
Department of Organic Materials and Fiber Engineering,
Soongsil University, Seoul 06978, Korea
숭실대학교 유기신소재·파이버공학과
In order to improve the
compatibility of immiscible blends of cellulose acetate (CA) and poly(L-lactic
acid) (PLA), CA-g-PLA having the properties of both CA and PLA polymers
was synthesized and it was investigated whether it acts as a compatibilizer for
CA/PLA blends. The characteristics of CA-g-PLA with various graft yields
were examined by infrared spectroscopy, gel permeation chromatography,
thermogravimetric analysis, and differential scanning calorimetry. Mechanical
properties and morphologies of the CA(50)/PLA(50)/CA-g-PLA blend films
prepared by adding a certain amount of CA-g-PLA having different graft
yields or by adding different amounts of CA-g-PLA having a constant
graft yield were analyzed. CA-g-PLA acted as a compatibilizer for the
CA/PLA blends, judging from the results that both the stress and strain at the
break of the blend films increased and the phase separation in the blends
decreased as the graft yield or the added amount of CA-g-PLA increased.
혼화성이 없는 셀룰로오스 아세테이트(CA)와 폴리(L-락트산)(PLA) 블렌드의 상용성을 향상시키기 위하여 CA와 PLA 두 고분자의 성질을 모두 갖는 CA-g-PLA를
합성하고 이들이 CA/PLA 블렌드의 상용화제로 활용가능한지 검토하였다. 여러 가지 그래프트율을 갖는 CA-g-PLA의 특성들을
적외선 분광분석기, 젤투과 크로마토그래프, 열중량 분석기, 시차주사 열량계 등으로 조사하였으며, CA(50)/PLA(50) 블렌드에
그래프트율이 서로 다른 CA-g-PLA를 일정 함량 첨가하거나 그래프트율이 일정한 CA-g-PLA를 서로 다른 함량으로 첨가한
CA(50)/PLA(50)/CA-g-PLA 블렌드 필름들을 제조하여 물성과 모폴로지를 비교 분석하였다. 첨가하는 CA-g-PLA의 그래프트율이 커지거나 첨가량이
많아질수록 블렌드 시료의 파단응력과 파단변형률이 모두 증가하였으며, 블렌드에서의 상분리가 감소하여 CA-g-PLA가 CA와 PLA 블렌드의 상용화제로 작용하였다.
In order to improve the
compatibility of immiscible blends of cellulose acetate (CA) and poly(L-lactic
acid) (PLA), CA-g-PLA was synthesized and it was investigated whether it
acts as a compatibilizer for CA/PLA blends. Results showed that both the
stress- and stain-at-break of the CA(50)/PLA(50)/CA-g-PLA blend films
increased and the phase separation in the blends decreased as the graft yield
or the added amount of CA-g-PLA increased.

Keywords: cellulose acetate (CA), poly(L-lactic acid) (PLA), CA-g-PLA, blend, compatibilizer
이 연구는 산업통상자원부
및 산업기술평가관리원(KEIT)의 연구비 지원으로 수행되었으며(과제번호 10052095), 이에 감사드립니다.
대표적인 셀룰로오스
유도체의 하나인 셀룰로오스 아세테이트(CA)는 용융되기 전에 분해되는 셀룰로오스와는 달리 분해되기 전에 용융되기 때문에 용융 공정에 의해 제품을
제조할 수 있는 장점이 있다. 그러나 친수성인 셀룰로오스가 자연에서 쉽게 생분해되는 반면, CA는 소수성인 아세테이트기의 치환도가 어느 정도 이상이면
생분해성이 감소된다는 단점이 있다.1-3 CA는 포장용기나 흡수체 등에 사용되고 있으며, 필라멘트 섬유로 제조되어 담배필터
등에 사용되거나 중공섬유로 제조되어 혈액 투석과 같은 의료 분야에도 널리 사용되고 있다.4-8 담배필터 분야의 경우, 지금까지
사용되고 있는 담배필터 소재는 대부분이 CA 섬유로 제조되고 있는데 담배필터에 사용되는 CA 섬유는 아세테이트기 치환도가 크기 때문에 자연에서
생분해되지 않아 여러 가지 문제점들을 야기한다.
CA 섬유 담배필터를
제조할 때에는 먼저 CA 필라멘트 섬유를 제조한 후 2~3만 가닥의 섬유들을 집속하여 초멀티 필라멘트로 만드는데, 이를 토우(tow)라고 한다.
이 토우에서 각 CA 섬유들의 표면을 약제로 일부 용해시켜 서로 접착시킴으로써 필라멘트 섬유들이 서로 분리되지 않도록 한 후 적절한 길이로 절단하여
사용되는데, CA 섬유들의 접합을 위하여 가소제 역할과 접합 작용을 동시에 하는 트리아세틴이 사용된다.3,9-10 CA 섬유
담배필터가 생분해가 되지 않는 문제점을 해결하기 위하여 생분해성을 갖는 폴리(L-락트산)(PLA) 등을 섬유화하여 담배필터 소재로
사용하고자 하는 시도들이 있었지만, 그동안 오랫동안 사용되어 온 CA/트리아세틴 소재의 고유 향에 기인한 소비자들의 기호 문제와 PLA 섬유의
손상 없이 토우에서 섬유들을 서로 접합시킬 수 있으면서 인체에 무해한 접합가소제를 찾지 못하여 아직까지 상업화되지 못하였다.
이를 해결하기 위하여
PLA와 같은 생분해성 고분자를 단독으로 사용하지 않고 CA와 PLA를 혼합시킨 블렌드 섬유를 사용하는 방법이 있다. 이 경우 트리아세틴이라는
CA용 접합가소제를 사용할 수 있는 동시에 PLA에 의한 생분해성을 이용할 수 있다. 또한 CA와 PLA 모두 열분해되기 전에 용융되기 때문에
용융공정에 의해 섬유를 제조할 수 있다. 그러나 CA와 PLA 고분자가 모두 에스터계 고분자임에도 불구하고 이들 두 고분자는 서로 혼화성(miscibility)이
없기 때문에 블렌드된 소재에서 서로 상분리가 되어 물성이 크게 감소되는 문제점이 나타난다.
본 연구는 이러한
문제점을 해결하기 위한 것으로, CA와 PLA 사이의 상용성(compatibility)을 향상시키기 위하여 CA와 PLA의 특성을 모두 갖는 상용화제(compatibilizer)를
합성하고 이를 직접 CA/PLA 블렌드계에 사용하여 상용화제로 작용하는 지를 검토한 것이다. 상용화제는 주로 각각의 고분자에 대한 친화력을 동시에
갖는 물질이 사용되는데, 두 고분자가 서로 완전히 혼합되는 혼화성까지는 부여하지 못하지만 두 고분자 사이의 계면장력을 낮춤으로써 부분 혼화성을
부여하고 혼합물의 물성 저하를 줄여 두 고분자를 함께 사용할 수 있도록 도와주는 역할을 한다.
한편, 저자들은
CA를 주사슬로 하고 여기에 L-락타이드를 반응시켜 PLA를 그래프트시킨 셀룰로오스-g-폴리(L-락트산) (이하 CA-g-PLA로 약함)을 합성하는 방법과 CA-g-PLA의
그래프트율을 구하는 방법에 대해서 보고한 바 있다.11 본 연구에서는 이에 이어서 그래프트율이 서로 다른 CA-g-PLA의
열적 특성을 비롯한 몇가지 특성들을 열중량 분석기(TGA), 시차주사 열량계(DSC), 푸리에변환 적외선분광기(FTIR), 젤투과 크로마토그래프(GPC)
등으로 분석하였다. 또한 CA-g-PLA가 실제로 CA/PLA 블렌드의 상용화제로 작용할 수 있는가를 검토하기 위하여, CA-g-PLA를
첨가한 CA/PLA/CA-g-PLA 블렌드 필름 시료들을 제조하고 이들의 물성을 만능재료시험기(UTM)로 분석하였으며, 주사전자현미경(SEM)으로
모폴로지를 분석하였다.
상용화제로 사용한
CA-g-PLA의 그래프트율과 블렌드에 첨가한 양에 따른 시료들의 상용성 변화를 알아보기 위하여, 그래프트율이 서로 다른 CA-g-PLA를
일정 함량으로 첨가한 시료와 그래프트율이 일정한 CA-g-PLA를 사용하면서 첨가량을 달리한 두 종류의 블렌드 필름들을 제조하여 분석에
사용하였으며, 실험 결과들의 용이한 해석을 위하여 CA와 PLA의 블렌드 비율은 50/50(w/w)으로 고정하였다.
본 연구에서 제시된
결과들은 합성된 CA-g-PLA가 CA/PLA 블렌드의 상용화제로 사용될 수 있다는 사실과 함께, 친환경적이고 인체 친화적인 섬유제품,
포장용기, 담배필터 및 의료용 재료 등에 응용될 수 있을 것으로 기대된다.
시료 및 시약. CA는 아세틸 치환도 2.5, 수평균 분자량
30000 g/mol인 분말상의 Sigma Aldrich사(미국)
제품을, PLA는 NatureWorks사(미국)의 2002 d(MI 4-8 g/min)을 사용하였다. L-락타이드는
순도 99%인 Purac사(네덜란드) 제품을, 디메틸설폭사이드(DMSO), 메탄올, 톨루엔, 테트라하이드로퓨란(THF)은 삼전정밀화학사 제품을,
Sn(II) 2-에틸헥사노에이트는 Sigma Aldrich사 제품을 사용하였으며, 이들은 모두 정제하지 않고 그대로 사용하였다.
CA-g-PLA 및 호모 PLA의 합성. 여러 그래프트율을 갖는 CA-g-PLA 공중합체를
합성하기 위해 교반기, 냉각기, 온도계, 온도 조절기, 질소 유입구, 적하 깔대기가 장착된 250 mL의 4구 플라스크에서 반응을 진행하였다. 질소 기류
하에서 DMSO 100 mL를 넣고, 온도를 120 °C까지 승온시킨 뒤 CA 5 g에 대한 L-락타이드 무게비를 6,
10, 14배로 변화시키면서 투입하여 완전히 용해시켜 주었다. CA와 L-락타이드가 완전히 용해된 것을 확인한 후, 130 °C까지 승온시키고 촉매인 Sn(II) 2-에틸 헥사노에이트를
L-락타이드에 대해 0.2 wt% 첨가한 후 서로 다른 시간(8, 16, 24시간) 동안 교반시키면서 반응시켰다. 반응물을 다량의 메탄올/톨루엔
혼합용매(8:2, v/v)에 침전시키고 여과한 후, 같은 비율의 메탄올/톨루엔 혼합용매로 수차례 수세하여 호모 PLA, 미반응 L-락타이드
및 촉매를 제거하였다. 이들을 감압여과한 후 진공오븐에서 48시간 건조하여 여러 그래프트율을 갖는 CA-g-PLA를 얻었다. 한편,
CA 없이 L-락타이드 만을 사용하여 호모 PLA도 함께 합성하였다. 여기서 얻은 호모 PLA는 CA-g-PLA와의 비교분석에만 사용하였고, 아래의
블렌드 시료 제조에는 NatureWorks사의 PLA를 사용하였다. 얻어진 CA-g-PLA의 그래프트율은 TGA 분석에 의하여 구하였으며,11
그래프트율이 x%인 시료를 CA-g(x)-PLA로 표기하였다. 이같이 CA와 L-락타이드의 혼합
비율과 130 °C에서의 반응시간을 달리하여 얻은 CA-g-PLA들
중에서, 약 50%까지의 서로 다른 그래프트율을 갖는 6 종류를 선정하여 본 연구에 사용하였다. 전보 및 예비 실험에 의하면, CA-g-PLA의
특성들은 합성조건이 다르더라도 그래프트율이 비슷하면 서로 비슷한 특성들을 나타내었다.
CA/PLA/CA-g-PLA 블렌드 필름 제조. CA-g-PLA를 상용화제로 하는
CA/PLA/CA-g-PLA 블렌드 필름을 핫프레스(Carver사)를 이용하여 240 °C에서 용융압착한 후 급랭하여 두께 약 400 μm인 필름으로 제조하였다. CA와 PLA의 혼합비는 무게비로
50:50으로 일정하게 하였으며, 여기에 CA-g-PLA를 추가하여 CA/PLA/CA-g-PLA 3성분계의 블렌드를 제조하였다.
블렌드 필름 제조를 위하여 먼저 칩 상태의 PLA를 분쇄하여 분말 상태로 만들고, 분말 상의 CA, PLA, CA-g-PLA를 서로
사전 혼합시킨 후 용융 압착시켜 필름으로 만들었다. 보다 균일한 혼합을 위하여 1차로 제조된 필름을 작게 절단한 후 다시 위의 방법으로 용융압착시켜 최종 필름
시료들을 제조하였다. 블렌드 시료는 ① CA/PLA(50/50) 무게에 대하여 CA-g-PLA의 첨가 함량을 15 phr(part per hundred resin)로 일정하게
하면서 그래프트율이 서로 다른 CA-g-PLA를 사용하여 그래프트율이 다르면서 첨가량이 일정한 블렌드 필름, ② 그래프트율이
16.9%인 CA-g-PLA를 사용하면서 그 첨가 함량을 달리한 필름 등 두 종류의 시료들을 제조하였다. 이때 사용한 CA-g-PLA 첨가 함량(phr)은
CA, PLA, CA-g-PLA 3종류를 모두 포함하는 최종 시료에 포함된 백분율(wt %)이 아니라, CA(50)/PLA(50)
1 g에 추가된 양이다.
각종 분석. Bruker사의 FTIR(Vertex 70)을 사용하여
분말 상태의 시료를 감쇠전반사(ATR)법으로 600-4000 cm-1 범위에서 분해능 2 cm-1로 하면서 64회 스캔하여
FTIR 스펙트럼들을 얻었으며, 얻어진 FTIR 스펙트럼들은 측정 범위의 전체 면적을 1로 하여 표준화(normalization)시켰다.
Perkin Elmer사의 Diamond DSC를 사용하여 질소 기류 하의 DSC 곡선을 얻었다. 이때 200 °C까지 온도를 올리고 10분간 유지하여 열이력을 제거한
후, 0 °C로 급랭시켜 10분간 유지시킨 후 다시 10 °C/분의 속도로 승온시키면서 2차 승온곡선들을 얻었다.
다만, 순수 CA의 경우 1차 가열 시 260 °C까지 10 °C/분으로 승온시키면서 1차 승온곡선을 얻고, 이후 다른 시료와 같은 방법으로 용융-급랭-재승온시키면서
2차 승온곡선을 얻었다. 열분해 곡선은 Mettler Toledo사의 TGA 1을 사용하여 질소기류 하에서 10 °C/min으로 승온시키면서 얻었으며, 합성된 CA-g-PLA
시료들을 THF에 용해시킨 후 25 °C에서 THF를 운반액체로 사용하면서 3개의 PLgel Wmixed-c 컬럼(agilent)을 사용하고
Water사 2414 refractive index detector를 디텍터로 하는 Waters사의 GPC 시스템을 사용하여 GPC 크로마토그램을
얻었다. Houndsfiled사(영국)의 H10KS UTM을 사용하여, ASTM D882에 의거하여 필름 시료들의 인장응력-변형률 곡선을 얻은
뒤 파단점에서의 값을 구하였다. 측정에 사용한 필름 시료는 폭 3.3 mm의 도그 본 형태로 준비하였으며, 파지거리 25 mm, 측정 속도 10 mm/분으로 하면서, 한 시료 당 10회씩 측정하여 최고값과 최저값을 제외한 결과들의 평균값을 사용하였다. 한편, 인장 실험에
의해 절단된 필름 시료들의 파단면을 백금으로 코팅한 후, Comex사의 CX-100S을 사용하여 전압 20 kV로 하여 SEM 이미지를 얻었다.
CA-g-PLA의 FTIR 스펙트럼 분석. Scheme 1은 CA에 L-락타이드가 반응하여
CA-g-PLA를 생성하는 반응식을 나타낸 것이다. 본 연구에서 사용한 CA는 아세틸 치환도가 2.5 인 것으로, 이 CA에는
AGU(무수 글루코스 단위) 당 0.5 몰의 히드록시기가 존재한다. 일반적으로 L-락타이드의 개시는 히드록시기를 갖는 디올이 개시제로
사용되지만 CA에서는 잔존하는 히드록시기가 L-락타이드의 개시점으로 활성화되기 때문에 추가적인 개시제가 필요하지 않다. L-락타이드가
Sn(II) 2-에틸헥사노에이트 촉매 하에서 개환되면서 이 히드록시기에 그래프트되어 CA-g-PLA를 형성한다.
얻어진 CA-g-PLA의
특성들을 알아보기 위하여 먼저 이들의 FTIR 스펙트럼들을 얻어 분석하였다. Figure 1은 CA, PLA 및 그래프트율이 다른 CA-g-PLA의
FTIR 스펙트럼들을 나타낸 것이다. 이들 스펙트럼들은 모두 측정범위 전체의 면적을 1로 표준화시켰기 때문에, 측정 시 시료 양이 다르더라도 밴드 크기의 상대 비교가 가능하다.
CA의 경우 1218 cm-1에서 –CO-O- 신축운동,
1036 cm-1에서 –C=O 신축운동에 의한 밴드가 큰 흡광도를 나타내기 때문에 그래프트로 인한 밴드의 흡광도 변화 분석이 용이하다. 또한 CA
주사슬의 히드록시기에서 PLA가
그래프트되기 때문에, 그래프트율에 따라 3476 cm-1에서 나타나는 히드록시기 밴드의12-14 흡광도가 감소한다. PLA의 경우 1756 cm-1에서 –C=O 비대칭 신축운동, 456 cm-1에서 -CH3
굽힘운동, 1182 cm-1에서 –C-O-C- 대칭 신축운동, 1129 cm-1에서 -CH3
비대칭 굽힘운동, 1087 cm-1에서 –C-O-C- 비대칭
신축운동, 871 cm-1에서 –C-COO- 신축운동,
755 cm-1에서 –C=O 굽힘운동 밴드가
나타났다.14-16 TGA 분석에 의한 그래프트율이 다른 몇가지 CA-g-PLA의 FTIR 스펙트럼들을 함께 나타내었는데,
이들을 보면 위에서 설명한 CA 및 PLA 밴드들이 모두 나타나고 있으며 그래프트율이 커짐에 따라 PLA에 기인한 밴드의 흡광도는 커지고 CA로
인해 나타나는 밴드의 흡광도는 상대적으로 작아지는 것을 볼 수 있다.
Scheme 1. Synthesis of CA-g-PLA from CA and L-lactide.
Figure
2(A)는 CA-g-PLA 스펙트럼에서 CA 성분에 기인한 1036 cm-1의 –C=O 신축운동, 1218 cm-1의 –CO-O- 신축운동, 3476 cm-1의 –OH 밴드의 강도 변화를
그래프트율에 대해서 나타낸 것이다. 이를 보면, 약간의 오차는 있지만, 그래프트율이 커질수록 이들 밴드들의 강도가 점차 작아지고 있다. 특히
3476 cm-1의 히드록시 밴드 및
1218 cm-1의 –CO-O- 밴드는 그래프트율에
따라 그 강도가 크게 감소한 후 점차 감소 정도가 둔화되었다. 이는 일단 CA에 남아있는 히드록시기에서 그래프트가 되기 때문에 초기에 그 양이 크게 감소하지만, 이후에는 L-락타이드기 히드록시기와 반응하기
보다 PLA 고분자로 되면서 그래프트율이 커지기 때문이다. 이는 전보에11 나타낸 바와 같이, CA-g-PLA의
그래프트율이 커지면 공중합체에 있는 PLA의 중합도와 락틸기 치환도가 증가하는 결과로부터 설명된다. Figure 2(B)는 PLA 성분에 기인된
밴드들의 강도 변화를 나타낸 것이다. 그래프트율이 증가함에 따라 이들 밴드들의 강도가 커지고 있어 PLA가 제대로 그래프팅된 것을 확인할 수 있다.
CA-g-PLA의 분자량 변화. CA에 PLA가 그래프트되면 전체적으로 분자량이 커진다.
이러한 사실을 확인하기 위해 CA 및 그래프트율이 다른 CA-g-PLA의 GPC 크로마토그램을 얻어 Figure 3(A)에 나타내었다.
CA-g-PLA를 합성할 때와 동일한 조건에서 CA 없이 L-락타이드 만을 사용하여 130 °C에서 8시간 반응시켜 얻은 호모 PLA는 머무름시간
약 24분에서 피크가 나타났다. CA-g-PLA의 크로마토그램들에서는 이 머무름시간에서 피크가 전혀 나타나고 있지 않아, 그래프트
반응 시에 그래프트되지 않은 호모 PLA가 생성되었더라도 수세 과정에서 모두 제거되었음을 알 수 있다. CA-g-PLA들은 CA에
비해 약간 빠른 머무름시간에서 주 피크가 나타나고 있으며, 그래프트율이 커질수록 보다 빠른 머무름시간에서 피크가 나타나고 있어 CA 주사슬에
PLA가 그래프팅됨으로써 전체적으로 분자량이 커진 것을 확인할 수 있다. 또한 CA-g-PLA의 피크가 여러 개가 아닌 하나로 나타나고
있어, CA-g-PLA 시료가 단순히 CA와 PLA 고분자가 혼합되어 섞여 있는 것이 아니라 화학적 결합을 통해 하나의 고분자가 되어
그래프팅이 성공적으로 되었음을 알 수 있다. 다만, 머무름시간의 차이가 크지 않아, 그래프트된 PLA의 분자량이 크지 않다는 것을 알 수 있다.
또한 130 °C의 고온에서 8~24시간이라는 비교적 긴 시간 동안
반응을 시켰음에도 불구하고 CA 주사슬의 절단은 거의 일어나지 않았다는 것을 알 수 있다.
Figure
3(B)는 GPC 크로마토그램으로부터 구한 CA-g-PLA의 수평균 분자량을 그래프트율에 대해서 나타낸 것으로, 그래프트율이 커짐에
따라 CA-g-PLA의 분자량은 거의 직선적으로 증가하고 있다. GPC 분석에서 구한 수평균 분자량은 CA의 47000 g/mol정도에서 69200 g/mol로 증가하였지만, 하나의 CA 분자에 그래프트
분지점이 많다는 것을 고려할 때 각 그래프트된 PLA의 분자량은 크지 않다는 것을 알 수 있다. 실제로 NMR 분석 결과에 의하면 분지된
PLA의 평균 중합도는 합성조건에 따라 2~5 정도였다.11 한편, 시료로 구입한 CA의 수평균 분자량은 30000 g/mol이라고 되어 있었으나, 이를 본 연구에서 GPC로 측정한 분자량은
47000 g/mol 정도로 훨씬 크게 나타났다. 이는 얻어진 분자량이 GPC 보정에
사용하는 폴리스티렌에 해당하는 것(polystyrene-equivalent molecular weight)이기 때문으로, 보다 정확한 실제 분자량을 위해서는 훨씬 복잡한
보정이 필요하지만 본 연구에서는 분자량 절대값보다는 상대적인 비교가 더 중요하다고 판단하여 얻어진 값들을 그대로 사용하였다. 다만, 본 연구에서
그래프트율이 커짐에 따라 CA-g-PLA의 분자량이 직선적으로 증가하였으며, 그래프트율이 50.1%인 CA-g(50.1)-PLA의
분자량이 CA에 비해 약 47.2%(69200/47000) 증가한 것으로 나타나 TGA로 구한 그래프트율 50.1%와 거의 일치되었다.
CA-g-PLA의 열적 특성. CA/PLA 블렌드는 공업적으로 용융혼합에 의하여 제조되어야
하기 때문에 상용화제로 사용하고자 하는 CA-g-PLA의 열적 특성이 중요한 역할을 하게 된다. 그래프트율이 다른 CA-g-PLA
시료들의 TGA 열분해 곡선들을 얻은 후, CA 주사슬과 PLA 곁사슬의 열분해 개시온도(onset temperature)를 분석하였다. 이때
열분해 개시온도는 열분해 곡선의 기울기가 급격히 변하는 점 전후에서 두 개의 접선을 그어 만나는 점으로 하였다. CA의 열분해 개시온도는
327 °C이었으며, CA에 그래프팅시키는 방법과 동일한 방법으로
L-락타이드를 개환중합시켜 얻은 호모 PLA의 열분해 개시온도는 239 °C이었다. 따라서 공중합체인 CA-g-PLA의
열분해는 PLA 곁사슬이 먼저 열분해한 후 CA 주사슬의 열분해가 일어날 것으로 기대되었다.
Figure
4(A)는 CA와 PLA 및 그래프트율이 34.4%인 CA-g(34.4)-PLA의 TGA 열분해 곡선들을 나타낸 것이다. 이를 보면
CA-g(34.4)-PLA에 있는 CA 및 PLA의 열분해 온도는 CA 및 PLA가 단독으로 존재할 때와는 다른 온도에서 나타났다. 즉, CA-g(34.4)-PLA는
2단계 분해거동을 나타내었지만,
그래프트된 PLA에 기인된 분해온도는 호모 PLA보다 높은 온도에서 나타나고 주사슬인 CA에 기인된 분해온도는 순수 CA보다 낮은 온도에서 나타났다.
이러한 현상을 좀더 자세히 검토하기 위하여, 그래프트율이 서로 다른 시료들의 TGA 열분해 곡선들을 얻고, 이들에서 구한 두 성분의 열분해 개시온도를
그래프트율에 대해서 나타낸 것이 Figure 4(B) 이다. 이를 보면 그래프트율이 커질수록 상대적으로 열분해 온도가 낮은 PLA의 영향이 커지며,
CA 주사슬과 PLA 곁사슬의 열분해 온도는 모두 낮아지는 경향을 나타내었다. PLA 곁사슬 열분해 온도는 상대적으로 열분해 온도가 높은 CA의
영향으로 호모 PLA보다 높은 온도에서 열분해되지만, 역시 그래프트율이 커질수록 점차 열분해 온도가 낮아져 호모 PLA 열분해 온도 쪽으로 이동하였다.
이러한 결과들은 CA 주사슬은 그래프트된 PLA의 영향을 받고 PLA 곁사슬은 주사슬인 CA의 영향을 받는다는 것을 나타내는 것으로, CA 고분자와
PLA 고분자가 단순히 물리적으로 섞여있는 것이 아니고 그래프팅이 잘 되어 있음을 재확인시켜주고 있다.
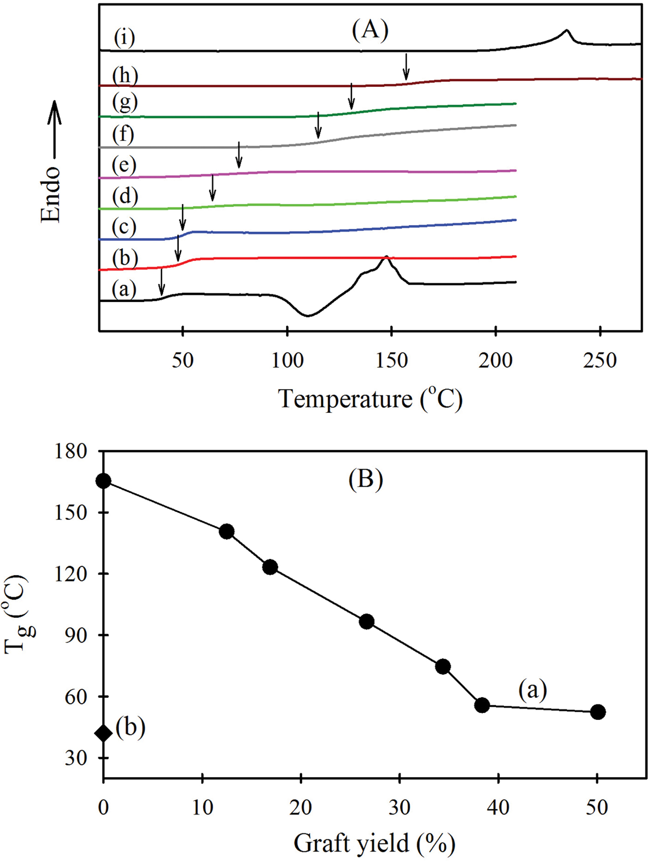
한편, CA-g-PLA의
유리전이, 결정화, 용융 등의 열적 성질들을 알아보기 위하여 DSC 분석을 진행하였다. 실험 부분에서 설명한 바와 같이 각 시료들을 용융 상태까지
승온시키면서 1차 승온곡선을 얻고, 다시 0 °C까지 급랭시킨 후 이를 승온시키며 CA와 직접 합성한 호모 PLA, CA-g-PLA들의
DSC 2차 곡선들을 얻어 Figure 5(A)에 나타내었다. 그래프트되지 않은 순수 CA의 1차 승온곡선에서는 230 °C에서 용융 온도가 나타났다. 호모 PLA의 2차 승온곡선에서
42 °C에서 Tg가 나타났으며,
109 °C에서 냉결정화 피크, 147 °C에서 용융 피크가 나타났다. 순수 CA의 2차 승온곡선에서는
165 °C에서 Tg가 나타났지만
결정화나 용융에 의한 피크는 관찰되지 않았다. CA-g-PLA의 2차 승온곡선에서는 결정화나 용융에 의한 피크는 나타나지 않았지만,
유리전이에 의한 피크는 확인할 수 있었다.
이들 그래프에서 각
시료들의 Tg를 구하여 그래프트율에 대해서 나타낸 것이 Figure 5(B)이다. 상대적으로 Tg가
낮은 PLA의 영향으로 인해 그래프트율이 증가할수록 CA-g-PLA의 Tg가 낮아지고 있다. 호모
CA의 Tg는 약 165 °C로 상당히 높은 편이지만 PLA 곁사슬의 영향으로 인해 Tg가 낮아져
내부 가소화가 일어났음을17 알 수 있다. 일반적으로 고분자에 가지가 생성되면 말단기의 증가로 Tg가
감소한다. 특히 분자사슬의 움직임이 어려워 Tg가 높은 CA에 비교적 유연하고 Tg가
낮은 PLA가 그래프트되면 PLA가 내부 가소제 역할을 하여 전체 CA-g-PLA 고분자의 Tg가
낮아지고, 그래프트율이 40% 이상으로 되면 호모 PLA의 Tg보다 약간 높은 온도에서 Tg가
나타났다. 한편, CA-g-PLA의 DSC 곡선에서 CA 및 PLA의 Tg에 해당하는 위치에서 두
개의 Tg가 나타나는 것이 아니라 하나의 Tg만 나타나는 것으로부터, 상용성이
없는 두 고분자의 단순 물리적 혼합이 아니라 CA에 PLA가 그래프팅되어 하나의 고분자처럼 거동함을 알 수 있다.18,19
CA/PLA/CA-g-PLA 블렌드 필름의 물성과 모폴로지. CA-g-PLA가 PLA와 CA의 상용화제로서
사용될 수 있는지 확인하기 위하여, CA(50)/PLA(50) 블렌드에 CA-g-PLA를 첨가한 필름을 제조하고, 이들의 인장응력-변형률
곡선을 얻어 물성을 분석하였다. Figure 6은 CA(50)/PLA(50) 및 두 가지 CA(50)/PLA(50)/CA-g-PLA
블렌드 필름의 인장응력-변형률 (s-s) 곡선을 나타낸 것이다. CA-g-PLA를 첨가하지 않은 CA(50)/PLA(50) 블렌드
필름의 경우 물성이 매우 좋지 않았으며, 파단응력도 작고 파단변형률도 매우 작아 그냥 사용하기 곤란함을 알 수 있다. 이를 보면 CA-g-PLA를
첨가하지 않은 (a)에 비해 CA-g-PLA를 첨가한 두 시료 모두 파단응력과 파단변형률이 매우 크게 증가하였다. 여기서 (b)가
(c)보다 파단응력과 파단변형률이 모두 크지만, 이들은 서로 그래프트율이 다르면서 첨가함량이 다르기 때문에 어느 요인에 의한 영향이 더 큰지 파악하기
곤란하였다.
그래프트율과 첨가함량에
의한 영향을 보다 면밀히 분석하기
위하여, 그래프트율이 서로 다른 CA-g-PLA를 CA(50)/PLA (50)에 추가하면서 첨가량을 15 phr로 고정한 필름의 파단응력과 파단변형률을 구하여
Figure 7(A)와 Figure 7(B)에 나타내었다. 이를 보면 첨가량을 15 phr로 일정하게 하였음에도 CA-g-PLA의
그래프트율이 커질수록 파단응력과 파단변형률이 모두 증가하고 있다. 특히 CA-g(50.1)-PLA를 상용화제로 한 블렌드 필름의 경우
미첨가 시료와 비교하였을 때 파단응력과 파단변형률이 각각 약 2.0배 및 2.1배 증가하여 상용화제로 잘 작용하고 있음을 알 수 있다. 일반적으로
어떤 물질을 첨가하여 파단응력이 증가하면 파단변형률은 감소하는 경향을 나타내는데, CA-g-PLA는 CA/PLA 블렌드의 상용화제로
작용하여 파단응력과 파단변형률을 모두 증가시켰다. 본 연구에서 얻은 시료들의 파단응력과 파단변형률은 일반 고분자 필름 시료들에 비해 작은 값들을
나타내었는데, 이는 블렌드 시료의 제조 과정 차이 때문으로 판단된다. 즉, CA-g-PLA를 대량으로 합성하기 곤란하였기 때문에 블렌드
필름 제조 시 3가지 성분을 트윈 스크류 등의 기기에서 용융혼합하지 못하고, 각각의 성분을 분말로 만든 후 이를 두 번 용융압착시켜 필름 시료들을
만들었으므로 각 성분들이 완전하게 혼합되지 않았을 수 있다. 그럼에도 불구하고 본 연구에서 CA-g-PLA의 첨가 효과를 보기 위한
시료 간의 상대비교로 충분하다고 판단되었다.
그래프트율이
16.9%로 일정한 CA-g-PLA의 첨가량을 여러 가지로 변화시킨 CA(50)/PLA(50)/CA-g(16.9)-PLA
블렌드 필름의 물성 변화를 분석하여 Figure 8(A)와 Figure 8(B)에 나타내었다. CA-g-PLA의 그래프트율이 일정한
경우, CA-g-PLA의 첨가량이 많아짐에 따라 파단응력과 파단변형률이 모두 증가하고 있다. CA-g(16.9)-PLA가
25 phr 첨가된 필름의 경우 파단응력는 미첨가 시료의 약 1.7배, 파단변형률은 약 1.95배 증가하였다. 그래프트율이 16.9%로 비교적
작은 것을 사용하였기 때문에 물성이 크게 증가하지는 않았지만, 첨가함량 25 phr 범위 내에서 파단응력과 파단변형률이 모두 증가하였다.
이러한 Figure 7과 8의 결과로부터, CA-g-PLA가 CA/PLA 블렌드의 상용화제로 작용함으로써 파단응력과 파단변형률을 모두
증가시키며 그래프트율이 크고 첨가량이 많을수록 기계적 물성 향상에 효과적이라는 것을 알 수 있다.
한편, CA-g-PLA의
첨가가 블렌드 시료의 모폴로지에 어떤 영향을 미치는지 알아보기 위하여, 블렌드 필름 파단면의 SEM 이미지를 얻어 분석하였다. Figure 9는
그래프트율이 서로 다른 CA-g-PLA의 첨가량을 15 phr로 일정하게 한 시료들의 파단면을 나타낸 것이다. 먼저 CA-g-PLA를 첨가하지 않은
CA(50)/PLA(50) 시료는 두 고분자가 각각 독립적인 상을 형성한 계면을 나타내면서 마치 sheath-core 구조처럼 되어 있으며, 겉을
형성하는 고분자는 많은 기공이 있으면서 매우 거친 파단면을 보이고 있다. 이는 CA와 PLA 사이에 전혀 혼화성이 없고 두 고분자의 고화온도가
다르기 때문에 두 고분자가 각각의 상을 형성하였기 때문이다. 이러한 두 고분자의 상분리 때문에 필름 시료의 물성은 매우 나쁘게 나타난 것이다.
여기에 그래프트율이 12.5%인 CA-g-PLA가 15 phr로 첨가되면 미첨가 시료와 같은 극단적인 상분리는 나타나지 않았지만, 여전히 CA와 PLA가 각각의
상을 형성하여 분리된 상태이며 일부 둥근 비드 형태들도 나타나 두 고분자가 비상용성을 나타내고 있다. 그래프트율이 16.9%로 커지면 완전히 분리된
층상 구조는 없어져 CA-g(16.9)-PLA가 어느 정도 상용화제로 작용하였음을 알 수 있다. 이 경우에는 층상 분리는 나타나지
않았지만 아직 비드 형태가 존재하고 매우 거친 파단면을 나타내고 있다. 그래프트율이 더 큰 CA-g-PLA를 15 phr 첨가하면 파단면이 점차 매끄러워 지면서 균일 상태로
바뀌어 상용성이 커지며, 그래프트율이 50.1%인 것을 사용하면 거의 일반 호모 필름의 파단면과 비슷하게 되었다.
Figure 10은
그래프트율이 일정한 CA-g-PLA의 첨가함량에 의한 영향을 보기 위한 것으로, 앞의 결과에서 어느 정도 상분리를 감소시킨 그래프트율
16.9%인 CA-g(16.9)-PLA를 0, 5, 15, 25 phr로 첨가한 시료들의 파단면 SEM 이미지들이다.
CA-g(16.9)-PLA를 5 phr 첨가시킨 시료는 미첨가 시료만큼은 아니지만 아직 심한 상분리를 보이면서 매우 거친 단면을 나타내고
있다. CA-g(16.9)-PLA의 첨가량이 15 phr로 많아지면 상분리가 더 줄어들었으며, 25 phr인 경우에는 상분리가 거의 없는 매끈한 파단면을
나타내었다. 즉, 그래프트율이 작더라도 첨가량을 많이 해주면 상용성을 크게 향상되어 파단면이 점점 매끄러워지고 상분리가 감소되었다.
시료들의 물성과 모폴로지
분석을 통해 CA-g-PLA의 그래프트율이 클수록, 첨가량이 많을수록 CA/PLA 블렌드의 상용성을 증가시킨다는 것을 알 수 있다.
그래프트율이 작은 경우에는 상대적으로 첨가량을 많게 하여야 상용성이 커진다. 다만, 상용화제로 사용하기 위해서는 CA나 PLA에 비해 너무 많은
양을 첨가하기는 곤란하기 때문에, 그래프트율이 큰 CA-g-PLA를 사용하는 것이 유리하다고 판단된다.
|
Figure 1 FTIR spectra of (a) PLA; (b) CA; CA-g-PLA with a graft yield (%) of (c) 12.5; (d) 16.9; (e) 26.7; (f) 34.4; (g) 38.4; (h) 50.1. |
|
Figure 2 Changes in IR band absorbances of CA-g-PLA with increasing graft yield. (a) –OH at 3476 cm-1; (b) -C-O-O- stretching at 1218 cm-1; (c) –C=O stretching at 1036 cm-1; (d) –C=O asymmetric stretching at 1756 cm-1; (e) -CH3 bending at 1456 cm-1; (f) –C-O-C- symmetric stretching at 1182 cm-1; (g) –CH3 asymmetric stretching at 1129 cm-1; (h) –C-O-C- asymmetric stretching at 1087 cm-1; (i) –C-COO- stretching at 871 cm-1; (j) –C=O bending at 755 cm-1. |
|
Figure 3 (A) GPC chromatograms of CA-g-PLA. Graft yield (%): (a) 0(CA); (b) 12.5; (c) 16.9; (d) 26.7; (e) 34.4; (f) 38.4; (g) 50.1; (h) homo PLA. (B) Increase in number average molecular weight of CA-g-PLA with increasing graft yield. |
|
Figure 4 (A) TGA curves of (a) CA; (b) PLA; (c) CA-g(34.4)-PLA. (B) Changes in degradation temperature of (d) main chain of CA; (e) graft chain of PLA with increasing graft yield; (f) degradation temperature of homo PLA. |
|
Figure 5 (A) DSC second heating curves of (a) PLA; (b)-(g) CAg-PLA; (h) CA; (i) the first heating curve of CA. Graft yield (%): (b) 12.5; (c) 16.9; (d) 26.7; (e) 34.4; (f) 38.4; (g) 50.1. (B) (a) Decrease in Tg of CA-g-PLA with increasing graft yield; (b) Tg of homo PLA. |
|
Figure 6 Tensile s tress-strain c urves of t he b lend films of (a) CA(50)/PLA(50) without CA-g-PLA; (b) CA(50)/PLA(50) containing 15 phr CA-g(50.1)-PLA; (c) CA(50)/PLA(50) containing 25 phr CA-g(16.9)-PLA. |
|
Figure 7 Effect of the graft yield of CA-g-PLA on the (A) tensile stress-at-break; (B) strain-at-break of the blend films of CA(50)/PLA(50)/CA-g-PLA containing the same 15 phr of CA-g-PLA with different graft yields. |
|
Figure 8 Effect of the addition amount (phr) of CA-g(16.9)-PLA on the (A) tensile stress-at-break; (B) strain-at-break of the blend films of CA(50)/PLA(50)/CA-g(16.9)-PLA. |
|
Figure 9 SEM images (×500) of the fracture surface of CA(50)/PLA(50) blend films containing the same 15 phr of CA-g-PLA with different graft yield (%) of (a) 0 (without CA-g-PLA); (b) 12.5; (c) 16.9; (d) 26.7; (e) 34.4; (f) 38.4; (g) 50.1. Scale bar: 60 μm. |
|
Figure 10 SEM images (×500) of the fracture surface of CA(50)/PLA(50)/CA-g(16.9)-PLA blend films containing different addition amount (phr) of CA-g(16.9)-PLA: (a) 0 (without CA-g-PLA); (b) 5; (c) 15; (d) 25. Scale bar: 60 μm. |
혼화성이 없는
CA와 PLA 고분자의 상용화제로 사용하기 위하여 여러 가지 그래프트율을 갖는 CA-g-PLA를 합성한 후 이들의 여러 가지 특성들을
분석하고, 이를 CA(50)/PLA(50) 블렌드에 추가한 필름 시료들을 제조한 후 기계적 물성과 모폴로지를 분석하여 다음과 같은 결론들을 얻었다.
CA-g-PLA는
CA와 PLA 두 고분자 각각 특성의 혼합이 아닌 공중합체의 단독 특성을 나타낸다. 그래프트율이 커질수록 CA-g-PLA의 분자량은
직선적으로 증가하고, CA-g-PLA의 유리전이온도가 점차 낮아져 PLA의 유리전이온도와 비슷해지며, CA 성분 및 PLA 성분에
기인하는 열분해 개시온도가 점차 낮아진다.
CA(50)/PLA(50)/CA-g-PLA
블렌드 시료에서 그래프트율이 서로 다른 CA-g-PLA를 일정량(15 phr) 첨가하면 그래프트율이 커질수록, 그래프트율이
일정한 CA-g(16.9)-PLA를 서로 다른 양을 첨가하면 첨가량이 많아질수록 파단응력과 파단변형률이 모두 크게 증가하고 상분리
현상이 감소하여, CA-g-PLA가 CA/PLA 블렌드의 상용화제로 사용될 수 있다.
감사의 글: 이 연구는 산업통상자원부 및 산업기술평가관리원(KEIT)의
연구비 지원으로 수행되었으며(과제번호 10052095), 이에 감사드립니다.
This Article2020; 44(3): 309-317
Published online May 25, 2020
Services
Correspondence toDepartment of Organic Materials and Fiber Engineering,
Soongsil University, Seoul 06978, Korea