
Do Hyeok Lee*,**,#, Jungmi Cheon*,#, Boo Young Jeong*, So-Young Park*, Jae hwan Chun*,†
, and Won-Ki Lee**,† 
*Korea Institute of Footwear & Leather Technology,
Busan 47154, Korea
**Department for Polymer Engineering, Pukyong National
University, Busan 48547, Korea
*한국신발피혁연구원, **부경대학교 고분자공학과
A new eco-friendly
biopolyurethane adhesives (WPIP) were prepared by using bio-based isosorbide
carbonate diol, 1,5-pentamethylene diisocyanate or 1,5-pentamethylene
diisocyanate. WPIP was manufactured according to the content of ethlyene
diamine (EDA) as the chain extender, and synthesized WPIP was confirmed by
using FTIR and 1H NMR. Through DSC and TGA, it was confirmed that
the thermal properties such as glass transition temperature and thermal
decomposition temperature were improved as the content of EDA was increased.
Mechanical and adhesive properties were evaluated by UTM. When the ratio of
NCO/OH of prepolymer was 1.3, tensile and adhesive strength were the best.
바이오 기반의
isosorbide carbonate diol과 1,5-pentamethylene
diisocyanate를 함께 이용하거나 1,5-penta-methylene diisocyanate만을 적용시킨 환경친화적인 폴리우레탄 접착제(WPIP)를
제조하였다. 사슬 연장제인 ethylene diamine(EDA)의 함량에 따라 WPIP를 제조하였고, FTIR과 1H
NMR을 사용하여 WPIP의 합성을 확인하였다. 또한 DSC와 TGA를 통해 열적 특성인 유리전이온도 및 열분해 온도가 EDA의 함량이 높아질수록 향상되는 것을 확인하였고, UTM을 사용하여 WPIP의 접착 및 기계적 특성을 평가한 결과, prepolymer의 ratio of NCO/OH가 1.3일 때 접착 및 인장 강도가 가장 우수하였다.
A new eco-friendly biopolyurethane adhesives (WPIP) were prepared by
using bio-based isosorbide carbonate diol and 1,5-pentamethylene diisocyanate
or only 1,5-pentamethylene diisocyanate. The adhesive strength increased to the
threshold. As a result of measuring the adhesive strength, it increased to a
threshold value (r=1.3).

Keywords: biopolyurethane, bio-based isosorbide carbonate diol, bio-based 1,5-pentamethylene diisocyanate
본 논문에서 사용된
isosorbide carbonate diol은 삼양사에서 지원받았으며, 이에 감사드립니다.
폴리우레탄은 폴리올의
-OH 화합물과 이소시아네이트의 -NCO 화합물의 중합반응에 의해 생성된 우레탄(-NHCOO-) 결합을 포함하는 고분자 화합물을 지칭하는 말로서 건축, 자동차, 전자
등 다양한 분야에서 여러 용도로 사용되며, 그중 한 분야가 접착제 분야이다. 접착제는 크게 두 종류로 용제형 폴리우레탄 접착제와 수성 폴리우레탄
접착제로 구분된다.
기존에는 용제형 폴리우레탄
접착제가 우수한 접착 특성 및 기계적 물성으로 인하여 주로 사용되었으며,1,2 이후 환경규제에 따른 휘발성 유기화합물(VOCs)
사용의 제한으로 인하여 수성 폴리우레탄 접착제로 대체되어 사용되고 있다.3-5 더 나아가, 현재는 유기용제 사용의 제한뿐만
아니라 석유계 폴리올 및 이소시아네이트 사용에 따른 발암물질 및 생식세포 변이원성 등의 문제로 인하여 보다 환경친화적인 바이오매스 유래의 폴리우레탄
접착제 개발에 대한 연구가
진행되고 있다. 바이오 폴리올은 이미 상업적 규모로 생산되고 있으며 이러한 바이오 폴리올을 적용시킨 폴리우레탄 접착제 개발이 진행되고 있다. 하지만,
바이오 이소시아네이트 혹은 바이오 폴리올과 바이오 이소시아네이트를 적용시킨 폴리우레탄의 개발은 진행이 더딘 상태이다.6-11
따라서 본 연구에서는
바이오 기반 isosorbide carbonate diol(ICD-44220) 및 1,5-pentamethylene
diisocyanate(PDI)을 함께 이용하거나 바이오 기반 1,5-pentamethylene diisocyanate만을 적용시켜, 여러 함량에
따른 새로운 친환경적인 바이오 폴리우레탄 접착제(WPIP)를 합성하였고, 합성된 WPIP의 구조 분석 및 분자량, 열적, 기계적, 접착 특성을
비교 분석하였다.
시약. 폴리올은 poly(tetramethylene
adipate)glycol(DT-2040, Daewon, Korea) 및 바이오 기반 isosorbide carbonate
diol(ICD-44220, Samyang, Korea)을 사용 전 85 oC의 진공상태에서 감압하여 수분을 제거 후 사용하였고, 이소시아네이트로는 바이오 기반 1,5-pentamethylene
diisocyanate(STABiOTM PDI, Mitsui Chemical, Japan)를
정제 없이 그대로 사용하였다. 사슬
연장제로는 ethylene diamine(EDA, Aldrich Chemical, USA), 1,6-hexanediol(Tokyo Chemical Industry,
Japan), 가교제로는 trimethylolpropane(TMP, Aldrich Chemical, USA), 아이노머로는 dimethylol
propionic acid(DMPA, Aldrich Chemical, USA), 중화제로는 triethylamine(TEA, Aldrich Chemical,
USA), 촉매로는 dibutyltin dilaurate(DBTDL, Aldrich Chemical, USA), methyl ethyl ketone(MEK,
Samchun Chemical,
Korea)을 정제 과정 없이 사용하였다. 평가에 사용된 reference는 henkel technology사의 수분산 PU 제품을 사용하였다.
WPIP(Waterborne
Polyurethane Using Bio-based Isosorbide Polycarbonate Diol and 1,5-Pentamethylene Diisocyanate) 합성. 오버헤드 교반기(IKA® EURO-STAR 60 digital), 질소 주입구,
환류 냉각기가 장착된 500 mL 4구 반응기에 수분이 제거된 isosorbide
polycarbonate diol 및 poly(tetramethylene adipate)glycol을 각각 DMPA와 함께 투입하고 질소 분위기에서
oil bath(SANSYO SOS-183A)를 이용하여 80 oC에서 약 1시간
동안 균일하게 교반하였다. 충분히 교반된 시점에 1,5-pentamethylene diisocyanate를 적하하였고 1시간 후, DBTDL를
첨가하여 약 4시간 동안 반응시켰다. 온도를 40 oC로 낮추고
TEA를 넣어 1시간 동안 중화 반응을 진행하였고, 증류수를 투입하여 600 rpm 이상의 고속으로 30분간 교반하여 수분산시켰다. 그 후
EDA를 증류수에 희석시켜 약 14시간 동안 반응을 진행시킨 후 반응을 종료하였고, evaporator를 통해 용매인 MEK를 증발시켜 최종적인
WPIP를 얻었다. WPIP의 반응 공정은 Scheme 1에 나타내었고 조성은 Table 1에 나타내었다.
Scheme 1. Synthetic process of bio-based waterborne polyurethane (WPIP): R1 is poly(tetramethylene adipate)glycol, R2 is 1,6-hexanediol, R3 is bio-based isosorbide carbonate diol.
분석. 구조 분석은 Fourier transform
infrared spectrometer (FTIR, NICOLET iS10, Thermo ScientificTM)를
사용하였다. 파장 범위 4000~400 cm-1에서 주사 횟수 32, 해상도는
4 cm-1로 스펙트럼을 분석하였다. 또한
1H NMR spectrum 600 MHz Agilent NMR system을 이용하여 측정하였으며 용매로 CDCl3를 사용하였고,
45 oC의 펄스 폭(pulse width), 1.704초의 지속시간(acquisition time)과 1.0초의 펄스 지연시간(relaxation delay time)의 조건으로 측정하였다.
접착강도를 측정하기
위해 universal testing machine(UTM, LT2100C, Labtron co.)을 사용하였고, 이때 시편은 EVA 폼과 합성 가죽을 2×10 cm로 절단하여 평가하였고 접착 공정은 Scheme
2에 나타내었다.
접착된 시편은 접착
후 30분 뒤에 초기 접착력을 측정하고 24시간 뒤에 상태 접착력을 측정하였다. 또한 24시간 건조시킨 상태 시편을 증류수에 48시간 방치한 후
내수 접착력을 측정하였다.
합성된 WPIP의 열적
성질인 유리전이 온도(Tg)는 differential scanning calorimetry(DSC, model: Q-100, TA
instrument)를 이용하여 분석하였다. 시료 10 mg을 알루미늄 팬에 넣고 승온 속도를 10 oC/min로 하여 -90 oC에서 250 oC에 걸쳐 1st
run을 측정하고 급랭시킨 후 -90 oC에서 250 oC에 걸쳐 2nd run을 측정하였다.
합성된 WPIP의
열적 성질인 열분해 온도(Td)는 thermogra-vimetric analysis(TGA, model:
Q-500, TA instrument)를 이용하여 분석하였다. 시료 10 mg을 알루미늄 팬에 넣고 상온에서 600 oC에 걸쳐 10 oC/min로 질소
존재 하에서 승온시키며 측정하였다.
합성된 WPIP의
기계적 성질인 인장 강도 및 신장률은 universal testing machine(UTM, model: DTU-900, PED Korea)를
사용하였고, 이때 시편은 필름 제작 후 60 oC 오븐에서 4시간 건조
후 상온에서 24시간 숙성시켰다. 그 후 인장 강도 시편 규격인 2.0×0.5 cm의 아령형으로 절단하여 평가하였다.
Scheme 2. Schematic diagram of the adhesion process.
구조 분석. WPIP의 합성 여부를 확인하기 위해서 FTIR과
1H NMR(CDCl3, 600 MHz, ppm)의 결과를 Figures 1~4에 나타내었다. Figure 1은 WPIP 합성에 사용된
폴리올인 Figure 1(a) DT-2040, Figure 1(b) ICD-44220의 적외선 분광 스펙트럼이다. 공통적으로 3500 cm-1 부근의 넓은 -OH 피크
및 1740 cm-1의 C=O 피크 등이 관찰되며, 차이점으로는 ICD-44220의 경우
850 cm-1 부근에서 C-O-C 피크가 관찰된다.
Figure 2는
폴리올로서 ICD-44220을 사용하여 합성된 WPIP의 단계별 적외선 분광 스펙트럼이다. Figure 2(a)는
ICD-44220과 DMPA를 교반했을
때의 단계이며, Figure 2(b)는 1,5-pentamethylene
diisocyanate와 DBTDL을 첨가한 직후, Figure 2(c)는 최종적인 프리폴리머가 합성된 단계이며, Figure 2(d)는 사슬 연장제인
EDA가 첨가된 후의 단계이다.
1700 cm-1의 -COO 피크의 형성,
2275 cm-1의 -NCO 피크의 감소, 3500 cm-1 부근의 -OH 피크의 감소
및 3200과 1500 cm-1 근처의 N-H 신축진동 피크를 보아 우레탄기가 형성된
것을 확인할 수 있다.12
Figure 3과 4는 각각 폴리올로써 ICD-44220와
DT-2040 이용하여 합성된 WPIP의 핵자기 공명 분광 스펙트럼으로 Figure 3의 경우, 3.04(CONHCH2-), 2.94(CONHCH2CH2CH2 CH2CH2-),
1.32(CONHCH2CH2-), 1.14(CONHCH2CH2CH2-)
및 3.50~4.75 ppm에서 isosorbide의 양성자들이 관찰되었다.13,14 Figure 4의 경우, 4.13(OHCH2CH2CH2CH2-),
2.32(OCOCH2-), 1.62(OHCH2CH2CH2-),
1.52(OCONHCH2CH2-), 1.3(OCONHCH2 CH2CH2-)가
관찰되었다.15,16
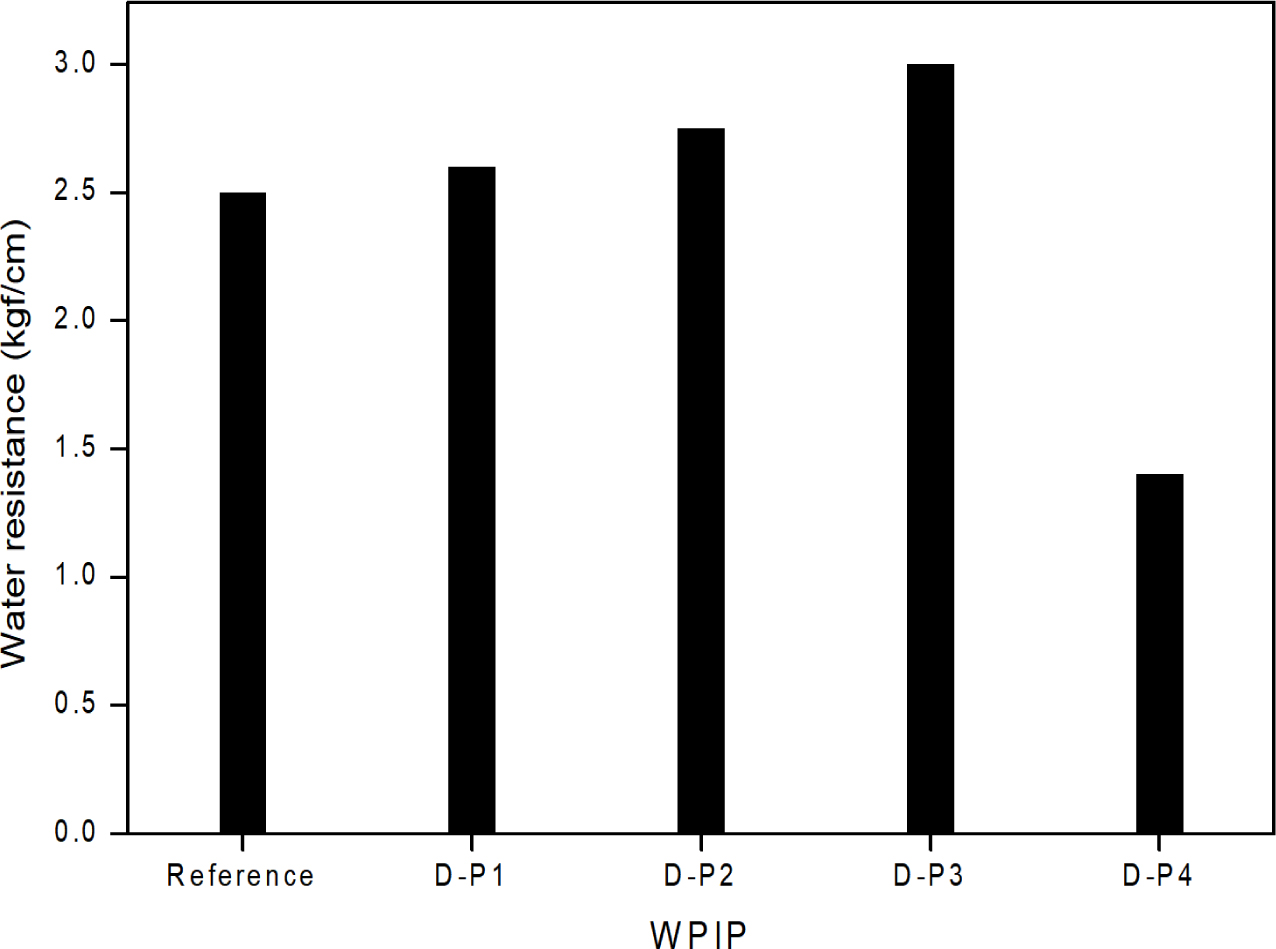
접착 특성. Figure 5와 6에 합성된 WPIP 접착제의 접착
강도를 측정하여 나타내었다. 측정결과 합성된 WPIP의 사슬 연장제의 함량이 많아질수록 초기 접착 강도(for 30 min), 상태 접착 강도(for 24 h) 및 내수 접착 강도가 증가하다가, 일정 부분 이상이
되면 다시 감소하는 것을 알 수 있다. 예를 들어, 프리폴리머의 RNCO/OH가 1.3일 때, 초기, 상태 접착 강도 및 내수 접착 강도가 각각 3.1,
3.4, 3.0 kgf/cm로 가장 높게 나왔고, 그 이후 다시 떨어지는 것을
볼 수 있다. 그 이유는 사슬 연장제의 함량이 증가함에 따라 hard segment가 증가하여 수분산 폴리우레탄의 수소와 카보닐 그룹의 산소 사이의
수소 결합에 의해 형성된 물리적 가교의 밀도가 증가하기 때문에 결합 강도가 증가하고 강성이 향상된다.17 하지만, 임계 비율(r=1.3)을
넘으면 가교가 너무 높고, 접착제의
응집력이 매우 강해 피착제와의 젖음성이 감소되어 접착 강도가 낮아지는 것으로 판단된다. 또한 복잡한 부반응을 야기할 가능성이 있어 오히려 접착력이
감소하게 된다. 예를 들어, 이소시아네이트를 물과 반응시켜 우레아를 형성하고, 우레아를 이소시아네이트와 다시 반응시켜 biuret를 형성함으로써
WPIP 접착제의 강성을 증가시키고 접착 강도를 감소시킨다.18,19
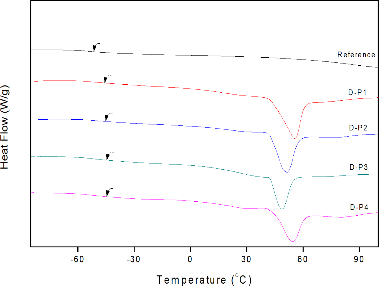
열적 특성. 합성된 WPIP의 열적 특성을 Figure 7과 8에
나타내었다. Figure 7과 8은 폴리올로서 각각 ICD-44220와 DT-2040을 이용하여 합성한 WPIP이고, 약 -30~-10 oC 및 -45 oC부근에서 Tg가
관찰된다. 또한 WPIP의 사슬 연장제의 함량이 증가함에 따라 Tg가 증가하는 것을 확인할 수 있었다.
Soft
segment의 거동은 주위의 hard segment에 의해 크게 방해를 받게 된다. 따라서 사슬 연장제의 함량이 증가함에 따라 soft
segment의 함량이 낮아지고 상대적으로 hard segment domain이 크게 발달하게 되어 사슬의 운동성과 관련 있는 soft
segment의 운동이 더욱 제약되기 때문에 Tg가 증가하게 된다.20-22
Figure
9~10에 TGA 분석 결과를 나타내었다. Figure 9와 10은 폴리올로서 각각 ICD-44220와 DT-2040을 이용하여 합성한
WPIP의 TGA thermograms이고, 약 190과 270 oC의 온도에서 폴리우레탄이
분해되기 시작한다. 이를 통해, 사슬 연장제의 함량이 증가할수록 열분해 온도가 높아지는 것을 확인할 수 있었다. 이는 사슬 연장제의 함량이 증가할수록
폴리우레탄의 물리적 가교 밀도가 증가하여 열 안정성이 향상되었기 때문이다.20
기계적 특성. 합성된 WPIP의 기계적 특성인 인장 강도와 신율을
Figure 11에 나타내었다. 폴리올로서 DT-2040을 이용하여 합성한 WPIP의 경우 분자량이 50000~70000으로 필름을 제작하는데
성공하였지만, ICD-44220을 이용한 경우, 분자량이 6000~8000으로 매우 낮고 물성이 좋지 못해 필름을 제작하는데 실패하였다.
Figure 11을
통해, 사슬 연장제의 함량이 증가함에 따라, 인장 강도는 증가하였지만 신율은 감소하였다. 그 이유는 WPIP의 사슬 연장제의 함량이 증가할수록
hard segment가 증가하여 수분산 폴리우레탄의 물리적 가교 밀도의 증가로 물리적 강도가 증가하여 인장강도가 증가하였고, 분자의 유동성에
영향을 주어 신율이 감소하였다.23-26 하지만, 프리폴리머의 RNCO/OH가 임계 비율(r=1.3)을 넘으면
매우 단단하고 쉽게 부서져 필름 형성이 어려웠다.
|
Figure 1 FTIR spectra of (a) DT-2040; (b) ICD-44220. |
|
Figure 2 FTIR spectrum of WPIP using isosorbide carbonate diol: (a) ICD-44220 + DMPA; (b) (a) + DBTDL + 1,5-pentamethylene diisocyanate; (c) NCO-terminated polyurethane prepolymer; (d) WPIP. |
|
Figure 3 1H NMR spectrum of WPIP using ICD-44220. |
|
Figure 4 1H NMR spectrum of WPIP using DT-2040. |
|
Figure 5 Adhesive strength of WPIP adhesives. |
|
Figure 6 Water resistance of WPIP adhesives. |
|
Figure 7 DSC thermograms of WPIP using ICD-44220: The arrows indicate Tg of samples. |
|
Figure 8 DSC thermograms of WPIP using DT-2040: The arrows indicate Tg of samples. |
|
Figure 9 TGA thermograms of WPIP using ICD-44220. |
|
Figure 10 TGA thermograms of WPIP using DT-2040. |
|
Figure 11 Tensile strength and elongation of WPIP films. |
본 연구에서는 바이오
기반 isosorbide carbonate diol 및 1,5-pentamethylene diisocyante을 함께 사용하거나 바이오 기반
1,5-pentamethylene diisocyante만을 적용시켜, 여러 함량에 따른 새로운 친환경적인 바이오 폴리우레탄 접착제(WPIP)를
합성하였고, 합성된 WPIP의 구조 분석 및 열적, 기계적, 접착 특성을 비교 분석하였다.
1. 합성된
WPIP의 FTIR, 1H NMR 분석 결과를 통해, 바이오 기반 수분산 폴리우레탄이 합성되었음을 알 수 있었다.
2. 합성된
WPIP의 접착 강도는 사슬 연장제의 함량이 증가함에 따라 증가하다가 임계 값(r=1.3) 이상일 때 다시 감소하는 경향을 보였다.
3. 합성된
WPIP의 DSC와 TGA 측정 결과 사슬 연장제의 함량이 증가함에 따라 Tg와 열분해 온도가 증가하였다.
4. 합성된
WPIP의 기계적 성질은 사슬 연장제의 함량이 증가함에 따라 인장 강도가 증가하였으며, 신율은 감소하였다.
대부분의 경우에서,
사슬 연장제의 함량이 증가함에 따라 즉, hard segment의 함량이 증가할수록 폴리우레탄의 물리적 가교 밀도가 증가하여 기계적 강도, 접착
특성 및 열적 특성이 향상된 것을 확인할 수 있었다. 또한, 기계적 성질 및 접착 특성에서는 특정 임계값(r=1.3)이 존재하였으며,
바이오 기반 폴리올 및 이소시아네이트를 이용하여 합성한 폴리우레탄의 경우 이소시아네이트 만을 이용하여 합성한 폴리우레탄에 비해 여러 특성들이 좋지
못하였다. 따라서, 이를 개선할 연구가 더 필요하다고 판단된다.
This Article2020; 44(3): 318-324
Published online May 25, 2020
Services
Correspondence to*Korea Institute of Footwear & Leather Technology, Busan 47154, Korea
**Department for Polymer Engineering, Pukyong National University, Busan 48547, Korea