
Zeyneb Hamadi*,**,†
, Rabah Chaid*, Mohammed Kebir**,***,
Siham Amirou****, Hisham Essawy*****, and Antonio Pizzi****
*Faculty of
engineering, Research Unit Materials, Processes and Environment URMPE,
University M’hamed Bougara of Boumerdes/FSI, Frantz Fanon City, Indépendance
Avenue 35000 Boumerdes, Algeria
**Research Unit
on Analysis and Technological Development in Environment (URA-DTE/ CRAPC),
BP 384, 42000 Bou-Ismail, Tipaza. Algeria
***Laboratory of
Reaction Engineering, FGMGP/USTHB, BP 32, 16111 Algiers, Algeria
****LERMAB,
University of Lorraine, EA 4370, 27 rue Philippe Séguin, BP 21042, 88051 Epinal
cedex 9, France
*****Department of Polymers and Pigments, National Research Centre, Dokki 12622,
Cairo, Egypt
In this study, new adsorbent
tannin foam was prepared from Algerian natural pinus halepensis tannin (APTF).
The prepared material has been used as an efficient and environmentally
friendly adsorbent to remove chromium (Cr(VI)), which is considered as the most
toxic pollutant in wastewater. The different features of the adsorbent in terms
of the structural and morphological characteristics were studied. The impact of
different factors on the adsorption process, such as pH, adsorbent mass,
initial Cr(VI) concentration, and temperature, was investigated. The data
obtained from the Cr(VI) adsorption revealed an improvement of the removal
efficiency with increasing the adsorbent dose, the pH had a notable effect on
Cr(VI) adsorption capacity, whereas the effectiveness decreased by rising the
initial metal concentration. In addition, it was observed that adsorption
efficiency enhanced with increasing temperature, indicating that the adsorption
was endothermic and spontaneous in nature. Moreover, the results were best
represented by the pseudo-second order kinetic model and the Langmuir isotherm
model (qm = 400 mg·g-1) at
293 °K and pH ~2.
The purpose of this work is to demonstrate the adsorption
potential of new adsorbent tannin foam was prepared from Algerian natural pinus
halepensis tannin (APTF). The prepared material has been used to remove
hexavalent chromium Cr(VI) considered as the most toxic emerging pollutants from wastewater with a more efficient and environmentally
ecofriendly way. Overall, this study divulges that the foam developed is
promising, inexpensive, and has the potential to purify polluted water.

Keywords: adsorption, foam, Cr(VI), isotherms, kinetics
Authors acknowledge the financial support provided by
DGSRDT, URA-DTE and CRAPC.
Recently, issues of water pollution has recently gained great concern
worldwide. Thus, coping with the pollution problems of water while securing
sufficient supply of clean water for human consumption constitutes a great
challenge from scientific point of view.1 The presence of emerging
contaminants such as hexavalent chromium (Cr(VI)) is considered as a definite
carcinogenic hazard either by oral or dermal absorption. Inhalation can also be
a reason for cancer in lungs as well as in the digestive tract, epigastric
pain, nausea, vomiting, severe diarrhea and hemorrhage in many cases especially
for persons exposed frequently to an adequate airborne concentration.2
The ejection of these compounds into the aquatic environment can cause death of
all living organisms. Various materials are conventionally dedicated for the
purpose of water treatment, including activated carbon, activated sludge and
technologies processes like advanced oxidation, reverse osmosis membranes and
nano filtration. Nevertheless, these techniques are not much effective for
treatment in case of complicated water compromising different categories of
pollutants such as metals, surfactants, personal care products, industrial
additives and pharmaceutical compounds.
In this context, among the major
effective processes of treatment comes the adsorption technique, which has a
distinct advantage over the other techniques due to its easier and practical
use in aqueous media. The nature of an adsorbent plays a key role in any
adsorption technique. The focus on low cost adsorbents, formulated preferably
from natural substances and local waste, while exhibiting high performance, has
been explored by many researchers.3 Tannins are inexpensive, natural
substances that can be easily extracted from plants. As they are principally
rich in adjacent phenolic hydroxyls, they have a high affinity for complexing
metal ions.4,5 A reasonable number of previous studies have drawn
the attention to the efficacy of adsorbents fabricated from tannins in the
removal of a wide range of pollutants such as dyes,6 microorganisms,7
surfactants8 and heavy metal ions.9-13 Rigid tannin foams
have been recognized for some time, but their utilization as adsorbents has
just been explored few years ago.9,14 Rigid tannin foams are mainly
formulated from commercial tannin extracts, such as Quebracho (Schinopsisbalansae),
Mimosa (Acacia mearnsii) or Pine (Pinuspinaster). This study
focus on the exploration of constructing rigid tannin foams from Pine (Pinus
halepensis) bark tannin and employing them as adsorbents. Pinus
halepensis is one of the important forest species in the Mediterranean basin.
It covers over 900000 hectares in Algeria alone.15 Great
responsiveness for the exploitation of Mediterranean pine forests is intended
for wood production. Thus, using Algerian pinus halepensis bark as a raw
material for foam production is meaningful issue to be considered. The foam is
basically prepared under acidic conditions while making use of furfuryl alcohol
as a crosslinking agent and diethyl ether as a foaming agent.14,16
Several characterization techniques are devoted for the characterization of the
foam including Fourier transform infrared (ATR-FTIR), thermogravimetric
analysis (TGA) and scanning electron microscopy (SEM). Furthermore, the foams
were evaluated for their potential applicability as efficient adsorbent for
Cr(VI) elimination from aqueous solutions. The study is extended to several
different influences on the adsorption process, such as contact time, pH,
adsorbent dose, initial Cr(VI) concentration, and temperature. In addition,
adsorption kinetics, thermodynamic parameters, and isothermal characteristics
of the adsorption process at equilibrium were also studied.
Materials. The pinus halepensis bark was
collected from the forest of Boumerdes region, north Algeria. The barks were
air-dried and crushed in a mill and screened to a particle size below 500 μm.
Methanol (CH3OH; 99.8% purity), folin reagent (C10H5Na5OS;
97% purity) reagent (1/10; v/v in demineralized water), sodium carbonate (Na2CO3;
99% purity) solution (0.7 M), sodium sulfite (Na2SO3;
98.5% purity), sodium bisulfite (NaHSO3; 35% purity), formaldehyde
(CH2O; 37% purity), hydrochloric acid (HCl; 37% purity), furfuryl
alcohol (C5H6O2; 98% purity), glyoxal (C2H2O2;
40% in water), diethyl ether in analytical purity grade 99.5%, p-toluenesulfonic
acid (PTSA; 98% purity), potassium dichromate (K2Cr2O7;
99% purity) and sodium hydroxide (NaOH; 98% purity) were all supplied from
Sigma-Aldrich Chemical Co.
Preparation
of the Adsorbent (APTF). The extraction of tannins was
carried out in water using the reagents NaOH, Na2SO3 and
NaHSO3 at 80 °C for 120 min, while the liquid to solid ratio of
the sample in the aqueous phase was fixed at L/S=8.17 The extraction
was carried out in triplicate. Sodium hydroxide (NaOH) was used to improve the
extraction yield whereas the sodium sulphate (Na2SO4) and
sodium bisulphite (NaHSO3) were used to decrease and stabilize the
viscosity of the extract. Afterward, the supernatant was filtered using Whatman
filter paper (No. 1, 0.45 μm) and the residue was washed with distilled
water. Finally, the extract was evaporated at reduced pressure on a rotary
evaporator and subsequently lyophilized. The obtained extract was used to
preparing pine foam.
A standard recipe for pine foam preparation has been described previously
with some modifications.18 In brief, 30 g of the extracted pine bark
tannin was mixed with water (6 g) and furfuryl alcohol (19 g). Then,
glyoxal (7.4 g) was added as additional crosslinking agent. Continuous
shaking of the mixture was conducted until a homogeneous liquid was ensured.
After that, 1 g of diethyl ether was added as a foaming agent. At last,
11 g of p-toluenesulfonic acid (pTSA) solution (65% (w/v) of mass
of PTSA dissolved in distilled water volume) was added as a catalyst. The foams
were evolved in few minutes after adding the catalyst. The foams were then
divided into small pieces and cured for 24 h to remove any residual solvent.
Subsequently, grinding was undertaken to convert them into the powder form in
order to maximize the surface area. The adsorbent derived from pine tannin foam
(APTF) was washed to remove any remaining un-reacted reagents and eventually
dried at 60 °C.
Characterization
Methods. FTIR spectroscopic analysis was scanned in the wavelength
range 4000-400 cm-1 at a resolution of 4 cm-1 for
investigation of the chemical functionality of the tannin pine bark and characteristics
of the adsorbent using Bruker Alpha Spectrum equipped with ATR-FTIR module.
The thermal analysis was performed on TA instrument (TGA Q50 instrument).
The temperature run covered the range from 25 to 600 °C at a heating rate
of 10 °C/min under air flow of 40 mL/min.
The morphology of the APTF adsorbent was examined before and after Cr(VI)
adsorption using field emission scanning electron microscopy (FE-SEM, HITACHI
S-4700 ) operated at 20 kV acceleration voltage.
The point of zero charge of APTF (PZC) is the pH of the aqueous solution
in which the solid exists under neutral electric potential, which can be
identified using the experimental protocol described by Lopez-Ramon et al.19
Flasks of NaCl solutions (0.1 M) with pH values between 2 and 10, normally
adjusted with 0.01 M solutions of HCl or NaOH, were prepared. 0.5 g of the
adsorbent was mixed with 20 mL of each solution separately and stirred for 48 h
before filtration. The pH values of the resulting solutions were then recorded
and plotted as a function of the initial pH for each solution. The PZC
corresponds to the pH of the solution at which the lines meet at the common
point of intersection.
Adsorption
Study of Hexavalent Chromium(Cr(VI)) Ions. A series of Cr(VI) solutions
were obtained at different concentrations ranging from 50 to 300 mg/L by
conducting dilution of K2Cr2O7 stock solution
(1000 mg/L). The adsorption studies were carried out using a known amount
of APTF as adsorbent, thoroughly mixed at 120 rpm with 100 mL of defined
concentrations of Cr(VI) at different pH and temperature values. The pH of the
reaction mixture was initially regulated using HCl (0.1 M) or NaOH (0.1 M). The
aliquots were withdrawn at definite interval times, then filtered and the
remaining Cr(VI) concentration in the solution was estimated using the analytical Jena
210 Specord spectrophotometer at λmax = 350 nm. The variables of
the experimental conditions can be summarized as the initial concentration of
Cr(VI) (50-300 mg/L), pH (2-9), the adsorbent dose (0.1-2 g/L) and the
contact time (5-2880 min). For the purpose of optimization of adsorption
conditions, a given parameter has been changed while the others were kept
constant. The adsorption capacity at equilibrium, Qe(mg/g)
and removal efficiency, A(%) are represented using eqs. (1) and (2):

Where, Qe: is the
adsorption capacity (mg/g), V: is the volume of the solution (L), C0
and Ce: are the initial and equilibrium concentration of
Cr(VI) (mg/L) and m: is the mass of adsorbent (g).
Characterization
of the Adsorbent. The spectra of the
adsorbent were compared with the IR spectrum of the raw tannin as revealed in
Figure 1(a). Generally, the wide bands in the range of 3200-3600 cm-1
are attributed to the OH stretching vibration. Small peaks near
2900 cm-1 can be identified in all spectra, due to the aromatic
C-H stretching vibrations. The bands at 1441 and 1650 cm-1 are
characteristic of aromatic (-C=C-).17 The peaks appearing at 1602,
1514 and 1441 cm-1 are assigned to the stretching vibration of
the aromatic rings (-C=C-).21 It is obvious that the 1254 cm-1
band refers to the B-cycle catechetical vibration band present in fisetinidins and
catechins.21-23 Additionally, the spectrum of the foam indicates the
presence of ionizable functional groups (i.e. carboxyl, hydroxyl) that are able
to interact with metal ions. The FTIR spectra collected for the APTF before and
after adsorption of Cr(VI) ion are demonstrated in Figure 1(b). It is
interesting to notice that after adsorption of the Cr(VI) ion, there was a backward
shift of the original characteristic OH stretching vibration from 3277 to
3117 cm-1. This perturbation suggests the emergence of new
interaction between Cr(VI) ions and the hydroxyl groups containing sites of the
adsorbent.
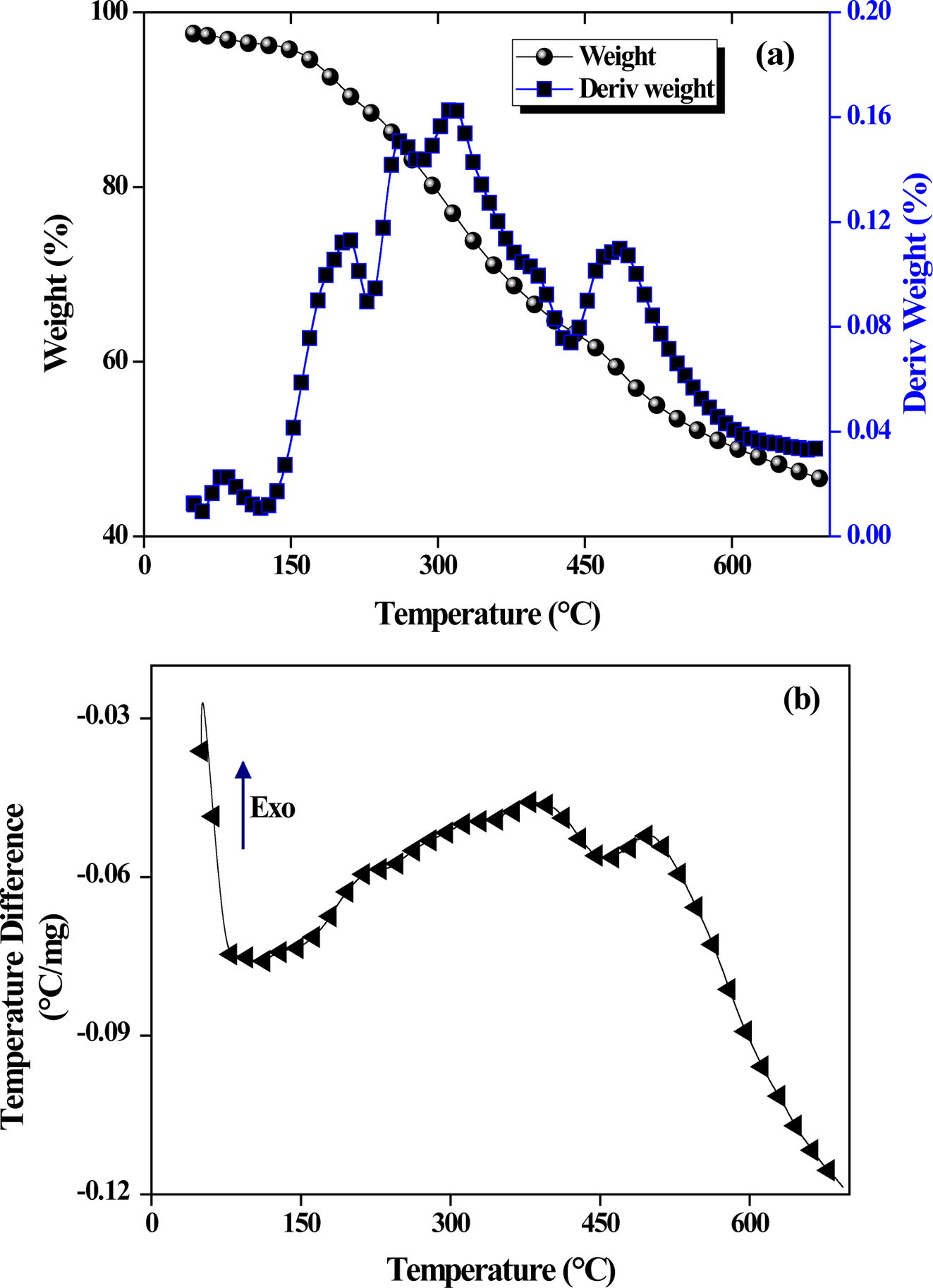
The thermal gravimetric profile (TG-DTA) of the adsorbent, performed
under air atmosphere, is displayed together with its derivative curve as well
as DTA profile in Figure 2(a) and 2(b), respectively. It shows that the
degradation of pinus helpensis foam takes place in the course of four stages. A
first loss of the mass is observed at about 100 °C, which it is attributed
to the elimination of residual water (almost 12%). The DTA thermogram shows
that the first step is endothermic. The decomposition proceeds only after
absorption of a definite amount of thermal energy that initiates the
modification process by breaking the molecular chains. This result has already been
described by Moubarik.20 The second step (observed at a temperature
range between 125 and 231 °C) is exothermic as indicated by the DTA and
corresponds to a mass loss about 24% and can be attributed to a partial
decomposition with oxidation of the intermolecular bonds. The third degradation
step took place between 231 and 430 °C, which signifies the decomposition
of the aromatic nuclei of the tannin foam.21 The fourth step
(430-600 °C) refers to the oxidation of the residues. The DTA analysis
confirmed all steps proceeding above 200 °C are exothermic reactions.
Accordingly, it can be concluded that the adsorbent APTF is thermally stable.
The thermal behavior of the adsorbent has depends essentially on the nature of
the tannin, the type of intermolecular bonds and the rigidity of the foam
structure.
The imaging with SEM was done to identify the morphological features of
the adsorbent surface specially any change occurred on the APTF after Cr(VI)
adsorption (Figure 3). It is initially clear that the material exhibits
porosity in the form of cavities, which have been most likely resulting by the
presence of the foaming agent during the foaming stage (Figure 3(a) and 3(b)).
After adsorption of the chromium ions, the surface of APTF became smoother and
encountered overlap due to Cr(VI) adsorption (Figure 3(c) and 3(d)).
Effect
of pH on Adsorption. For any adsorption
process, the solution pH is an essential parameter that can affect the
interaction between the adsorbent and the adsorbate. The adsorption of Cr(VI)
was studied as a function of pH at 20 °C. As such, 0.04 g of APTF was added to
100 mL (0.4 g/L) to give 100 mg/L solution of Cr(VI) while the pH was
adjusted to different values ranging from 2 to 9. The adsorption capacity was
determined after 2 h of contact (Figure 4). It has been found that the
highest adsorption capacity of APTF was reached at pH ~ 2. In addition, a
decrease of adsorption capacity was attained while increasing the pH from 2 to
9. Very low adsorption capacities were observed at pH values above 9. This is
related to the nature of surface charge of the adsorbent and the different
complexes that Cr(VI) can form in aqueous solutions over different pH values.
To understand that more deeply, it was necessary to find out the point of zero
charge (PZC). A plot of the (pHinitial-pHfin) difference
as a function of the pHinitial of the solution is shown in Figure 5.
The pH at the point of zero charge (pHpzc) was identified at about
7.5 (Figure 5). When the pH of the solution is lower than pHpzc, the
adsorption of the anionic species such as HCrO4- is favored whereas at pH values above the pHpzc, the adsorption of the cationic elements predominates. (i)
At pH = 2, the dominant form of chrome is HCrO4-. Thus, at low pH values, there is a large number of
H+ ions in the solution resulting in surface protonation of APTF,
which leads to the formation of positively charged sites. These protons
interact with the chromium species via electrostatic attraction forces thus
HCrO4- is heavily
adsorbed on the APTF surface. (ii) At 2 < pH < 6, the progressive decrease
in the adsorption rate is due to the coexistence of Cr2O7- and CrO4- with HCrO4 causing
competition
on the adsorption sites. Similar results were reported in previous study.24-26
The decrease in Cr(VI) adsorption when the pH of the solution > 6 can be
explained by the abundance of OH- ions in solution,
while the surface is negatively charged, which in turn initiates intensive
electrostatic repulsion with the chromate and chromate hydrogen ions during the adsorption reaction.
Effect
of Adsorbent Dose. The impact of the adsorbent dose on the removal
efficiency of Cr(VI) from aqueous solution was explored by conducting several
experiments using 100 mL solutions of Cr(VI) at initial concentration of 100
mg/L, at which different APTF amounts were charged at a temperature of
20±1 °C and a stirring rate of 120 rpm while the contact time was 2 h and
the corresponding results are revealed in Figure 6. First of all, the elimination
of Cr(VI) was fast in the beginning of the adsorption process then the increase
became slower until reaching a leveling off state.
It is apparent that the increase of the adsorbent dose was associated by
elevation of the Cr(VI) adsorption level from 30% for 0.01 g to 95% for
0.2 g. This upturn is surely ascribed to the availability of larger number of
adsorption sites by increasing the adsorbent dose.27 In brief, the
best possible adsorption efficiency was almost 85% and accomplished using 0.04
g of the adsorbent per 100 mL aqueous solution (0.4 g/L) for initial
concentration dose 100 mg/L of Cr(VI).
Effect
of Initial Cr(VI) Concentration. It is imperative
that the high initial Cr(VI) presents a significant driving force to overcome
the mass transfer resistance of ions moving from aqueous solution to a solid
phase (adsorbent). This parameter was studied by formulating several Cr(VI)
concentrations in the range from 100 to 300 mg/L while the APTF dose was
kept unchanged. The development of chromium ions adsorption onto APTF as a
function of time is illustrated in Figure 7. It can be dictated from Figure 7
that three phases are representing the mass transfer of Cr(VI) onto APTF. The
first region is related to the external mass transfer effect. This is due to
the initial availability of the free sites and the higher concentration of
Cr(VI) ions, which provides strength to the ions to diffuse through the
solution to the surface of the adsorbent. Then, the second region appears as
expected to encounter a low adsorption rate as a result of the gradual decrease
in the number of adsorption sites. Eventually, the third region is attributed
to the low concentration gradient when the adsorption sites accomplished
saturation thereby it remained constant. In our case, the adsorption was
realized after 5 h and remained stable even after 48 h.
Figure 8 shows the removal percentage of Cr(VI) along with the
equilibrium adsorption capacity qe of Cr(VI) on APTF as a
function of the initial concentration of Cr(VI). This was achieved by feeding
0.4 g of APTF to 100 mL solutions of Cr(VI) incorporating various initial
concentrations in the range 50-300 mg/L at pH ~ 2 and 20 °C. The results
gave rise to the fact that the removal efficiency of Cr(VI) (%) collapses with
the increase in the initial concentration of Cr(VI) as high concentration of
Cr(VI) leads to the saturation of the adsorption sites of the APTF adsorbent,
while the adsorption capacity, which is the amount of Cr(VI) adsorbed per unit
mass of the adsorbent, qe, behaves in a different way and
increases in parallel with the increase in the initial concentration of Cr(VI).
It was found that the Cr(VI) adsorption capacity by APTF increases without
reaching a constant value for 300 mg/L while the removal efficiency
decreased from 100% to 43% for increasing the initial concentration of Cr(VI)
from 100 to 300 mg/L, respectively. The Cr(VI) removal was higher due to
the accessibility of unoccupied binding sites on the APTF hence Cr(VI) ions are
adsorbed rapidly onto the surface. In contrast, at high concentrations the
ratio is low and the Cr(VI) removal percentage becomes small as most of the
adsorption sites became engaged and not available any longer.
Adsorption
Isotherm. The study of adsorption isotherm provides a good tool to
explain the interaction of the adsorbate with the surface of the adsorbent. In
this study, three isotherm models are investigated for this purpose; Langmuir,
Freundlich and Dubinin-Radushkevich.28 We focus in this study on two
parameters in order to identify the most suitable isotherm that fits well to
the relation between the adsorbate and adsorbent based on the correlation
coefficient (R2) and the APE means (%). The correlation
coefficient R2 is described by eq. (3):

Where, qm: Maximum
adsorption capacity (mg g-1).
qe: Average adsorption capacity (mg g-1):
qe: Equilibrium adsorption capacity (mg g-1).
The APE(%) means used to ensure the reliability between experimental and
theoretical values. It is expressed according to eq. (4):

Where N is the number of experimental data.
The Langmuir model is applicable in cases of monolayer adsorption on a
homogeneous surface containing a finite number of adsorption sites without
interaction between the adsorbed molecules.29 The Langmuir
isothermal model is given by eq. (5):

Where,
Ce is the
equilibrium concentration (mg/L) and qe is the adsorption
capacity at equilibrium (mg/g). The constant Q0 (mg /g)
represents the monolayer adsorption capacity while b is related to the
heat of adsorption. RL is a dimensionless constant called
separation factor that can predict whether an adsorption system is favorable or
not. RL is calculated using the eq. (6)

Where C0 is the initial concentration (mg/L). The
favorability of the adsorption process by RL parameter can be
described as follows: For RL > 1, the adsorption is
unfavorable whereas in case of 0 < RL < 1,
the adsorption has high favorability. Otherwise, RL=0,
signifies irreversible adsorption and RL=1 reveals linear
adsorption.
Moreover, the Freundlich isotherm model expresses the heterogeneous
surface energies by multilayer adsorption and is expressed by the linear form
in eq. (7):

Where KF (mg/g) is an indicator of the adsorption
capacity and 1/n is the intensity of the adsorption presents indication
of the adsorption favorability. Therefore, n > 1 means favorable
adsorption conditions.
The Dubinin-Radushkevich model was also used to determine the porosity
apparent free energy and the adsorption behavior.29 The isothermal
model of Dubinin-Radushkevich is given by the eq. (8)

Where qs is the theoretical saturation capacity, B
is a constant related to the biosorption energy and e is the Polanyi
potential that can be calculated according to eq. (9):

Where Ce is the equilibrium concentration (mg/L); R
= 8.314 J/mol and T is the absolute temperature (°K). The
isotherm parameters were calculated from the linear plots and are summarized in Table 1.
Additionally, all data of the different isotherm models are exhibited in Figure
9(a), 9(b) and 9(c), respectively. Based on the R2 values and
the APE means, the results of Cr(VI) adsorption on APTF are best correlated to
the Langmuir isotherm (R2>0.999) indicating a monolayer
adsorption of Cr(VI) ions on the surface of the adsorbent via electrostatic
attraction forces. The obtained maximum adsorption capacity, qmL = 400 mg/g
and
the Langmuir KL constant (0.5952 L/mg) are also suggesting
that the adsorption of Cr(VI) onto APTF proceeds as a single layer, which
corroborates a homogenous surface of adsorbent as well. Moreover, the RL
indicates an irreversible favorable adsorption is taking place. Further, the
value of 1/n, which is ranged from 0 to 1 signifies a high adsorption
intensity.
Adsorption
Kinetics. Kinetic parameters are suitable means for predicting
important information about the adsorption process. So 0.04 g of APTF was
immersed in 100 mL of Cr(VI) solutions (0.4 g/L) possessing different
initial concentrations ranging from 100 to 300 mg/L at pH = 2
and 20 °C. The adsorption kinetics can be explained as the solute removal
rate that controls how long the adsorbate stays at the solid-liquid interface.30
This part was achieved to verify the mechanism of Cr(VI) ions adsorption into
APTF. The kinetics have been fitted to different models such as the
pseudo-first order, pseudo-second order and the intra-particle models,31
which are represented by eqs. (10), (11), and (12), respectively:

where qe and qt are the amounts of
Cr(VI) ions (mg/g) adsorbed at equilibrium and at time t, respectively; K1
and K2 are the rate constant of the pseudo-first order and
the pseudo-second order rate constant, respectively; and t (min) is the
contact time, kdiff (mg g-1 mn-0.5) is
the intra-particle diffusion rate constant and C is the intercept. The
kinetic parameters K1, K2, kdiff,
qe, qt, C together with R2
are collected in Table 2.
Based on the values of R2 obtained from different
models, it can be decided that the data follow the pseudo second order model as
its R2 (0.9998) is closer to unity and the experimental
adsorption capacity is the nearest to the theoretical one. Hence, the rate
constant obtained by applying the pseudo-second order model was 1.39×10-4.
The maximum adsorption capacity (Qmax) for Cr(VI) onto APTF
was compared with those reported in the literature as shown in Table 3. It can
be noted from the table that the obtained Qmax in this study
is higher when compared with most recently reported tannin based adsorbents.10-12,32-34
This finding indicates that the applied foam in this study, which is
formulated from pinus halpensis tannin, is a better alternative to many other
adsorbents especially considering the price perspective.
Thermodynamic
Parameters. Thermodynamic parameters such as enthalpy ΔH
(kJ/mol), standard entropy ΔS (J/mol K) and Gibbs free energy variations
ΔG (kJ/mol) were calculated using eqs. (14)-(17) in order to understand
the adsorption process more intensely. Figure 10 illustrates the variation of Kc
as a function of 1/T. The thermodynamic parameters (T, ΔG°,
ΔH° and ΔS°) for the adsorption of Cr (VI) by APTF
are calculated at different temperatures as demonstrated in Table 4.


Where Kc is the equilibrium constant, Ce
and C0 are the equilibrium and initial concentrations for
Cr(VI) adsorption on APTF (mg/L), respectively, R is a universal gas
constant (8.314 J/K mol) and T is the absolute temperature (K).
From Figure 11, it is clear that the adsorption capacity by the adsorbent
enhances with increasing the temperature. This performance can be explained by
the increased molecular movement, which causes weakening of the hydrogen bonds
formed between the water molecules and the solute, thereby increasing diffusion
to the pores. As a result, the positive value of the enthalpy ΔH°
(30.614 kJ/mol) proves the endothermic nature of the adsorption reaction.
Furthermore, the positive value of ΔS° (124.46 J/mol.K) also
suggests good affinity of the Cr(VI) ions to the adsorbent and the high
randomness at the solid-liquid interface during the binding of the metal ion
onto the active sites of the adsorbent. The categorization of the adsorption
reaction as favorable and spontaneous was verified from the negative values of ΔG°.
As an example, the increase in temperature from 20 to 40 °C was
accompanied by a change in the ΔG value from 4.608 to 8.341 kJ/mol.
The thermodynamic parameters for the adsorption process of Cr(VI) onto APTF are
matching well with those reported in the literature.24,35,36
|
Figure 1 FTIR spectra (a) pinus tannin before and after foaming reaction; (b) APTF material before and after adsorption. |
|
Figure 2 Thermal analysis of APTF: (a) thermogravimetric analysis (TGA) and the relevant derivative for APTF adsorbent; (b) deferential temperature thermogram (DTA) of APTF adsorbent. |
|
Figure 3 Scanning electronic microscopy (SEM) imaging of APTF: (a, b) before adsorption; (c, d) after adsorption. |
|
Figure 4 Variation of Cr(VI) adsorption onto APTF as a function of pH. |
|
Figure 5 Determination of the point of zero charge. |
|
Figure 6 Variation of Cr(VI) adsorption onto APTF as a function of the adsorbent dose. |
|
Figure 7 Variation of Cr(VI) removal (%) by APTF for different concentrations as a function of time. |
|
Figure 8 Variation of adsorption capacity and removal efficiency as a function of the initial Cr(VI) concentration. |
|
Figure 9 Adsorption isotherm profiles: (a) Langmuir; (b) Freundlich; (c) Dubinin-Radushkevich. |
|
Figure 10 ln(Kc) versus 1/T plot. |
|
Figure 11 Cr(VI) adsorption onto APTF as a function of temperature. |
|
Table 1 Parameters of the Langmuir, Freundlich and Dubinin-Radushkevich Isotherm Models |
|
Table 2 Parameters of Pseudo First Order, Pseudo Second Order and Intra-particle Diffusion Kinetic Models |
|
Table 3 Comparison between the Adsorption Capacities of Various Tannin Adsorbents and Our “APTF” for Cr(VI) Removal. |
|
Table 4 Thermodynamic Parameters for the Adsorption of Cr(VI) by APTF at Different Temperatures |
An efficient adsorbent was formulated mainly from Algerian natural pinus
halepensis tannin (APTF). Various characterizations performed on this adsorbent
indicated its promise in water purification. Thus, adsorption results revealed
it was very efficient in the removal of Cr(VI) ions from aqueous solutions with a
maximum adsorption capacity around 390 mg g-1 at pH ~ 2,
which was mostly attributed to the contribution of –OH functional group in
interaction with chromium ions. The rate limiting step for the adsorption process
was best fitted with pseudo-second order kinetic model for the studied
concentrations (100-300 mgL-1). Agreeable correlation for Cr(VI) adsorption
to the adsorbent was found with a single-layer adsorption capacity of
400 mg g-1 at 20 °C as signified by the Langmuir isotherm
model. The adsorption process could be classified mainly as chemical ion
exchange as concluded from the average free energy values estimated from the
Dubinin- Radushkevich model. The negative values of free Gibbs energy (ΔG°)
and positive enthalpy (ΔH°) designated the spontaneous and endothermic
features of the adsorption process for the different temperatures examined. The
positive value of entropy (ΔS°) clearly reflected the increased
randomness at the solid-solution interface through the adsorption of Cr(VI)
onto the foam. Based on these facts, it can be ensured that APTF is an
efficient adsorbent and can be successfully employed for the adsorption of
Cr(VI) ions from aqueous solutions for the purpose of water purification.
This Article2020; 44(4): 425-435
Published online Jul 25, 2020
ServicesIntroduction
Experimental
Results and
Discussion
Conclusions
Correspondence to*Faculty of engineering, Research Unit Materials, Processes and Environment URMPE, University M’hamed Bougara of Boumerdes/FSI, Frantz Fanon City, Indépendance Avenue 35000 Boumerdes, Algeria
**Research Unit on Analysis and Technological Development in Environment (URA-DTE/ CRAPC),
BP 384, 42000 Bou-Ismail, Tipaza. Algeria