
Ji Eun Lee# , Suyoung Been# , Jeongmin Choi, Hunhwi Cho, Namyeong Kim, Jeong Eun Song, and Gilson Khang† 
Department of Bionanotechnology and Bio-Convergence Engineering, Department of Polymer Nano Science & Technology and
Polymer Materials Fusion Research Center, Jeonbuk National University, 567 Baekje-daero, Jeonju 54896, Korea
전북대학교 바이오나노융합공학과, 고분자나노공학과, 고분자융합소재연구소
Cinacalcet hydrochloride, known as a treatment for a secondary hyperparathyroidism in a chronic renal failure, is a poorly soluble drug with the properties of BCS class IV. To improve poor solubility, in this study, after preparing a wet granule of soluble polymer and poorly soluble drug cinacalcet hydrochloride, tablets were designed by mixing additives by proportion. Chemical changes occurring in the wet granulation process were evaluated using FTIR, and DSC and XRD were performed to confirm that the granules were formed as designed. After this, the release was tested through HPLC in an artificial gastric acid (pH1.2) to confirm that the tablet was properly designed. As a result, it was confirmed that the formation of the wet granules using a soluble polymer was effective for the release of cinacalcet hydrochloride, a poorly soluble drug.
만성신부전환자의 이차성 부갑상선 기능 항진 치료제로 알려진 시나칼세트염산염은 BCS class Ⅳ의 특성을 갖는 난용성 약물이다. 난용성 개선을 위하여, 본 연구에서는 수용성 고분자와 난용성 약물 시나칼세트염산염으로 습식과립물을 제조한 후, 첨가제를 비율별로 혼합하여 정제를 설계하였다. FTIR을 이용하여 습식과립 공정에서 일어나는 화학적 변화를 평가하였고, 정상적으로 과립이 형성되었는지 확인하기 위하여 DSC와 XRD를 진행하였다. 이 후 정제가 제대로 설계되었는지 확인하기 위하여 인공위액(pH1.2)에서 방출 실험을 진행하였으며 HPLC를 통하여 측정하였다. 결과적으로 수용성 고분자를 이용한 습식과립물의 제조가 난용성 약물인 시나칼세트염산염의 방출에 효과적인 것을 확인할 수 있었다.
In order to increase the solubility of cinacalcet hydrochloride, a poorly soluble drug, a solid dispersion was prepared by encapsulation with various water-soluble polymers. The solid dispersion improved the solubility and dissolution rate, and the wet granulation process improved the flowability.

Keywords: cinacalcet hydrochloride, wet granules, dissolution rate, soluble polymer, poloxamer
본 연구는 한국연구재단의 국가간 MOU지원사업인연구교류지원사업(2019K2A9A1A06098563)의 지원을 받아 수행된 연구입니다.
만성 신부전 환자는 피부 내의 땀샘이나 지방샘의 기능이 떨어져 피부가 건조해지며, 칼슘과 인산염 조절의 어려움으로 인한 피부의 칼슘염 과다 침착, 빈혈, 부갑상선 호르몬의 증가 등의 증상이 나타날 수 있다.1-4 칼슘 유사체 약물인 시나칼세트염산염은 부갑상선에 있는 칼슘감지 수용체의 민감도를 증가시켜, 부갑상선 호르몬과 혈청 칼슘농도를 저하시키는 것으로 보고된다(Figure 1).5-8 그러나 시나칼세트염산염은 물에 거의 용해되지 않는 난용성 약물로 체내에서 약물의 흡수가 어렵기 때문에 제제화에 개선이 필요하다.9-14 이러한 난용성 약물들의 생체 이용률을 높이기 위한 방법은 여러 가지가 있는데 본 연구에서는 습식과립화를 선택하였다. 습식과립은 원료의약품과 수용성 고분자 및 여러 첨가제를 혼합한 후 결합액을 이용하여 혼합물을 과립화하는 공정이다.15,16 습식과립물 제조에는 수용성 고분자 중 하나인 폴리에틸렌글리콜(polyethylene glycol, PEG) 계열의 PEG 6000을 사용하였고 폴리비닐피롤리돈(polyvinylpyrrolidone, PVP) K30, 전분(starch) 그리고 폴록사머 407(poloxamer 407)를 사용하였다. 각 배치 별로 원료의약품인 시나칼세트염산염과 위의 수용성 고분자의 비율을 다르게 하여 혼합한 후 결합액을 첨가하여 습식과립을 진행하였다.
원료의약품과 제조된 습식과립물의 화학적 변화를 관찰하기 위해 적외선 분광기(Fourier transform infrared, FTIR)를 사용하였고, 습식과립물의 물리화학적 특성을 관찰하고자 시차주사열량계(differential scanning calorimeter, DSC)와 X선-회절기(X-ray diffractometry, XRD) 분석을 통하여 결정성 변화를 관찰하였다. 또한 원료의약품과 제조된 습식과립물의 형태학적 변화를 관찰하기 위해 주사전자 현미경(scanning electron microscope, SEM)을 사용하였고, 원료의약품과 습식과립 정제의 방출거동 및 용출률을 비교하기 위해 고성능 액체크로마토그래피(high-performance liquid chromatography, HPLC)를 사용하였다.
|
Figure 1 Chemical structure of cinacalcet hydrochloride. |
시약 및 재료. 본 실험에서는 시나칼세트염산염(Tokyo Chemical Industy, 일본), 정제의 성형을 위한 부형제인 미결정셀룰로오스(microcrystalline cellulose, MCC, 화원약품, 한국)와 유당(Junsei Chem Co. Ltd, 일본)을 사용하였다. 붕해제로 전분글리콜산나트륨(sodium starch glycolate, SSG, 화원약품, 한국)을 사용하였고, 혼합물의 유동성을 높이기 위한 활택제로 스테아르산 마그네슘(magnesium stearate, Mg. st, Junsei Chem Co. Ltd, 일본)을 사용하였다. 습식과립물 제조시 사용된 고분자인 PEG 600(Junsei Chem Co. Ltd)와 PVP K30(SHOWA) 그리고 전분(Junsei Chem Co. Ltd)은 일본에서, 폴록사머 407(BASF)은 독일에서 구입하였다. 그 외의 모든 화학약품과 유기용매는 HPLC 등급을 사용하였다.
시나칼세트염산염 습식과립물의 제조. Table 1에 나온 비율에 따라 원료의약품 시나칼세트염산염에 수용성 고분자 PEG 6000, PVP K30, 폴록사머 407, 전분, 부형제인 미결정셀룰로오스 및 유당을 균일하게 혼합한다. 이 혼합물에 붕해제인 전분글리콜산나트륨을 첨가하여 다시 균일하게 혼합한 후, 결합액인 물을 넣어 습식과립을 진행하였다. 이 후 600μm 메쉬를 이용해 과립물을 걸러 오븐에서 건조시켰다. 이렇게 얻어진 파우더를 균일한 입자를 가지게 하기 위하여 250μm 메쉬에 체과하였다. 이 체과물에 활택제로 스테아르산마그네슘을 첨가하여 혼합하였다. 이 혼합물을 타정기를 사용하여 타정하였다. 제조된 모든 혼합물들은 사용하기 전까지 데시케이터 안에 보관하였다.
시나칼세트염산염 습식과립물의 구조학적 분석. 시나칼세트염산염, PEG 6000, PVP K30, 폴록사머 407, 전분 그리고 각 제조된 과립물들의 분자구조를 분석하고 새로운 화학 결합이 생성되었는지 확인하기 위해 FTIR(GX, Perkin Elmer, Waltham, Massachusetts, USA)을 이용해 분석하였다. ATR법으로 측정하였으며, 측정은 4000~450cm-1의 범위에서 이루어졌다.
시나칼세트염산염 습식과립물의 열적 분석. 시나칼세트염산염, PEG 6000, PVP K30, 폴록사머 407 및 전분 그리고 각 제조된 과립물들의 열전이를 측정하기 위하여 DSC(TA instrument DSC 3100, Dupont, USA)를 사용하였다. 각 물질의 5~10mg을 취하여 샘플을 제조하였고, 20oC/min의 승온 속도로 0~200oC까지 온도를 상승시키며 측정하였다.
시나칼세트염산염 습식과립물의 결정화도 분석. 습식과립이 정상적으로 이루어졌는지 확인하기 위하여, PXRD(MAX 2500 X-ray diffractometer, 일본)로 결정성을 분석하였다. 0.3mm의 투명한 유리 기판에 일정량의 시료를 충분히 적층시켜 배향이 발생하지 않도록 하였으며 30mA, 40kV의 조건으로 측정하였다.
시나칼세트염산염 습식과립물의 형태학적 분석. 시나칼세트염산염, PEG 6000, PVP K30, 폴록사머 407, 전분 그리고 각 제조된 과립물의 입자상태 및 표면을 관찰하기 위해서 주사전자현미경(Bio LV-SEM, S-3000N, Hitachi Co, 일본)을 사용하여 분석하였다. 시나칼세트염산염, 고분자, 그리고 습식과립 과정을 거친 배치 1~8의 시료에 남아있는 수분을 제거하기 위해 오븐에서 건조시킨 후 균일한 입자를 가지게 하기 위하여 250μm 메쉬에 체과하였다. 파우더 형태의 샘플을 탄소테이프 위에 고정시키고 아르곤가스 하에서 백금-팔라듐 코팅을 180초 동안 실시하였다. 코팅된 시료는 20.0kV에서 관찰하였다.
HPLC 조건. 시나칼세트염산염을 원료의약품으로 한 습식과립 정제의 약물방출거동을 측정하기 위한 HPLC 분석기기는 NS-4000 HPLC 시스템(Futecs, 한국)과 NX-6000 오토샘플러(Futecs, 한국)를 사용하여 분석하였다. 칼럼은 Intersil® OSD-3 C18(4.6×150mm, 5μm, GL Science Inc)을 사용하였으며, 유속은 1.0mL/min, 시료주입량은 100μL로 설정하여 분석하였다. UV 파장은 273nm에서 분석하였으며, 이동상은 아세토니트릴(C2H3N)과 0.015mM 인산이수소칼륨(KH2PO4) 완충액(pH2.5)을 40:60(v/v%)의 비율로 혼합하여 사용하였다. 제조된 이동상은 교반 후 사용하기 전에 초음파 분쇄기로 탈기하여 사용하였다.
시나칼세트염산염 정제의 생체 외 용출거동. 제조된 정제의 용출시험은 대한약전 용출시험 제2법인 패들법으로 실시하였다. 용출액은 인공위액(pH1.2)으로 대한약전 제1액에 따라 제조하였으며, 용출기는 DST-610(Lab House, 한국)를 사용하였고, 속도는 50rpm, 용출액의 온도는 37.0±0.5oC로 설정하였다. 용출액의 양은 900mL로 설정하였으며 실험시간은 5, 10, 15, 30, 45, 60, 90, 120분에 걸쳐 진행하였다. 각 시간별로 시료를 1mL씩 취한 후 용출액인 pH1.2 인공위액을 1mL씩 충전하였다. 취한 시료는 0.45μm의 PTFE 필터로 여과한 후 HPLC를 이용하여 측정하였다.
과립물의 구조학적 특성분석. 원료의약품인 시나칼세트염산염과 습식과립에 사용된 수용성 고분자인 PEG 6000, PVP K30, 폴록사머 407, 전분이 비율별로 잘 혼합되었는지 확인하기 위하여 FTIR을 실시하였다(Figure 2). 시나칼세트염산염의 흡수 파장은 2749와 2710cm-1에서 C-H stretching, 1326cm-1에서 C=C stretching으로 확인된다.17 PEG 6000은 2830cm-1에서 C-H bending, 1146cm-1에서 C-O stretching으로 확인되었고, PVP K30은 1650cm-1에서 카보닐 그룹 피크가 나타난 것을 확인하였다.18 폴록사머 407의 피크는 PEG 6000의 피크와 유사한 것을 발견하였는데 이것은 폴록사머 407이 폴리에틸렌글리콜-폴리프로필렌글리콜-폴리에틸렌글리콜로 구성된 3 블록 공중합체이기 때문인 것으로 사료된다. 전분의 경우는 3300cm-1 근처의 넓은 밴드가 나타나는데 이 역시 O-H 그룹의 존재를 나타내고 흡습성을 나타낸다(Figure 2(a)). 배치들의 피크를 확인해보면 시나칼세트염산염과 고분자에서는 나타나지 않는 O-H 결합인 3400cm-1 근처의 넓은 밴드가 강하게 나타나는 것을 보아 수소결합이 작용함을 알 수 있었다. 이는 습식과립으로 인해 시나칼세트염산염과 각각의 고분자의 분자간 O-H, N-H, F-H 수소결합 때문에 강한 인력이 작용하여 포접이 잘 이루어짐을 확인할 수 있다(Figure 2(b)).19,20
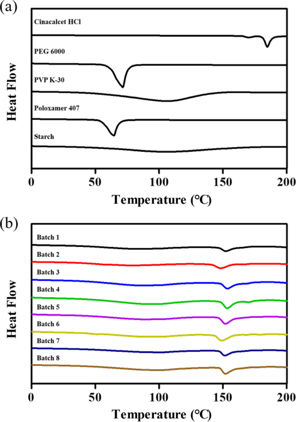
과립물의 열적 특성분석. Figure 3(a)에서 시나칼세트염산염은 184oC에서 결정성 흡열 피크가 관찰되었고, PEG 6000은 70oC에서 흡열 피크가 관찰되었다. PVP K30은 50~150oC에서 넓은 흡열 피크가 관찰되었는데 이것은 측정과정에서 높은 승온 온도로 인한 탈수현상으로 일어나는 것으로 판단된다. 폴록사머 407은 PEG 6000의 흡열 피크와 유사한 패턴을 보이는데 이는 PEG의 3 블록 공중합체이기 때문인 것으로 판단된다. 전분의 흡열 피크 또한 PVP K30과 비슷한 패턴을 보인다.
각 배치에서 50~150oC에서 넓은 흡열 피크가 나타나고, 152oC 부근에서 가장 얕은 흡열 피크가 관찰되었다(Figure 3(b)). 이것은 약물과 고분자의 혼합, 결합액의 첨가, 과립화 과정을 통해 상호작용이 일어나 결정성이 감소되어 피크의 세기가 약해진 것으로 판단된다.21
과립물의 결정적 특성분석. 원료의약품인 시나칼세트염산염은 원료의약품인 시나칼세트염산염과 수용성고분자인 PEG 6000, PVP K30, 폴록사머 407, 전분 그리고 각 배합에 따라 제조된 습식과립의 결정학적 성질을 확인하기 위하여 XRD를 측정하였다. Figure 4(a)에서 시나칼세트염산염은 22°에서 회절 피크가 나타났고, 그 밖에도 크고 작은 결정성 피크가 관찰되었고 PEG 6000은 19°와 23°에서 강한 피크가 관찰되었다.
폴록사머 407은 PEG 6000의 회절피크와 유사한 패턴을 보이는데 이는 PEG의 3 블록 공중합체이기 때문인 것으로 판단된다. PVP K30와 전분은 뚜렷한 회절피크가 관찰되지 않는 것을 확인할 수 있었다. Figure 4(b)의 습식과립물의 결과, 원료의약품과 고분자의 원래의 피크는 사라지고, 새로운 형태의 피크들이 나타나 무정형의 특성을 보여준다. 이를 통해 약물과 고분자가 혼합, 결합액 첨가, 과립화 과정을 통해 상호작용이 일어났음을 알 수 있었다. 또한 시나칼세트염산염과 고분자의 습식과립 과정이 잘 일어났음을 감소된 결정성으로 확인할 수 있었다.22
과립물의 형태학적 특성분석. 원료의약품인 시나칼세트염산염과 수용성 고분자인 PEG 6000, PVP K30, 폴록사머 407, 전분 그리고 각 배치의 습식과립물의 입자상태 및 표면을 관찰한 결과를 Figure 5에 나타내었다. 시나칼세트염산염은 다양한 크기를 가지고 있으며 입자 크기가 일정하지 않은 불규칙적인 결정성을 가지는 것을 볼 수 있고, PEG 6000 또한 다양한 크기의 불규칙적인 형태를 띠고 있다. 반면에, PVP K30는 다양한 크기를 보이고 있으며 결정형이 아닌 구형의 입자를 나타내고 있었으나, 표면이 고르지 않았다. 폴록사머 407는 100μm 정도의 크기를 가진 표면이 고른 구형의 입자를 나타내었다. 전분은 30μm 정도의 비교적 작은 입자 크기를 가지고 불규칙적인 형태를 나타내었다. 시나칼세트염산염의 입자 크기는 20μm 이하였지만, 습식과립 과정을 거친 배치에서의 입자크기는 모두 100μm 이상인 것을 확인할 수 있었다. 증가한 입자크기를 통해 약물과 첨가제 간의 응집이 잘 이루어진 것을 확인할 수 있었다.
시나칼세트염산염 정제의 생체 외 용출거동. Figure 6은 인공위액에서 난용성 원료의약품(API)인 시나칼세트염산염과 각 배치의 정제의 용출을 시험한 결과로써 시나칼세트염산염은 120분 후 약 17%의 낮은 용출률을 보였다. 각 배치당 제조된 정제는 120분 후 모두 약 80% 이상의 높은 용출률을 보였다. 특히, 배치 5와 6의 정제가 상대적으로 높은 용출률을 나타내었는데 이는 계면활성제인 폴록사머 407의 역할 때문인 것으로 판단된다. 각 배치에 쓰인 수용성 고분자에 따라 용출률의 변화가 나타났다. 배치 7과 8에 해당하는 전분으로 제조한 습식과립의 용출률이 가장 낮으며, 배치 1~4에 해당하는 PEG 6000과 PVP K30으로 제조한 습식과립의 용출률은 비슷한 양상을 보였다. 낮은 용해도를 가진 시나칼세트염산염은 습식과립물을 만들었을 때 더 높은 용출률을 보였고, 이는 과립 과정을 통해 시나칼세트염산염의 용해도를 개선시킬 수 있음을 시사한다.
|
Figure 2 FTIR spectra of (a) cinacalcet HCl, PEG 6000, PVP K30, Poloxamer 407, and starch; (b) Batch 1~8. |
|
Figure 3 DSC thermograms of (a) cinacalcet HCl, |
|
Figure 4 X-ray diffraction spectra of (a) cinacalcet HCl, PEG 6000, PVP K30, Poloxamer 407, and starch; (b) Batch 1~8. |
|
Figure 5 SEM images of (a) cinacalcet HCl; (b) PEG 6000; (c) PVP K30; (d) Poloxamer 407; (e) starch; (f)~(m) Batch 1~8. Scale bar is 100 μm. |
|
Figure 6 Release behavior of API (cinacalcet HCl) and Batch 1~8. |
본 연구는 난용성 약물인 시나칼세트염산염의 용출률 향상을 위해 수용성 고분자인 PEG 6000, PVP K30, 폴록사머 407, 전분을 이용하여 습식과립을 통해 정제로 제조하여 용출시험을 진행하였고 습식과립물을 가지고 고분자와 습식과립물 사이의 특성 분석을 진행하였다. FTIR을 통해 대표적인 화학적 결합 중 하나인 수소결합이 이루어져 약물의 결정화 구조를 변화시킬 수 있음을 생각할 수 있게 되었고, DSC 및 XRD를 통해 시나칼세트염산염의 결정성이 고분자와 포접하면서 다소 감소한 것을 볼 수 있었다. SEM 분석을 통해 표면관찰을 하였으며 원료의약품인 시나칼세트염산염과 습식과립 정제와의 비교용출시험을 진행한 결과 각각의 배치들의 용출률이 원료의약품보다 높은 용출률을 보이는 것을 확인하였다. 첨가된 고분자들의 종류에 따라 다른 방출거동을 보였으며 그 중 계면활성제인 폴록사머 계열의 고분자를 사용한 배치 5~6의 결과가 가장 높은 용출률을 나타냈다. 시나칼세트염산염과 수용성고분자를 습식과립하여 정제를 설계하는 방법으로 난용성 약물의 제제화의 가능함을 확인하였다.
This Article2021; 45(1): 16-21
Published online Jan 25, 2021
Services
Correspondence toDepartment of Bionanotechnology and Bio-Convergence Engineering, Department of Polymer Nano Science & Technology and Polymer Materials Fusion Research Center, Jeonbuk National University, 567 Baekje-daero, Jeonju 54896, Korea