
Kongju National University, 1223-24 Cheonan-daero, Seobuk-gu, Cheonan-si, Chungcheongnam-do 31080, Korea
공주대학교 고분자공학전공
Reproduction, stored in a retrieval system, or transmitted in any form of any part of this publication is permitted only by written permission from the Polymer Society of Korea.
Natural fiber reinforced polymer (NFRP) composites were prepared by a twin screw extruder to investigate the effect of metal oxides on the odor improvement that occurs during the manufacture of NFRP in polypropylene (PP). Kenaf fibers, bamboo fibers and cellulose nano fibers (CNF) were used as natural fibers, and in the case of metal oxides, copper oxides and manganese oxides were used alone or mixed. Component analysis of volatile organic compounds was conducted by using gas chromatography-mass spectrometry (GC-MS) and electronic nose (Heracles II). In particular, principal component analysis (PCA) was conducted on furfural and major organic compounds, which are known as major odor components of NFRP composite. In addition, the influence of the metal oxide on the mechanical properties such as tensile, flexural, and impact properties of the PP/BF composite was investigated.
금속 산화물 적용이 폴리프로필렌(PP)에 천연 섬유가 강화된 복합체(natural fiber reinforced polymer, NFRP) 제조 시 발생하는 냄새 개선에 주는 영향을 고찰하기 위해 NFRP 복합체를 이축압출기를 이용하여 제조하였다. 천연 섬유로는 양마 섬유, 대나무 섬유 및 셀룰로오스 나노 섬유(CNF)가 사용되었으며, 금속 산화물로는 구리 산화물과 망간 산화물을 단독 또는 혼합 적용하여 사용하였다. 기체 크로마토그래피-질량분석기(gas chromatography-mass spectrometry, GC-MS)와 전자 코(electronic nose, Heracles II)를 통해 휘발성 유기 화합물에 대한 성분 분석을 실시하였으며, 특히 NFRP 복합체의 주요 냄새 성분으로 알려진 furfural과 주요 유기 화합물에 대해 주요 성분 분석(PCA)을 실시하였다. 또한, 금속 산화물의 적용이 PP/BF 복합체의 인장, 굴곡, 충격 특성 등의 기계적 물성에 미치는 영향을 고찰하였다.
The effect of metal oxide on the odor of level polypropylene (PP)/natural fibers composites was discussed in this paper. Kenaf fiber, bamboo fiber and cellulose nano fiber were used as natural fibers, and copper oxides and manganese oxides were used alone or mixed.

Keywords: polypropylene, cellulose nano fiber, kenaf/bamboo fiber, furfural, metal oxide, odor.
최근 산업에서 고분자 복합소재 응용 시 유리 섬유와 탄소 섬유 같은 무기 섬유보다 환경적 측면에서 유리한 천연 섬유가 적용된 천연 섬유 강화 고분자(natural fiber reinforced polymer, NFRP)에 관한 연구 및 개발이 진행되고 있다.1-4
천연 식물에서 얻어지는 식물성 천연 섬유는 아마(flax), 대마(hemp), 양마(kenaf), 황마(jute), 용설란(sisal), 코이어(coir), 코코넛(coconut), 목재(wood), 대나무(bamboo), 버개스(bagasse) 등이 있다.5-7
이들 천연섬유 중 양마 섬유(kenaf fiber, KF)는 셀룰로오스 함량이 높고, 성장 속도가 빠르며, 이산화탄소 저감 효과가 큰 장점이 있다. 대나무 섬유(bamboo fiber, BF)는 한국, 중국 등 아시아의 넓은 지역에 분포되어 있으며, 성장 속도가 매우 빠르므로 원료수급에 용이하고 기계적 물성과 높은 탄성률 등의 우수한 특성을 가지기 때문에 자동차 내장재를 중심으로 활발한 적용 연구가 진행 중에 있다.8,9
일반적으로 자동차 내장재로는 합성 고분자 중 밀도가 가장 낮은 폴리프로필렌(polypropylene, PP)이 주로 사용되는데, PP는 높은 온도에서 가공되기 때문에 천연 섬유의 구성 성분 중 상대적으로 낮은 분해 온도를 가지는 헤미셀룰로오스, 리그닌 등의 열분해, 탄화가 발생하여 제품 외관 불량과 함께 냄새가 발생하는 문제가 발생하여 내장용 등에는 적용에 한계가 있다.
이와 같은 문제를 해결하기 위한 방안으로 셀룰로오스 나노 섬유(cellulose nano fiber, CNF)를 적용하려는 연구가 진행 중인데, 천연 섬유 구성성분 중 셀룰로오스는 헤미셀룰로오스와 리그닌과 같은 기타 구성 성분에 비하여 높은 결정 특성을 가지고 있어서 상대적으로 기계적, 열적 특성이 우수한 것으로 알려져 있다.10,11 셀룰로오스의 이러한 성질을 이용하기 위하여 헤미셀룰로오스, 리그닌 등을 기계적, 화학적으로 제거한 것을 셀룰로오스 섬유라고 하며, 그중 나노 크기의 셀룰로오스 섬유를 CNF라고 한다. CNF는 일반적으로 물과 같은 극성 용매에 분산된 slurry 형태를 가지며, 강철의 20%에 불과한 밀도지만 높은 종횡비, 우수한 결정 특성 등으로 같은 무게의 스테인리스 강철 대비 8배 높은 인장강도와 탄성률을 가진다.12,13
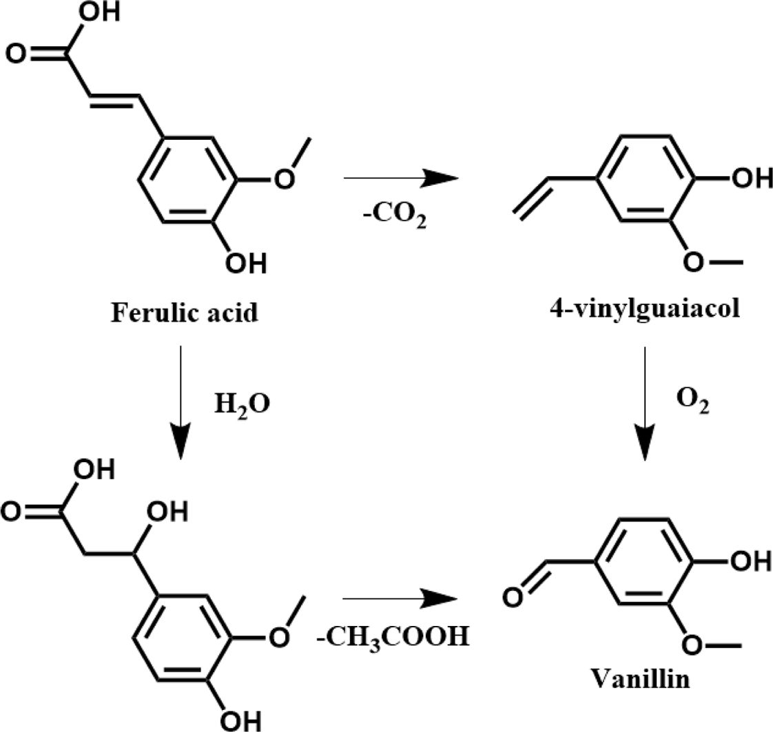
전술한 CNF의 경우 KF나 BF 복합체와 비교 시 냄새의 정도는 개선되지만, 순수 PP 대비 냄새가 발생하여 산업적 응용을 방해하는 요인으로 작용하고 있다. 천연 섬유 복합체를 자동차 내,외장재에 적용 시 분해 생성물 또는 휘발성 유기물(volatile organic compounds, VOCs) 등에 의해 냄새가 발생하며, 보통 냄새를 유발하는 물질의 종류는 알데하이드류, 지방산류, 질소화합물, 탄화수소류, 황화합물로 알려져 있고,14 이 중 알데하이드류 VOCs는 반응성 VOCs 중 가장 많은 성분으로 화장품, 접착제, 건축 자재, 합판, 카펫, 담배 연기 및 직물과 같은 많은 산업 제품군에서 방출되며,15 인, 후두, 눈 자극, 호흡 곤란 및 흉부 압박감 유발하며 장기적인 노출은 만성 질환 등 인체 건강에 악영향을 미칠 수 있다.16,17 NFRP의 경우 아래의 Figure 1, 2와 같은 메커니즘에 따라 발생하는 furfural 등이 냄새 주 원인 물질로 기존 연구들에서 언급되었다.18-20
Figure 2의 리그닌(ferulic acid)의 분해 시 생성되는 바닐린(vanillin)의 경우 식품, 음료 및 의약품의 향미제로 자주 사용될 정도로 안전한 물질이며, Figure 1에서 보여주는 셀룰로오스 및 헤미셀룰로오스의 구성단위인 D-glucopyranose의 분해에 의해 생성되는 furfural 그리고 furfuryl alcohol(2-Furan- methanol)의 경우 땅콩류의 구수한 냄새를 나타내며 살충제에 사용되는 등 NFRP의 냄새 주요 물질로 보고되었으며, 헤미셀룰로오스의 경우 셀룰로오스 대비 낮은 열안정성으로 상대적으로 많은 방출이 예상된다. 따라서 본 실험에서는 셀룰로오스 함량이 다른 천연 섬유의 종류별 금속 산화물 적용에 따른 furfural 그리고 furfuryl alcohol(2-Furanmethanol)의 변화를 고찰하고자 하였다.
본 연구실 등19-21에서는 다공성 무기물 적용 시 물리적인 흡착에 의한 냄새 제거 등을 연구하였지만, 물리적인 흡착은 VOCs의 본질적인 제거가 불가능한 단점이 있고, 타 연구분야에서 VOCs 제거에 효과적이라 알려진 금속 산화물을 적용하여 냄새 제거에 효과적인 결과를 얻었다.21 일반적으로 사용되는 금속 산화물 촉매로는 구리 산화물, 망간 산화물, 산화철 등이 있고, 이 중 망간 산화물은 산화 효율이 높고 독성이 낮아 수요가 많고 n-헥산, 아세톤, 벤젠, 에탄올, 톨루엔, 프로판, 질소 산화물 등의 산화에 효과가 있으며, 구리 산화물은 일산화탄소, 메탄, 에탄올 및 아세트알데하이드 등의 산화에 효과가 있다. 이들은 고가의 귀금속 촉매를 대체할 수 있어 가격 측면에서 장점이 있다.22 기존 연구에 따르면 VOCs 산화에서 속도 결정 단계는 금속 산화물로부터의 산소 제거 속도, 즉 금속 산화물의 환원성이 중요하다. 금속 산화물을 혼합하여 사용하면 제2 양이온을 첨가됨으로써 금속 산화물의 환원성이 개선될 수 있다.22-26 금속 산화물에 의한 VOCs 제거 반응은 금속 산화물 표면에 VOCs(RH)가 흡착하여 표면 산소에 의해 산화되어 CO2, H2O와 상대적으로 저분자물인 VOCs(R'H)를 생산하며, 산소 결손(oxygen vacancies)을 남기고, 금속 표면이 재산화될 때 산소 결손이 제거되는 과정이 반복되는 Mars-Van Krevelen(MVK) 메커니즘에 의하여 유기물이 제거되어 냄새가 감소하는 것으로 평가된다.27
이처럼 금속 산화물을 혼합하여 사용하면 다양한 VOCs에 대한 제거 효과와 금속 산화물의 환원성이 증가하는 장점이 있기 때문에 본 연구에서는 천연 섬유의 종류 별(BF, KF, CNF)로 금속 산화물(CuO, Mn3O4)을 단독 또는 혼합 사용한 PP 복합체를 제조하고 성분 및 냄새 정도를 분석하여 섬유의 종류 및 금속 산화물 조성에 따른 냄새 개선 효과를 고찰하였다.
|
Figure 1 Decomposition mechanism of D-glucopyranose, a major component of cellulose and hemicellulose. |
|
Figure 2 Decomposition mechanism of lignin (ferulic acid). |
실험재료. PP는 대한유화공업(주)의 CB5290과 SK종합화학(대한민국)의 BX3800을 1:1 비율로 혼합하여 사용하였고, BF는 (주)한양소재(대한민국)에서 200 mm 길이의 파우더 형태 제품을 제공받아 사용하였으며, KF는 (주)나노톡스 텍에서 제공받은 섬유를 마이크로 분쇄기(Polymix PX-MFC90D, Kineimatica, 영국)를 사용하여 분쇄하고 200 μm 체로 거른 후 사용하였다. CNF의 경우 CNNT(대한민국) 사 1 wt% slurry 형태의 NS-L01(길이: 4-6 μm, 너비: 5-70 nm)를 구매하여 감압 여과 후 마이크로 분쇄기를 통한 1차 분쇄와 Planetary ball mill(Fritsch, 독일)을 이용해 2차 분쇄한 시료를 사용하였다. 금속 산화물은 DAEJUNG(대한민국) 사의 Manganese(IV) oxide(Mn3O4)와 DAEJUNG(대한민국) 사의 Copper(I) oxide 95%(CP)를 구매하여 추가 정제 없이 사용하였다.
복합체 및 시편 제조. PP/BF 복합체 제조 시 이축 압출기(BA-11, L/D=36, 바우테크, 대한민국)를 이용하여 제조하였다. 스크류 속도를 100 rpm으로 고정하고, 압출기 온도는 210/210/210/210/205/200 oC로 하였다. PP/BF 복합체의 배합비는 천연 섬유를 20 g로 고정하였고, 금속 산화물을 총 함량은 5 g로 고정하고 함량에 변화를 주어 복합체를 제조하였다. 복합체명은 PP/(a)/C(b)_M(c)로 명명하였다. 이때 (a)는 천연 섬유의 종류, C(b)는 적용한 구리 산화물의 함량, M(c)는 망간 산화물의 함량을 나타내었다.
측정. 냄새 수준 평가는 국내 자동차 산업에서 사용되고 있는 관능적 방법(sensory evaluation)을 참고하여 20 mL 바이알에 시료를 담아 80 oC 오븐에서 2시간 가열, 실온에서 1시간 방치 후의 냄새를 측정하였다. 10명의 패널리스트가 냄새 정도를 국내 자동차 산업에서 사용하는 주어진 기준(6등급: 호흡 곤란을 느끼는 견디기 어려운 강렬한 냄새, 5등급: 아주 강한 냄새, 4등급: 쉽게 감지할 수 있는 냄새, 3등급: 냄새가 약하게 감지되며, 무슨 냄새인지 알 수 있음, 2등급: 무슨 냄새인지 알 수 없으나 냄새를 느낌, 1등급: 냄새 없음)에 따라 측정하여 평균값을 사용하였다. 성분 분석에는 SH-Rtx-WAX (Shimadzu, 일본) 칼럼이 장착된 가스 크로마토그래피 질량분석기(CLARUS600, PerkinElmer, 미국)를 사용하였고, head space (HS)-gas chromatography-mass spectrometry(GC-MS) 방법으로 시료 0.5 g을 20 mL HS 바이알에서 200 oC의 온도로 30분 동안 훈증한 후 35 oC의 초기 측정 온도에서 5분간 유지시킨 다음 8 oC/min의 승온 속도로 250 oC까지 올린 후 30분간 유지시켰으며, 분할 방식(split)을 통해 시료를 주입하여 측정하였다. 냄새의 객관적인 비교를 위하여 MXT-5, MXT-1701 칼럼이 장착된 E-nose(HERACLES-II-E-NOSE, alpha-mos사, 프랑스)를 사용해 샘플 사이의 냄새를 비교하였다. 인장, 굴곡 강도는 만능시험기(UTM, QM100T, Qmesys, 대한민국)을 이용하였고, 인장 강도의 경우 1 mm 두께의 시편을 5 mm/min의 속도로 변형을 가하고, 굴곡 강도의 경우 2 mm 두께의 시편을 1 mm/min의 속도로 변형을 가하며 측정하였다. 충격 강도의 경우 두께가 2 mm인 시편에 노치를 준 후 Izod impact tester(Qmesys, 대한민국)를 이용하였다. 기계적 물성 측정은 시료마다 5회 측정한 평균값을 사용한다.
GC-MS를 통해 PP/BF 복합체에서 발생하는 유기 화합물 분석결과를 Figure 3에 나타내었다. 천연 섬유를 구성하는 헤미셀룰로오스, 리그닌 등의 열분해에 의해 17.68분에서 furfural, 20.32분에서 furfuryl alcohol(2-Furanmethanol) 그리고 32.141분에서 vanillin 등을 포함하여 총 32 피크에서 27 종류의 VOCs의 방출이 검출되었고, 이를 화합물의 피크 크기순으로 Table 1에 나타내었다.
Figure 4은 천연 섬유 종류별 구리와 망간 산화물 함량 변화에 따른 NFRP 복합체의 관능적 시험 결과를 나타낸 것이다. 천연 섬유가 적용되지 않은 순수 PP의 경우 가장 낮은 등급인 1등급에 근접한 냄새 수준을 나타내지만, CNF를 비롯한 천연 섬유가 적용될 경우 3-5 등급의 냄새 수준으로 증가를 나타내었다.
이때 냄새 수준은 PP/BF, PP/KF, PP/CNF 순으로 높게 감지되었으며, 이는 BF와 KF의 경우 CNF에 비하여 셀룰로오스 함량이 낮아 헤미셀룰로오스, 리그닌 등의 함량이 높아 상대적으로 낮은 열 안정성을 가져 분해 반응이 많이 발생하기 때문으로 해석된다.10-11,28 또한, BF, KF, CNF 모두의 경우에서 금속 산화물을 적용하면, 신체가 느낄 수 있는 정도의 냄새 개선을 확인하였고, 금속 산화물이 적용될 때 단독 사용의 경우보다 혼합 사용할 경우 냄새 개선 효과가 크게 나타남을 확인할 수 있었다.
그러나, 이들 관능적 평가 결과는 평가자에 의한 주관적 평가 요소가 반영될 수 있다. 따라서 평가의 객관성과 정밀성을 유지하기 위해 전자코 실험을 이용하여 주요 성분 분석을 수행하였고, 전자코를 통한 주요 성분 분석(principal component analysis, PCA) 결과를 아래의 Figure 5에 나타내었다.
Figure 5(A)는 모든 VOCs에 대해서 Figure 5(B)는 NFRP 복합체의 냄새 원인 물질로 알려진 furfural에 대해서 PCA 결과를 나타낸 것이다. Figure 5(A)를 보면, PC1의 기여율은 90.948%이고 PC2의 기여율은 6.752%로 총 97.700%의 데이터를 분석하였고, Furfural에 대한 PCA 결과인 Figure 5(B)를 살펴보면, PC1의 기여율은 99.738%이고 PC2의 기여율은 0.2606%로 총 99.9986%의 데이터를 분석하였다. 본 실험에서 기준 샘플로 빈 바이알(Figure 5(a))과 금속 산화물이 적용되지 않은 PP/BF 복합체(Figure 5(b)), PP/KF 복합체(Figure 5(f)). PP/CNF 복합체(Figure 5(j))의 측정 결과를 이용하였으며, 복합체에서 방출되는 VOCs 및 냄새 물질의 성분 변화 정도는 Figure 5(a)에 근접할수록 감소가 크고 금속 산화물이 적용되지 않은 기준 샘플에 근접할수록 감소가 적은 것으로 해석할 수 있다. Figure 5(A)의 분석 결과를 살펴보면 PP/BF와 PP/CNF는 유사한 VOCs 방출 패턴을 보이는 것을 알 수 있으며, 금속 산화물의 적용에 따른 VOCs 방출의 감소를 확인할 수 있었다. PP/BF와 PP/KF의 복합체 군에서 구리와 망간 산화물이 혼합하여 적용된 복합체 Figure 5(d), Figure 5(h)의 결과가 Figure 5(a)에 가장 근접한 것을 확인하였고, PP/CNF 복합체의 경우 구리 산화물의 함량의 증가에 따라 개선 효과가 증가한 것을 확인하였다. Figure 5(B)를 살펴보면 PP/KF와 PP/CNF는 유사한 furfural 방출 패턴, 즉 냄새 방출 패턴을 보이는 것을 알 수 있으며, 기준 샘플 Figure 5(b), 5(f), 5(j)를 비교하면 Figure 5(j), 5(f), 5(b)의 순서로 Figure 5(a)에 근접한 패턴을 보였다. 이는 앞의 Figure 4에서 언급된 관능적 평가 결과와 일치하는 것으로 셀룰로오스 함량이 낮고 상대적으로 열 안정성이 낮은 헤미셀룰로오스 등의 함량이 높기 때문에 D-glucopyranose 분해가 활발하여 furfural의 방출량이 많은 것으로 해석된다. 또한, Figure 5(B) 금속 산화물의 적용에 따른 furfural 방출의 감소, 다시 말해 냄새의 감소를 확인할 수 있었다. PP/BF와 PP/KF의 복합체 군에서 Figure 5의 관능적 평가와 Figure 5(A)의 PCA와 동일하게 구리와 망간 산화물이 동일한 함량으로 첨가된 복합체 Figure 5(d), 5(h)의 결과가 Figure 5(a)에 근접한 것을 확인할 수 있었고, PP/CNF 복합체의 경우 구리 산화물의 함량 증가에 따라 개선 효과가 증가한 것을 확인하였다.
또한, 망간이 구리보다 상대적으로 고가이기 때문에 망간 산화물의 함량을 줄이고 구리 산화물의 함량을 조절하였을 때 우수한 개선 효과를 보여 혼합 적용이 경제성 측면에서 고려될 수 있다.
금속 산화물이 혼합 적용된 NFRP 복합체의 기계적 물성을 Figure 6-8에 나타내었다. PP/BF 복합체 군의 경우 PP/BF/C0_M5 복합체에서 최적의 물성을 보이며, PP/KF와 PP/CNF 복합체 군에서는 구리와 망간 산화물을 동일 함량으로 혼합한 PP/KF/C2.5_M2.5, PP/CNF/C2.5_M2.5 복합체에서 최적의 기계적 물성을 보이는 등 조성의 변화에 따라 기계적 물성에 일부 증감이 발생하였으나 변화 폭이 미미하여 금속 산화물이 적용되어도 자동차 내장재로의 사용에는 큰 문제가 없을 것으로 판단된다. Figure 7
|
Figure 3 GC-MS peaks of PP/BF composite. |
|
Figure 4 Odor level of NFRP composites as a function of metal oxides ratio and natural fiber type. |
|
Figure 5 PCA plots of (A) total VOCs materials; (B) furfural: (a) empty vial; (b) PP/BF; (c) PP/BF/C0_M5; (d) PP/BF/C2.5_M2.5; (e) PP/ BF/C5_M0; (f) PP/KF; (g) PP/KF/C0_M5; (h) PP/KF/C2.5_M2.5; (i) PP/KF/C5_M0; (j) PP/CNF; (k) PP/CNF/C0_M5; (l) PP/CNF/ C2.5_M2.5; (m) PP/CNF/C5_M0 |
|
Figure 6 Mechanical properties of PP/BF composites as a function of metal oxides ratio. |
|
Figure 7 Mechanical properties of PP/KF composites as a function of metal oxides ratio. |
|
Figure 8 Mechanical properties of PP/CNF composites as a function of metal oxides ratio |
본 연구에서는 NFRP 복합체 제조 시 천연 섬유의 분해에 의해 발생할 수 있는 냄새 문제 해결 방안으로 금속 산화물의 혼합적용을 고찰하였다. GC-MS 분석 결과를 통해 27종류의 VOCs를 확인하였고, 특히 냄새 유발 물질로 추측되는 furfural 및 furfuryl alcohol(2-Furanmethanol)의 검출을 확인하였다. 관능적 평가를 통하여 천연 섬유 적용과 금속 산화물 적용에 따라 인체가 감지하는 냄새 수준의 변화를 확인하였고, CNF의 경우가 KF와 BF 대비 냄새 수준이 낮게 나타남을 확인하였다. Furfural에 대한 전자코 측정 결과를 통해 금속 산화물 적용에 따른 VOCs 및 냄새 방출 패턴을 분석한 결과, 냄새 저감 효과가 망간 산화물 단독 적용 시보다 혼합 적용(KF, BF) 혹은 구리 산화물 단독 적용 시(CNF) 양호한 결과를 보여주었다. 이는 상대적으로 고가인 망간 사용량을 줄여 원가를 절감할 수 있는 측면에서 산업체 등에 기초적인 자료로 활용될 수 있을 것으로 기대된다. 금속 산화물의 적용이 NFRP 복합체의 기계적 물성 측정 결과 물성의 변화폭이 크지 않아 자동차 내장재 적용에 큰 문제가 없을 것으로 판단된다.
This Article2021; 45(5): 711-716
Published online Sep 25, 2021
Services
Correspondence toKongju National University, 1223-24 Cheonan-daero, Seobuk-gu, Cheonan-si, Chungcheongnam-do 31080, Korea