
HyoWon Jun*,**,#, Boo Young Jeong**,#, Jungmi Cheon**, JiWon Hwang**, Won-Ki Lee*,†
, and Jae Hwan Chun**,† 
*Department of Polymer Engineering, Pukyoung National
University, Busan 48547, Korea
**Korea Institute of Footwear & Leather Technology,
Busan 47154, Korea
*부경대학교 고분자공학과, **한국신발피혁연구원
In this study, microcapsules
were synthesized by using five types of natural gums as surfactants. The
viscosity and emulsifier activity (E24) of the natural gum
solutions used in the experiment were measured, and synthesized microcapsules
were confirmed by optical microscopy (OM), field emission scanning electron microscope
(FE-SEM), Fourier transform infrared spectrometry (FTIR), thermogravimetric
analyses (TGA) and free-NCO content to have a spherical core–shell structure.
In addition, microcapsules were applied to thermoplastic polyurethane (TPU) to
prepare and evaluate coatings to confirm healing behavior. Natural gums
affected the synthesis of microcapsules, such as viscosity and oil droplet
size. Stable microcapsules were synthesized using tragacanth gum (TG) in
amounts diluted to 1.0 wt% or less in water.
본 연구에서 5종의
천연검을 계면활성제로 사용한 계면중합을 이용해 폴리우레탄 마이크로캡슐을 합성하였다. 실험에 사용된 천연검
수용액의 점도와 유화활성력을 측정하였으며, 합성된 마이크로캡슐은
free-NCO content 및 FTIR을 측정하고 광학현미경, FE-SEM, TGA로 분석하여 구형의 코어-쉘 구조를 확인하였다. 또한 마이크로캡슐을 열가소성 폴리우레탄에 적용하여 코팅제를 제조하고 손상을 주어 치유거동을 확인하였으며, 손상 전후와 치유 후의 물성을 측정하여 치유효율을 평가하였다. 천연검은
점도 및 오일방울의 크기에 대한 변수로 작용하여 캡슐의 형태를 변화시켰으며, 1.0 g 이하의
트라가칸스검을 사용하였을 때 가장 안정한 형태를 나타냈다.
Microcapsules were synthesized by using five types
of natural gums as surfactants. In addition, microcapsules were applied to
thermoplastic polyurethane (TPU) to prepare and evaluate coatings to confirm
healing behavior. Natural gums effected on the synthesis of microcapsules, such
as viscosity and oil droplet size. Stable microcapsules were synthesized using
tragacanth gum (TG) in amounts diluted to 1.0 wt% or less in water.

Keywords: natural gum, self-healing, microcapsule, thermoplastic polyurethane coating
재료에서 손상 및
미세 균열은 퇴화의 원인이 되며, 궁극적인 결과로 내구성의 단축이 일어날 수 있다. 자기치유 재료는 사용 및 기타 외부 요인으로 생성된 손상이나
미세 균열을 자체적으로 치유할 수 있는 소재로 자기치유를 통한 조기 감지, 진단 및 수리가 성능 저하를 방지하여 재료의 수명 연장, 유지보수
비용 감소, 신뢰성 증가 등의 장점을 가진다.1,2
자기치유의 여러 방법
중 마이크로캡슐화는 다른 방법과 비교하였을 때 치유속도가 빠르고, 치유효율이 높으며, 제조방법이 비교적 간단하고 쉽게 적용이 가능하다는 장점이
있다.3-7 마이크로캡슐은 코어물질을 갖는 미세화 용기로써 코어-쉘 구조를 형성하여 내부에 치유제, 가교제, 촉매 등을 포함하는
캡슐을 고분자 매트릭스에 균일하게 혼합함으로써 자기치유 시스템을 얻을 수 있다. 캡슐은 외부 자극으로 인해 외벽이 깨지면서 흘러나온 코어물질이
모세관 작용을 통해 손상부위를 채우고 반응을 통해 손상된 매트릭스를 치유할 수 있다(Figure 1). 자기치유 재료의 치유력은
치유효율로 나타내며, 이는 적용된 매트릭스에서 복원될 특성으로부터 측정된다. 치유효율에는 치유제의 특성, 마이크로캡슐의 함량 및 크기 등이 영향을
미치며, 캡슐의 크기는 다시 혼합장치의 구조 및 교반속도, 점도, 계면장력, 혼합온도, 계면활성제의 함량 및 성질 등과 같이 여러 인자에 좌우된다.8-16
마이크로캡슐화의 대표적인
화학적 합성방법으로는 계면중합법이 있다. 일반적으로 계면중합을 이용한 마이크로캡슐화에서 arabic gum(AG)은 단백질성 물질로 구성된 특수한
내부 구조로 인해 효율적인 계면활성제로 사용되어 왔다. 이러한 천연검은 고체 또는 액체 계면에 흡착되고 oil-in-water 에멀젼을 안정화시킬 수 있다.
하지만, AG의 모든 분자들이 흡착될 수 없고 따라서 고농도의 사용량이 요구된다. 이에 비해 일부 다른 천연검들은 낮은 농도에서도 효과적인 표면활성을 나타냈다.
따라서 비교적 적은 함량의 천연검을 사용한 계면중합으로도 마이크로캡슐의 합성이 가능할 것으로 생각되었다.17-27
본 연구에서는 자기치유
마이크로캡슐 합성에서 천연검의 계면중합에 대한 적용가능성을 알아보기 위해 AG 외에도 tragacanth gum(TG), locust bean gum(LG), guar
gum(GG), xanthan gum(XG)을 사용하였다. 계면중합으로 마이크로캡슐을 합성하고 특성을 평가하여 적용가능한 천연검을 선정하였으며, 선정된 천연검의 함량별 실험을
통하여 마이크로캡슐의 직경 및 형태의 변화와 그에 따른 특성의 변화를 측정하였다. 또한 합성된 마이크로캡슐을 thermoplastic
polyurethane (TPU)에 균일하게 혼합하여 자기치유 코팅제를 제조하고 치유효율 등의 특성을 평가하였다.
|
Figure 1 Healing behavior: (A) self-healing micro capsule-embedded coating; (B) damage to coating and releases healing agent; (C) coating filled with healing agent; (D) damage healed.12 |
시약 및 재료. 프리폴리머 합성에는
toluene-2,4-diisocyanate (TDI, TCI) 및 1,4-butanediol(BD, Sigma Aldrich)를 80 oC에서 감압하에 1시간 탈포 후 사용하였으며, methyl ethyl ketone (MEK, SAMCHUN)를 구매하여 사용하였다.
마이크로캡슐 합성에는
사슬연장제로 BD를 사용하고, 코어물질로 isophorone diisocyanate(IPDI, Sigma Aldrich), 계면활성제로
AG(ACROS ORGANICS), TG(Alfa Aesar), LG (Sigma Aldrich), GG(Sigma Aldrich), XG(TCI), 유기 용매로
chlorobenzene(CB, ACROS ORGANICS)을 구매하여 정제 없이 사용하였다.
마이크로캡슐을 합성하고
탈이온수로 세척 후 실리카겔(SAMCHUN)을 건조제로 사용하였다.
Free-NCO
content 측정에는 dibutylamine(DBA, TCI), toluene(SAMCHUN), hydrogen chloride(HCl,
SAMCHUN), isopropyl
alcohol(IPA, SAMCHUN), bromo phenol blue(BPB, Sigma Aldrich)가 정제 없이 사용되었다.
치유성능 평가를 위한
코팅제 제조에는 동성코퍼레이션에서 TPU제품인 NEOTIE 3202H 및 NEOTIE 9202VH를 구매하고 톨루엔에 용해시켜 사용하였다.
프리폴리머 합성. 프리폴리머 합성을 위하여 오버헤드 교반기(IKA® EUROSTAR 60 digital), 환류 냉각기,
질소 주입구가 설치된 500 mL 4구 플라스크에 BD와 MEK를 투입한 후 질소분위기를
형성하고 oil bath(SANSYO SOS-183A)를 이용하여 80 oC까지 승온하고 1시간 동안 교반하였다. 온도가 안정화된 시점에서 MEK로 희석한 TDI를 적가한 뒤 24시간 동안
반응을 진행하여 말단에 이소시아네이트 반응기가 결합된 우레탄 프리폴리머 TDI-BD prepolymer(TBP)를 합성하였다. 합성된 프리폴리머는
회전 증발 농축기(Rotavapor® R-100, BÜCHI)를 사용하여 감압증류를 통해 용매를 제거한 뒤
보관하였다. TBP의 조성은 Table 1에 나타내었다.
마이크로캡슐화. 마이크로캡슐 합성을 위해 500 mL 4구 플라스크에
증류수 100 g 및 천연검을 투입하고 프로펠러형의 임펠러가 장착된
오버헤드 교반기를 이용하여 상온에서 1시간 동안 500 rpm으로 교반하여 용액 A를 제조하였다. 합성된 TBP 10.0 g을 CB 13.8 g에 30분 간 녹인 뒤 IPDI 21.1 g을 첨가하여 용액 B를 제조하였다. 교반속도를 1000
rpm으로 상승시킨 후 용액 B를 용액 A에 천천히 가하고 oil bath를 사용하여 50 oC로 승온시켜 주었다. 온도가 50 oC에 도달하면 사슬연장제로 BD 10.7 g을 천천히 넣어준 뒤 80 oC까지 승온시키고 1시간 동안 교반한 뒤 반응을 종결시켰다. 이 후 반응물을 충분히 식히고 감압여과 및 증류수로 여러
번 세척하여 마이크로캡슐을 수득하였다. 수득된 마이크로캡슐은 잔여수분을 건조하기 위해 진공데시케이터에서 실리카겔과 함께 보관하였다. 건조된 마이크로캡슐의
수득률은 식 (1)을 통해 계산하였다.

여기서, WMicrocapsule,
WPrepolymer, WBD 및 WIPDI는
캡슐화에 사용된 마이크로캡슐, 프리폴리머, BD 및 IPDI의 질량(g)이다. 마이크로캡슐의 조성 및 수율은 Table 2에, 반응공정은
Scheme 1에 나타내었다.
Scheme 1. Synthesis mechanism of polyurethane microcapsule.
마이크로캡슐 분석. 마이크로캡슐의 형태는 광학현미경(Xi-CAM,
Shinhan Scientific Optics)을 사용하여 500배의 배율로 측정되었으며, 이미지분석 프로그램 Active Measure을 이용하여
마이크로캡슐의 직경을 측정하였다.
마이크로캡슐 외벽의
표면 형태 및 두께는 FE-SEM(JSM-6701F, JEOL LTD)을 이용하여 확인하였다.
마이크로캡슐의 열
중량 변화를 알아보기 위해 TGA(TA instruments, TGAQ-5000)를 사용하여 승온속도 10 oC/min으로 상온에서 500 oC에 걸쳐 분해 온도를 측정하였다.
합성된 프리폴리머의
반응 여부와 코어물질을 확인하기 위해 FTIR(Thermo ScientificTM Nicolet iS10 FTIR
spectrometer)로 파장범위 4000-400 cm-1에서 주사회수 32회, 해상도 4 cm-1로 KRS-5 셀을 사용하여
분석을 진행하였다. 캡슐의 외벽은 MEK에 녹인 후 건조하고 FTIR attenuated total reflectance 모드로 Ge 셀을 사용하여 파장범위 4000-500 cm-1에서 주사회수 16회, 해상도
4 cm-1로 분석하였다.
마이크로캡슐의 파괴
및 방출 거동을 확인하기 위해, 2개의 슬라이드 글래스 사이에 0.1 g의 건조된 마이크로캡슐을 놓고 핸드 프레스를 사용하여 10분간 0-5 MPa 압력을 가해 흘러나온 코어물질을 DBA 용액(10 mL, 2 N, toluene)에 용해시키고 역정적법으로
free-NCO content를 측정하여 방출된 코어물질의 상대적인 함량을 비교하였다. Free-NCO content는 식 (2)를 통해 계산되었다.
B는 샘플을 사용하지 않고 진행된 DBA용액 blank
test에 사용된 HCl의 부피(mL), V는 샘플 적정에 사용된 HCl 부피(mL), N은 HCl의 노르말농도이며,
W는 샘플의 질량(g)이다.
천연검의 특성 분석. 천연검 수용액을 13.8 g의 CB가 들어있는 바이알에 첨가하고 2분 동안 혼합한
뒤, 50 oC 및 80 oC 오븐에서 24시간
동안 방치한 후 분리된 층의 높이를 이용하여 식(3)으로 E24를 측정하였다.

천연검 수용액의 점도는 점도계(DVE
Viscometer, Brookfield)와 1000 cps 이하의 점도에서는 spindle 01을 그 이상에서는
spindle 06을 사용하여 10 rpm의 속도로 실온에서 측정되었다.
마이크로캡슐이 내재된 필름 제조 및 물성평가. NEOTIE 3202H 및 NEOTIE 9202VH를
80 oC에서 톨루엔에 녹여 TPU 코팅제를 제조하고, 합성된 마이크로캡슐을 CB 10.0 g에 1시간 동안 마그네틱바를 사용하여 분산된 마이크로캡슐
분산액을 제조하였다. 캡슐은 TPU 고형분에 대한 wt%를 계산하여 첨가하였다. 코팅제의 조성은 Table 3에 나타내었다.
코팅제로 제조된 필름은
scalpel blade No. 11(HSB713-24, Karl Hammacher GmbH)를 전동식 연필경도시험기(SB-191, THE
LAB COMPANY)에 장착하여 150 mm/min의 속도로 균일한 손상을 가한 뒤 광학현미경으로 치유거동을 확인하였으며, 손상된 필름을 상대습도
70~80% 및 상온에서 이틀간 방치하여 치유하였다. Universal testing machine(UTM, UTM 3345, Instron
corporation)을 이용하여 치유 전, 후의 물성을 측정하고 식 (4)로 치유효율을 계산하였다.

fI 및 fH는 각각 손상
전 및 치유 후의 파단 인장강도 값이다. 인장시편은 ASTM D638을 따라 제작되었다.
마이크로캡슐의 형태 및 수율. 5종의 천연검을 사용한 계면중합으로 합성된 마이크로캡슐의
광학현미경 및 FE-SEM 이미지를 Figure 2에 직경 및 두께는 Table 2에 나타내었다.
다른 종류의 천연검을
사용하여 합성된 마이크로캡슐의 형태는 AG를 사용하여 합성된 것과 같은 구형을 나타냈다. 사용된 천연검 중에서 AG와 TG를 사용한 마이크로캡슐은
매끄러운 표면을 나타냈지만 LG, GG, XG를 사용하여 합성된 마이크로캡슐은 표면에 작은 공극이 관측되었으며, GGC100과 XGC100에서는
외벽의 두께가 균일하지 못했다. 이는 마이크로캡슐의 외벽이 형성될 때, 유기상 내부의 수성액적이 외부 수성상으로 전달되어 포획효율이 감소한 결과로
생각된다. 이러한 구조는 코어물질이 흘러나오거나 캡슐 내에서 수분과 반응 또는 중합 시 캡슐이 내부에 코어물질을 포함하지 않을 가능성이 있기
때문에 사용에 적절하지 않을 것으로 판단되었다. 따라서 수율과 형태가 우수했던 TGC100을 합성하는데 사용된 TG를 계면활성제로 선정하여 추가
실험을 진행하였다.28-30
선정된 천연검의 함량을
변수로 하여 마이크로캡슐을 합성하고 이에 따른 형태 변화를 Figure 3과 Table 4에 나타내었다. TG 함량이 0.25 g에서 0.50, 0.75, 1.25 및 1.50 g으로 증가함에 따라 마이크로캡슐의 크기는 130에서
50 μm까지 감소했으며, 외벽 두께는 10에서 2 μm까지 감소했다. 또한 TGC125 및 TGC150에서는
찌그러진 캡슐 형태를 보인다. 이는 검함량의 증가에 따라 소형의 미셀이 다량 생성되며, 각각의 미셀이 중합반응 시에 받게 되는 전단력이 증가하여
응력완화를 위해 캡슐 형태가 변형된 것으로 판단된다.22,31
천연검의 특성. 계면중합에서 천연검의 영향을 평가하기 위하여 계면활성제
수용액 및 CB를 마이크로캡슐 합성에 사용된 것과 동일한 양으로 혼합하고, 24시간 후의 E24 측정결과를
Figure 4와 Table 4에 나타내었다. 50 oC 및 80 oC의 마이크로캡슐 공정 온도에서 24 시간 후에 오일, 물 및 에멀젼의 층을 형성하였다. E24는 주어진 특정
조건 하에서 오일방울의 크기와 직접 관련된 에멀젼을 형성하는 능력을 나타낸다. 일반적으로, E24 값이 커질수록 오일방울 크기가 감소한다.32,33
에멀젼 층은 AG
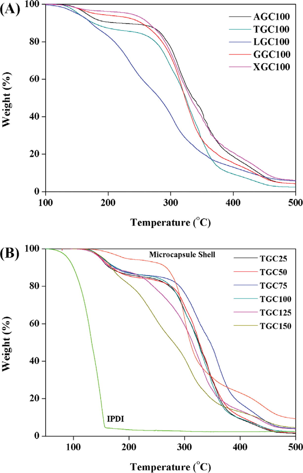
마이크로캡슐의 열적 거동. 합성된 마이크로캡슐의 구성성분은 TGA 데이터의 분석으로
추정되었다. Figure 5(B)에서 잔류성분 및 IPDI의 증발로 인한 중량감소는 약 100 oC에서 나타나며, 약 300 oC에서의 중량 감소는
우레탄 외벽 연질 세그먼트의 분해, 경질 세그먼트 및 잔류물의 분해는 450 oC의 최종 중량감소로 나타났다.
Figure
5(A)는 다른 천연검을 사용하여 합성된 마이크로캡슐의 TGA 결과를 보여주며, AGC100 및 TGC100은 명확하게 분리된 영역을 나타낸다.
그러나 LGC100은 분해영역을 구분하기가 어렵고, 이는 불안정한 외벽의 형성으로 인한 것으로 생각된다. 또한 GGC100 및 XGC100은
IPDI에 의한 중량감소비율이 AGC100과 TGC100보다 낮았다. 이는 외부 표면에 공극이 형성됨으로써 소량의 코어물질을 포함하는 것으로 판단된다.
Figure
5(B)는 TG 함량에 따라 합성된 캡슐의 TGA 측정 결과이다. TGC25, TGC50, TGC75 및 TGC100은 유사한 결과를 나타내며,
이는 IPDI 코어를 함유하는 안정한 마이크로캡슐의 합성을 나타낸다. 그러나 TGC125 및 TGC150의 내용물은 주름진 캡슐의 표면 형태와
얇은 외벽 두께로 인해 불안정한 형태의 분해를 하는 것으로 보인다.3,34-36
마이크로캡슐의 파괴거동. 마이크로캡슐의 파괴 및 코어물질의 방출 거동을 확인하기
위해 free-NCO content를 측정하였다. 핸드 프레스를 사용하여 0-5 MPa에서 TGC50을 파괴하고, 방출된 코어물질의
free-NCO content를 측정한 결과는 Figure 6(A)에 나타냈다. 2 MPa 이상에서
방출량이 큰 차이를 보이지 않아 대부분의 캡슐이 파괴된 것으로 보인다.
다른 종류의 천연검을
사용하여 합성된 마이크로캡슐을 5 MPa에서 파괴하여 측정된 free-NCO
content를 Figure 6(B)에 나타내었다. 모양이 불안정한 LGC100, GGC100 및 XGC100은 낮은 값을 보였으며, 안정한 구형의
AGC100 및 TGC100에서 높은 값을 나타냈다. 이러한 결과로부터 캡슐 형태가 안정할수록 코어함량이 높은 것을 확인할 수 있었다.
Figure
6(C)의 TG 함량별로 합성된 마이크로캡슐의 평가에서는 TG 함량이 증가함에 따라 free-NCO content가 감소하였다. 이는 마이크로캡슐의
직경이 클수록 내부를 채울 수 있는 코어물질이 많아지기 때문으로 생각된다.37,38
마이크로캡슐의 성분 및 화학적 특성. TDI 및 BD를 사용한 우레탄 프리폴리머의 합성과
마이크로캡슐의 우레탄 반응과 외벽
및 코어물질의 화학적 특성을 판단하기 위하여 디올, 프리폴리머, IPDI, 마이크로캡슐 외벽 및 코어물질의 FTIR 측정결과를 Figure 7에 나타내었다.
디올에 의한 약
3360 cm-1의 -OH 피크와 -CH2 (2960 cm-1) 피크를 확인할 수 있으며, 우레탄 반응 후에 -NH 신축 진동에 의한 피크(3320 cm-1)가 나타난다. 에스테르 신축
진동 -C=O 피크(1710 cm-1), -COC 신축 진동(1220 cm-1, 1070 cm-1), -OH 피크(3420 cm-1) 및 TDI의 방향족 고리에
의한 피크(1530 cm-1)로 우레탄 반응을 확인할
수 있다. 또한 이소시아네이트기(-NCO)의 신축 진동 흡수 피크는 2270 cm-1에서 나타났으며, 이는 사슬의
양 말단에 이소시아네이트기를 함유하는 우레탄 프리폴리머가 합성되었음을 나타낸다.14,37,39
사슬연장 단계에서
-NCO 피크(2270 cm-1)가 감소하는 것은 상대적으로
반응성이 높은 방향족 이소시아네이트 TDI를 포함하는 프리폴리머의 미반응 이소시아네이트기가 BD와 반응하여 폴리우레탄 외벽을 형성하였음을 나타낸다.
또한 IPDI와 코어물질에서 나타나는 유사한 스펙트럼으로부터 상대적 반응성이 낮은 지방족 이소시아네이트인 IPDI가 캡슐화되었음을 알 수 있다.
코어물질에서 나타나는 -CO(1700 cm-1) 및 방향족 탄소결합(1530 cm-1) 피크는
일부 잔류 프리폴리머가 포함되었음을 나타낸다. 따라서 BD에 대한 IPDI 및 TDI의 반응성의 차이로 IPDI를 코어물질로 가지는 우레탄 마이크로캡슐의
합성을 확인하였다.12,30,40,41
마이크로캡슐이 내재된 코팅제의 치유거동. 5 wt%의 TGC50이 내재된 코팅제의 치유거동을
Figure 8에 나타내었다. 광학현미경을 통하여 제조된 코팅제에 손상을 가한 뒤 3시간 후에 캡슐로부터 코어물질이 흘러나오는 것을 확인할 수
있었으며, 2일 후 흘러나온 IPDI가 모세관현상을 통해 균열부분으로 퍼지며, 수분과의 반응을 통해 경화되어 손상부위를 치유하는 것을 확인하였다.
마이크로캡슐이 내재된 코팅제의 물성 및 치유효율 평가. 마이크로캡슐이 TPU 코팅제의 기계적 물성과 치유효율에 미치는 영향을 알아보기 위하여 0,
1, 3, 5, 10 및 20 wt%의 TGC50이 내재된 TPU 필름의 손상 전, 후 및 치유 후의 stress-strain(S-S)
curve를 측정하고 Figure 9에 나타내었다. 마이크로캡슐의 함량이 증가할수록 인장강도와 신율이 감소함을 나타낸다. 이러한 현상은 캡슐과
고분자 매트릭스 사이의 계면 약화 및 고분자 매트릭스에 비해 약한 마이크로캡슐의 기계적 강도로 인한 것으로 판단된다. 또한 매트릭스에서 캡슐의
응집 및 불균일한 분산성이 필름에서 응력 집중점으로 작용하였을 것으로 생각된다. 마이크로캡슐의 함량이 증가함에 따라 치유효율은 증가하였지만, 기계적
강도가 크게 감소하였다. 이는 IPDI의 경화로 치유된 부분이 가지는 인장특성이 TPU의 물성보다 낮기 때문에 더 높은 회복을 나타내지 못하는
것으로 보인다.31,42
|
Figure 2 OM and FE-SEM images of the microcapsules using different types of natural gum. |
|
Figure 3 OM and FE-SEM images of the microcapsules using different contents of TG. |
|
Figure 4 E24 of natural gums according to different conditions: (A) gum types at 50 oC; (B) gum types at 80 oC; (C) TG contents at 50 oC; (D) TG contents at 80 oC. |
|
Figure 5 TGA thermograms of microcapsules synthesized according to synthesis conditions: (A) gum types; (B) TG contents. |
|
Figure 6 Free-NCO content of microcapsules: (A) fractured different pressure; (B) prepared using different types of natural gums; (C) prepared using different contents of TG. |
|
Figure 7 Comparison of FTIR spectra of microcapsule shell and core materials of TGC50. |
|
Figure 8 Healing behavior of self-healing microcapsule-embedded TPU coating after cutting: (A) immediately; (B) 3 hr; (C) 2 days. |
|
Figure 9 S-S curves of TPU coatings containing TGC50: (A) 0MTPU; (B) 1MTPU; (C) 3MTPU; (D) 5MTPU; (E) 10MTPU; (F) 20MTPU. |
본 연구에서는 실험을
위해 BD와 TDI를 사용하여 프리폴리머를 합성하고, 합성된 프리폴리머와 5종의 천연검을 사용하여 마이크로캡슐을 제조하였다. 또한 마이크로캡슐을
TPU에 적용하여 자기치유 코팅제를 제조하고 치유효율을 평가하였다.
1. 천연검을 계면활성제로
사용하여 계면중합과 우레탄 반응을 통해 캡슐을 합성하였으며, TG의 함량별 실험을 통해 1.0 g 이하를 사용하였을 때 안정한 형태의 마이크로캡슐이
합성된 것을 확인하였다.
2. 천연검은 계면중합에서
점도 및 오일방울 크기 등의 마이크로캡슐 합성에 변수로 작용하였다. 천연검 수용액의 점도가 높을수록 캡슐의 수율과 형태에 대해 부정적인 영향을
나타냈으며, 유화력의 증가에 따라 캡슐의 직경이 감소하는 경향을 보였다.
3. 합성된 마이크로캡슐은
광학현미경, FE-SEM, FTIR 및 TGA 분석 등을 통하여 IPDI 코어와 폴리
우레탄 외벽을 가지는
코어-쉘 구조의 마이크로캡슐이 합성된 것을 확인하였다.
4. 천연검의 종류에
따라 합성된 마이크로캡슐의 상대적인 코어함량은 free-NCO content로 측정되었으며, XG
This Article2020; 44(3): 325-333
Published online May 25, 2020
Services
Correspondence to*Department of Polymer Engineering, Pukyoung National University, Busan 48547, Korea
**Korea Institute of Footwear & Leather Technology, Busan 47154, Korea