
Division of Advanced Materials Engineering, Kongju National University, 1223-34 Cheonan way, Cheonan 31080, Korea
공주대학교 공과대학 신소재공학부
Reproduction, stored in a retrieval system, or transmitted in any form of any part of this publication is permitted only by written permission from the Polymer Society of Korea.
In this study, three types of iron(III)-alkylbenzensulfonate-based oxidizing agents with different alkyl groups lengths were synthesized. Using the prepared oxidizing agents, polypyrrole (PPy) was synthesized by vapor phase polymerization (VPP) to investigate how the chemical structure of the oxidizing agent affects the morphology and opto-electric properties of the prepared PPy thin film. As the chain length of the alkyl group on the para position in the benzene ring of the oxidant was shortened, the transmittance of the PPy thin film decreased. It is postulated that the shorter the length of alkyl group in the oxidant, the smaller the steric hindrance to the dopant becomes, forming a thick PPy thin film, thereby reducing the transmittance of the thin film. The electrical conductivity of the thin film increased as the chain length of the alkyl group in the oxidant decreased. It might be due to the fact that the oxidizing agent without an alkyl group (oxidant-A0) has the smallest electron donating effect resulting in the decrease in the size of the produced PPy particles. The interfacial conductive area would be increased in the PPy thin film formed by the interconnection of small PPy particles
본 연구에서 알킬기의 길이가 다른 세가지 종류의 iron(III)-alkylbenzensulfonate계 산화제를 합성하였다. 제조된 산화제들을 이용하여 폴리피롤(PPy)을 기상중합법(vapor phase polymerization; VPP)으로 제조하여 산화제의 화학구조가 PPy 박막의 형태학 및 광-전기적 특성에 어떤 영향을 끼치는지 알아보고자 하였다. 산화제의 벤젠 고리의 파라위치에 있는 알킬기 사슬 길이가 짧아질수록 박막의 투과도는 감소하였다. 이는 산화제 알킬기 길이가 짧아질수록 도판트로써 입체장애가 상대적으로 작아져 두꺼운 PPy 박막을 형성하여 투과도가 감소한다고 생각된다. 산화제의 알킬기 사슬 길이가 짧아질수록 박막의 전기전도도는 증가하였다. 알킬기가 없는 산화제(oxidant-A0)는 전자공여효과가 가장 작아 생성되는 PPy 입자 크기의 감소에 따른 박막의 전도 계면이 넓어졌기 때문이라 생각된다.
Three types of oxidizing agents have been employed for the typical polypyrrole (PPy) film preparation under the vapor phase polymerization (VPP) technique. The obtained PPy films are subjected to morphological and optoelectronic properties, the exhibited results evidenced the influence of three types of oxidizing agents concerning the morphology and conductivity of the PPy films. As the chain length of the alkyl group on the para position in the benzene ring of the oxidant was shortened, the electric conductivity of the PPy thin film increased.

Keywords: conducting polymer, vapor phase polymerization, iron(Ⅲ)-alkylbenzensulfonate, opto-electrical properties
이 논문은 2019년도 정부(교육부)의 재원으로 한국연구재단의 지원을 받아 수행된 기초연구사업임(NRF-2019R1I1A3A01054826). 또한 이 논문은 2020년 교육부의 국립대학육성사업 연구지원에 의하여 연구되었음.
1977년 높은 전기 전도도를 가지는 요오드로 도핑된 polyacethylene이 발견된 후,1 polyaniline, polypyrrole(PPy), poly(3,4-ethylenedioxythiohene)(PEDOT) 등 π-공액 구조를 지닌 본질적 전도성 고분자(intrinsic conductive polymer, ICP)들이 합성의 용이성, 우수한 환경 안정성과 전기 전도도로 인해 많은 응용분야에서 적용되어오고 있다.2-4 이러한 ICP들은 생체-바이오 응용,5 스트레인 센서,6,7 화학 센서,8-10 그린 전자 응용,11 및 태양 전지와12 같은 다양한 적용연구가 이루어져오고 있다. 전도성 고분자는 redox 반응을 이용한 전기화학적 방법과13,14 산화-커플링 반응을 이용한 화학적 접근방법으로15,16 합성될 수 있다. 화학적 합성공정은 용액, 계면, 증기상에서 일어날 수 있는데 용액 상에서 제조된 대부분의 ICP는 용매에 녹지 않아 기판 위에 코팅이나 패터닝 등의 가공공정이 어렵다. 이에 1986년 Mohammadi 등이 제안한 기질(substrate) 위에서 in-situ로 중합시키는 증기상 중합(vapor phase polymerization; VPP)은 용액 중합법의 단점을 극복할 수 있었다.17 VPP는 액상중합 방법보다 균일한 표면을 갖는 박막 제조가 가능하고, 이를 통해 높은 전기 전도도와 광 투과도를 갖는 ICP 박막을 얻을 수 있다. 18-22 Ueno 등의 연구에서23 PPy 합성을 위하여 VPP 공정에 사용하였던 산화제인 FeCl3는 용매가 증발될 때 쉽게 결정화되어 형성된 ICP 박막에 침전물의 형태로 남아 전도성 박막의 성능을 저하시키는 큰 요소로 작용했다. 현재 광범위하게 사용되는 산화제인 Fe(III) p-toluenesulfonate(FTS)의 사용은 de Leeuw 등에 의해 처음으로 보고되었다.24 FeCl3 산화제와는 달리, FTS는 용매가 증발할 때 상대적으로 쉽게 결정화되지 않아, 매끄러운 표면을 가지는 ICP 필름을 얻을 수 있는 장점을 가진다. Winter-Jensen 등은 pyrrole과 thiophene 단량체의 VPP에 다양한 ferric sulfonate계열의 산화제를 사용하였고 이를 통해, 우수한 전기 전도도와 매끄러운 표면 특성을 가지는 ICP 박막을 제조하였다.25,26 균일한 표면을 가지는 높은 전도도를 지니는 ICP 박막을 얻기 위해 사용하는 산화제 치환기의 조절이 중요한 것으로 알려지고 있으며, P. Subramanian 등은 benzene sulfonate 계열의 산화제의 구조를 변형시켜 이를 PPy와 PEDOT의 중합 시에 산화제로 적용한 결과, 상대적으로 우수한 전기 전도성을 가지는 PPy, PEDOT을 합성할 수 있음을 보고하였다.27 즉, 적절한 산화제의 화학구조의 조절이 생성되는 VPP기반 ICP의 전기적 특성을 조절할 수 있다는 것을 알 수 있다.28
따라서 본 연구에서는 산화제가 가지고 있는 벤젠고리의 파라 위치에 존재하는 알킬 치환기의 길이가 다른 3종의 iron (III)-alkylbenzensulfonate계 산화제를 합성하였다. 산화제의 화학구조가 제조된 VPP 기반 PPy 박막의 형태학 및 광-전기적 특성에 어떤 영향을 끼치는지 알아보고자 하였다. 이를 위하여 합성된 3종의 산화제의 종류와 함량 변화에 따른 박막의 형태학적, 광-전기적 특성을 조사하였다.
시약 & 재료. 산화제 합성을 위해 ferric chloride hexa-hydrate(FeCl3, Aldrich), benzenesulfonic acid monohydrate (Kanto chemical), p-toluenesulfonic acid monohydrate (Aldrich), 4-ethylbenzenesulfonic acid monohydrate(Aldrich), 약염기로 imidazole(Samchun chemical), 단량체로 pyrrole (Acros Organics), 산화제와 ICP 박막 제조의 공통 용매로 1-butanol(Junsei Chemical)을 모두 정제없이 사용하였다. 박막의 기질로는 4 cm×4 cm의 PET 필름(0.1 mm, Dongseo), 2.5 cm×2.5 cm의 slide glass(1 mm, Marienfeld)를 사용하였다.
산화제 제조 및 명명.
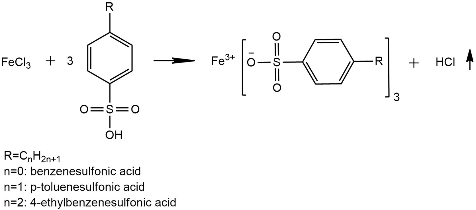
Ferric chloride hexahydrate, alkyl-benzenesulfonic acid(benzenesulfonic acid monohydrate 또는 p-toluenesulfonic acid monohydrate 또는 4-ethylbenzene-sulfonic acid monohydrate), 1-butanol을 각각 1:3:3 몰 비율로 정량하여 함께 용해시킨 후 용매가 증발할 때까지 60 oC에서 교반, 진공오븐에서 80 oC로 건조시켰다. 건조된 산화제를 막자사발을 이용해 곱게 간 후, 남아있는 용매를 제거하기 위해 80 oC에서 2차 진공 건조를 진행하였다. 제조한 산화제의 알킬기의 길이에 따라 산화제의 벤젠고리의 파라 위치에 존재하는 알킬기의 탄소숫자에 의거하여 각각 oxidant-A0, A1, A2로 명명하였다(Figure 1).
ICP 박막 제조. 1-butanol에 합성한 iron(III)-alkylbenzen-sulfonate계 산화제를 10 또는 20 wt%로 용해시켰다. 상기 용액에 산화제의 결정성장 억제를 위한 약염기인 imidazole을 산화제와 1:1 몰 비율로 투입하였다. 약 3시간 교반 후 혼합물을 slide glass 또는 PET 기질 위에 도포 후 10초 동안 300 rpm, 20초 동안 500 rpm으로 스핀 코팅하였다. 산화제가 코팅된 기질을 60 oC 오븐에서 10분간 건조시켜 용매인 1-butanol을 증발시킨 후, 6 mL/s의 유량의 질소 분위기인 반응기 내에서 25 oC에서 30분간 VPP를 진행하였다. VPP가 완료된 ICP 박막은 미반응 단량체와 산화제를 제거해주기 위해 증류수로 3회 세척하여 상온에서 건조하였다.
특성 분석.1H NMR(Avance III 400, Bruker, 400 MHz, D2O 용매 사용, 4.80 ppm) 분석을 통하여 합성된 산화제의 화학구조를 확인하였다. ICP 박막들의 전기적 특성분석을 위하여 표면저항과 I-V 거동을 조사하였다. 표면저항 측정을 위해 팁의 반지름이 100 μm인 4-point probe meter(CMT-SR 1000N, AIT)를 이용하였고 -30~30 V 범위에서 prove station (Agilent Technologies, E5270A, U.S.A)을 사용하여 I-V curve를 얻었다. 400~800 nm 범위에서 UV-Vis spectroscopy (Mega U600, Scinco)를 사용하여 광학적 특성을 조사하였다. Field emission scanning electron microscopy(FE-SEM, MIRA 2, TESCAN)를 이용해 10 kV 전압 하에서 다양한 배율로 관찰하여 PPy 박막 표/단면의 형태학적 특성과 두께를 측정하였다. 또한 박막의 두께 및 평탄도를 측정하기 위해 surface profiler(Veeco Dektak 150)를 이용하였다.
|
Figure 1 Scheme of synthesis of iron(III)-alkylbenzenesulfonate. |
Sulfonate 계열 산화제의 합성 및 화학구조 분석.
ICP 제조를 위한 VPP 방법에 가장 많이 사용되는 산화제인 FTS와 동일한 구조(oxidant-A1)와 유사한 구조(oxidant-A0, oxidant-A2)를 가지는 ferric alkylbenzenesulfonate 계열 산화제를 기존에 알려진 합성 방법으로 제조하였다.25,29 제조한 산화제의 수율은 각각 A0: 80.7%, A1: 88.0%, A2: 74.4%로 얻어졌다. 합성된 산화제를 D2O를 용매로 하여 1H NMR 분광으로 분석하여 Figure 2에 나타내었다. Benzenesulfonate의 벤젠 고리에 있는 2개의 수소(a, b) 피크가 7.1~7.8 ppm 영역에서 확인되어 상업적으로 판매되고 있는 FTS(Figure 2(a); Aldrich사)와 합성된 oxidant-A1(Figure 2(c))이 일치함을 확인하였다. 산화제 화학구조 내 다른 길이의 알킬기에서 나타나는 피크가 각각 A0 (피크 없음), A1(2.1 ppm-CH3), A2(1.0 ppm-CH3, 2.5 ppm-CH2)에서 관찰됨으로써 예상과 같이 합성된 것을 확인할 수 있었다.
PPy 박막의 모폴로지 분석.알킬기의 길이가 다른 산화제 세 가지를 사용하여 VPP 공정을 이용해 유리 기판 위에 PPy 박막을 제조하였다. Figure 3은 FE-SEM을 이용해 PPy 박막들의 표면 모폴로지를 관찰하고 FE-SEM과 surface profiler를 이용하여 측정된 박막 단면과 두께를 비교하였다. 알킬기의 길이가 다른 산화제로 제조된 3종 박막의 PPy 박막은 평탄하였다(Figure 3(a, b, c)). 기존 문헌과 유사하게 5만배 배율의 FE-SEM 박막표면 구조는 PPy 입자들이 연결되어 성막된 구조로, 박막을 구성하는 전형적인 ICP 입자 크기를 반영하는 부분적인 pin hole 구조를 보이는 것을 관찰할 수 있었다(Figure 3(d, e, f).18,30,31 알킬기의 길이가 짧아질수록 박막 표면 모폴로지는 더욱 작고 치밀한 pin hole 구조를 보였다. Oxidant-A0, A1 및 A2로부터 제조된 PPy 박막의 전형적인 pin hole 크기의 범위는 각각 64~96, 129~194, 226~ 290 nm였다. 산화제의 알킬기 길이가 짧아질수록 제조된 PPy 입자들은 더욱더 작고 균일한 크기를 가졌을 것이라고 추정된다. 이처럼 더욱 작고 균일한 크기의 PPy 입자들이 성막될 경우, 전도입자들의 계면에 접촉면이 넓어져 전기 전도도가 상승될 것이라고 예측할 수 있다.
단면 두께 측정 결과 FE-SEM으로 측정한 것이 surface profiler을 사용한 값보다 두껍게 측정되었으나, 세 가지 다른 산화제로 제조된 PPy 박막의 두께 변화 경향은 일치하였다(Figure 3(j)). 산화제의 벤젠 고리에 존재하는 알킬기 길이가 짧아질수록 VPP 공정을 통하여 제조된 PPy 박막의 두께가 증가한 것을 관찰하였다. 이것은 산화제 알킬기 길이가 짧아질수록 sulfonate계 도판트의 입체장애가 상대적으로 작아져 더욱더 두꺼운 PPy 박막을 형성한다고 생각된다.
PPy 박막의 전기적, 광학적 특성 분석.Figure 4에서 알킬기의 길이가 다른 산화제를 이용하여 VPP 공정으로 제조된 PPy 박막의 광-전기적 특성을 나타내었다. UV-Vis spectroscopy를 이용해 가시광선 파장 영역인 400~800 nm에서 광-투과도를 측정하였다(Figure 4(b)). 산화제의 알킬기 길이가 짧아질수록 투과도가 감소하는 것을 볼 수 있다. 이것은 전형적인 검은 색깔을 띠는 PPy(밴드갭=1.37 eV) 박막 특성에서 예상할 수 있다.32,33 Figure 3(j)에 나타난 PPy 박막의 두께 추이와 관련이 있다는 것이 유추된다. Figure 4(a)는 세 가지 산화제로 제조된 PPy 박막의 I-V curve이다. 측정한 전압영역(-30~30 V)에서 선형적인 특성을 보여 전형적인 옴(ohm) 거동을 나타내어 금속 특성을 지니고 있음을 확인하였다. 산화제가 가지는 알킬기의 길이가 짧아질수록 그 기울기가 커지는 것을 관찰하였다. 이는 알킬기의 길이가 짧은 산화제를 사용하여 제조된 PPy의 전기저항이 더욱 낮다는 것을 알 수 있다. PPy 박막의 모폴로지 분석에서 토의한 바와 같이 산화제의 알킬기 길이가 짧아질수록 제조된 PPy 입자들은 더욱더 작고 균일한 크기를 가져, 성막된 PPy 박막에서의 전도입자들 간의 계면의 접촉면이 넓어졌기 때문이라고 생각된다.
3종의 산화제의 농도를 10, 20 wt%로 바꾸어 PPy 박막을 VPP 공정으로 제조하고 광-전기적 특성을 정리하여 Figure 5에 나타내었다. 투과도는 UV-Vis 스펙트럼에서 사람의 눈에서 최대 감도를 갖는 550 nm에서의 값을 선택하여 비교하였다(Figure 5(a)). 산화제의 농도를 변화시켜도 알킬기의 길이에 따른 투과도 변화 경향은 동일하였다. 산화제의 함량이 증가할수록 투과도는 급격하게 감소하는데, 이는 PPy 박막의 두께가 증가하기 때문이다. 이것은 기존에 보고된 VPP 기반 PPy 박막의 경향과 일치하였다.34 Figure 5(b, c)는 PPy 박막의 전기적 특성을 비교하였다. 표면저항은 산화제 10, 20 wt%를 사용하더라도 산화제 알킬기의 길이에 따른 경향은 동일하였다. 즉 산화제 알킬기의 길이가 짧아질수록 표면저항은 감소하였다. 이는 벤젠고리에 대한 전자 공여성기로 작용하는 알킬기는 빠른 산화-커플링 중합반응을 일으켜 생성되는 PPy 입자의 크기를 크게 하여 성막된 박막에서의 계면 접촉면적을 떨어뜨리고 벤젠고리에 알킬기가 없는 A0 산화제의 경우 입체장애효과와 전자공여효과가 상대적으로 적기 때문에 생성되는 PPy 입자의 작아져 계면접촉면적이 커질 것으로 추정된다. Ha의 연구에서는 이러한 중합속도를 줄일 수 있는 이미다졸계 약염기(중합반응 억지제)를 첨가하여 중합속도를 줄여 생성된 PEDOT 박막의 전기 전도도가 크게 증가하였다고 보고한 바 있다.35 또한 Choi 등은 이미다졸에 다양한 전자 공여성기인 알킬기를 도입하여 생성된 박막의 전기 전도도를 향상한 바도 있다.36 Figure 5(c)의 전기 전도도는 식 (1)을 이용해 계산하였다.

이때 사용한 두께는 surface profiler로 측정한 값으로 계산하였다. 산화제 농도를 10, 20 wt%로 하였을 때, 산화제 알킬기에 따른 전기 전도도 변화 경향은 동일하였다. 20 wt%의 A1 산화제를 사용하였을 때 PPy 박막의 전도도는 19.5 S/cm를 나타내었는데 이는 기존 문헌의37 결과와 유사한 범위 값(4~25.0 S/cm)을 보여주었다.
|
Figure 2 1 H NMR spectra of iron(III)-alkylbenzenesulfonate: (a) iron(III) p-toluenesulfonate (Aldrich); (b) iron(III) benzenesulfonate (oxidant-A0); (c) iron(III) p-toluenesulfonate (A1); (d) iron(Ⅲ) 4-ethylbenzenesulfonate (A2). |
|
Figure 3 FE-SEM images of PPy thin films coated on slide glass (oxidant solution concentration is 20 wt%): surface image with ×500 magnification (a) A0; (b) A1; (c) A2, surface image with ×50 K magnification (d) A0; (e) A1; (f)A2, cross-sectional image ×40 K magnification (g) A0; (h) A1; (i) A2; (j) thickness comparison with different measurement method. |
|
Figure 4 Opto-electrical behavior of PPy thin films prepared with different oxidant species (a) I-V curve; (b) UV-Vis spectra. |
|
Figure 5 Opto-electrical properties of PPy thin films prepared with different oxidant species and oxidant contents: (a) transmittance; (b) surface resistance; (c) electrical conductivity |
벤젠고리의 파라 위치에 존재하는 알킬기의 길이를 조절한 ferric benzenesulfonate계 산화제 3종을 합성한 후 다양한 기판에 VPP 공정으로 PPy 박막을 제조하고 형태학적, 광-전기적 특성을 비교 분석하였다. 산화제가 가지는 벤젠고리의 알킬기의 길이가 짧아질수록 입체장애효과와 전자공여효과가 감소하여 제조되는 PPy 박막의 두께와 전기 전도도가 증가하는 경향을 보여주었다. 전도도의 증가는 중합되는 PPy 입자들의 크기에 기인하는 것이라 판단된다. 사용한 산화제의 알킬기 길이가 짧아지면 상대적으로 작은 입자들로 PPy 박막이 성막되어 더욱 치밀한 계면의 형성되고, 이로 인해 입자 간 접촉 면적이 늘어나고 전도계면이 넓어져 상대적으로 우수한 전기 전도도를 얻을 수 있다고 판단된다.
This Article2021; 45(3): 443-449
Published online May 25, 2021
Services
Correspondence toDivision of Advanced Materials Engineering, Kongju National University, 1223-34 Cheonan way, Cheonan 31080, Korea