 oC에서 100 oC 구간에서 EVA2의
경우 VCS가 거의 증가하지 않고 평탄하게 나타난 반면, EVA1의 경우 80 oC에서 90 oC 구간에 비해 완만해지긴
하였으나 여전히 증가하는 경향이 나타났다. 이는 Figure 6에 나타낸 점도와 비교하여 이해할 수 있다. 90 oC에서 100 oC 구간의 점도를 살펴보면
EVA1의 경우 여전히 감소하는 형태로 나타났으며, EVA2의 경우 거의 일정해진 것을 확인할 수 있다. 이는 일반적인 고분자의 거동이라기 보다는
가교가 일어난 고분자에 일어나는 현상이다. 온도 증가에 따른 점도 변화가 거의 없다는 것은 온도에 의한 변형이 거의 존재하지 않는다는 의미이며,
따라서 이 온도 구간에서 EVA2의 VCS 증가는 점도가 감소하는 경향이 뚜렷한 다른 온도 구간에 비해 미비하게 나타난다. 이를 바탕으로
EVA1에 대해 온도를 더 상승시키며 점도를 측정하였을 때, 점도가 거의 변하지 않고 수렴하는 구간이 발생한다면 해당 구간에서 VCS 역시 거의
증가하지 않을 것이라 추측할 수 있다.
또한 점도를 통해서
앞의 내용을 다시 확인할 수 있었다. 점도가 높다는 것은 변형에 강하다는 의미로 VCS가 낮게 나타나며, VCS의 경향이 변하는 온도와 점도의 경향이 변하는 온도가 비슷하게
나타나는 것을 확인할 수 있다.
최종적으로 EVA
발포체에 대한 VCS의 경향을 VA 함량에 따른 가교 밀도 차이와 원료 수지의 열적 특성 및 이들로 인한 EVA 발포체의 점도를 통해 확인하였다.
VA 함량이 낮으면 가교 밀도가 높아 VCS는 낮아지고, 원료 수지의 Tm이 높으면 비교적 더 높은 온도까지 견딜
수 있었다.
CS는 발포체의 구조와 큰 관계가 있기 때문에, SEM을 이용하여 발포체의 단면을 살펴보았다(Figure 7). EVA1의
경우가 EVA2보다 큰 셀 크기를 나타내었다(EVA1=111.7±23.6 μm, EVA1=82.4±26.8 μm).
셀 크기를 보면
EVA1의 경우 EVA2보다 셀이 크게 만들어졌다. 그 이유는 EVA1이 가교밀도가 높아서 탄성적인 성질이 크기 때문에 셀이 크게 발포될 수 있는것으로
보인다.
실제로 EVA 발포체의
경우 가교 및 발포가 용이하다는 장점이 있지만 다른 플라스틱 발포체에 비해 비교적 낮은 물성과 CS가 높아 변형에 취약하다는 단점이 있기 때문에 여러 소재를
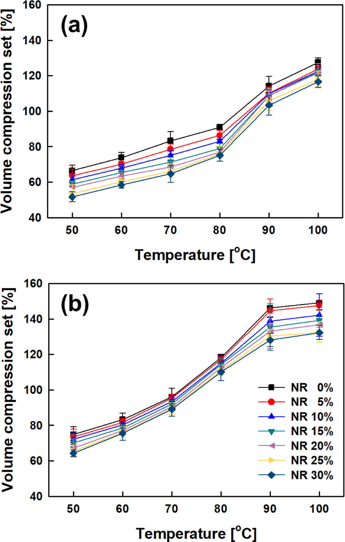
블랜팅하여 사용하는데, 특히 NR을 이용한 연구가 많이 진행되고 있다. 따라서 EVA 발포체에 NR을 첨가한 블렌드 샘플에 대해서도 압축률을
살펴보았다. 위의 EVA1과 EVA2 발포체 배합에 EVA와 NR의 비율만 달리한 EVA1/NR 및 EVA2/NR 발포체의 경우, Figure 8을 통해 CS의 경향이 순수 EVA 발포체와
유사하게 나타난 것을 확인할 수 있었다. 또한 알려진 바와 같이 NR 함량의 증가에 따라 CS가 감소하는 경향이 나타났으나 이를 명확하게 하기
위해 역시 VCS의 개념을 적용하였다. 그 결과를 Figure 9에 나타내었다. Figure 9를 통해 EVA/NR
발포체 역시 시험 온도가 증가함에 따라 EVA 발포체와 유사한 경향으로 VCS가 증가하는 것을 확인할 수 있었다. 또한 온도와 무관하게 NR 함량이
증가함에 따라 EVA/NR 발포체의 VCS는 감소하는 것을 확인할 수 있었다.
|
Figure 1 Torque (solid line) and pressure (dash line) of EVA foams. |
|
Figure 2 Peroxide cross-linking of EVA 1. |
|
Figure 3 Compression set (CS) of EVA foams. |
|
Figure 4 Volume compression set (VCS) of EVA foams. |
|
Figure 5 DSC thermograms of EVA foams. |
|
Figure 6 Complex viscosity of EVA foams as a function of temperature from 50 to 100 oC. |
|
Figure 7 SEM i mages of two EVA foams (×100) (a) EVA1; (b) EVA2. |
|
Figure 8 Compression set (CS) of EVA/NR foams with various NR concentrations: (a) EVA1/NR; (b) EVA2/NR. |
|
Figure 9 Volume compression set (VCS) of EVA/NR foams with various NR concentrations: (a) EVA1/NR; (b) EVA2/NR. |
일반적으로 알려진
영구 압축률(compression set, CS)의 경향을 확인하기 위해 EVA 발포체의 CS를 측정하였다. 하지만, 기존의 CS만으로는 비교적
높은 온도에서의 변형을 설명하기에 어려움이 존재하였다. 비교적 높은 온도에서는 두께의 압축과 함께 지름의 수축이 동반되었으며, 이를 설명하기 위해 새로운 개념의 부피 영구 압축률(volume
compression set, VCS)을 도입하였다. VCS의 경향은 가교 밀도, 열적 특성, 유변 특성으로 설명할 수 있으며 유사한 경향을 보였다.
따라서 VCS를 이용해 발포체의
특성을 설명하는 것에 무리가 없을 것으로 생각된다. EVA 발포체에 대한 VCS의 경향을, EVA1과 EVA2의 샘플을 이용하여 살펴보았다. VA 함량에 따른
가교 밀도 차이와 원료 수지의 열적 특성 및 이들로 인한 EVA 발포체의 점도를 통해 VCS의 경향을 확인하였다. VA 함량이 낮으면 가교 밀도가 높아 VCS는 낮아지고,
원료 수지의 Tm이 높으면 비교적 더 높은 온도까지 견딜 수 있었다.
또한 EVA와
NR 블렌드에서도 VCS가 CS보다 더 경향을 잘 설명하였다. NR 함량의 증가는 EVA/NR 발포체의 가교 밀도와 발포 배율을 감소시키며 CS 역시 감소하는 것을
확인할 수 있었다.
이를 통해서 고온에서도
적용할 수 있는 VCS의 개념은 내열성 발포체의 개발이나, 발포체의 온도에 따른 내구성을 시험하는 데 중요한 인자로 적용될 수 있을 것으로 기대한다.
This Article2020; 44(3): 264-269
Published online May 25, 2020
Services
Correspondence toSchool of Chemical and Biomolecular Engineering, Pusan National University, Busan 46241, Korea