
Materials R&D Center, SK Innovation, 325, Exporo, Yuseong-gu, Daejeon, Chungcheongnam-do 34124, Korea
*Division of Chemical Engineering, Dankook University, 126, Jukjeon-dong, Suji-gu, Gyeonggi-do 17045, Korea
SK 이노베이션, *단국대학교 화학공학과
Reproduction, stored in a retrieval system, or transmitted in any form of any part of this publication is permitted only by written permission from the Polymer Society of Korea.
The effect of ultrasound on the blend of recycled acrylonitrile butadiene styrene copolymer (ABS) and recycled polyethylene terephthalate glycol-modified (PETG) was investigated. The r-ABS/r-PETG (50/50) blend was prepared using a melt mixer equipped with an ultrasonic device, and the thermal and mechanical properties and the morphology were investigated using differential scanning calorimeter (DSC), universal testing machine (UTM), scanning electron microscope (SEM), atomic force microscopy (AFM), and attenuated total reflection (ATR). The properties of the sonicated blends were changed according to the sonication time. The tensile strength distinctly increased even when the ultrasonic wave was irradiated for 15 seconds. This increase is thought to be due to the improved interfacial adhesion by the copolymer of recycled ABS and recycled PETG generated by sonication.
재생 acrylonitrile butadiene styrene copolymer(ABS)와 재생 polyethylene terephthalate glycol-modified (PETG)의 블렌드에 초음파가 미치는 영향을 조사하였다. 초음파 가진 장치가 장착된 용융 혼련기를 이용하여 재생 ABS/재생 PETG(50/50) 블렌드를 준비하였고 열적, 기계적 물성 및 미세구조를 시차주사열량계(DSC), 만능시험기(UTM), 주사전자현미경(SEM), 원자간격현미경(AFM), 감쇠전반사(ATR)를 이용하여 살펴보았다. 초음파를 가진한 블렌드의 물성은 초음파 가진 시간에 따라 변하였는데 초음파를 15초간 가진했을 때에도 인장강도의 뚜렷한 증가를 보였다. 이는 초음파로 인해 생성된 재생 ABS와 재생 PETG의 공중합체가 계면 접착력을 향상시켰기 때문이라고 판단되었다.
In the attenuated total reflection (ATR) spectrum, polyethylene terephthalate glycol-modified (PETG) showed its characteristic absorption near 730 cm-1. G50 etched with methyl ethyl ketone (MEK) showed almost similar absorption to that of recycled polyethylene terephthalate glycol-modified (r-PETG), which means that almost all of the dispersed recycled acrylonitrile butadiene styrene copolymer (r-ABS) has been removed by MEK. The etching result of G50 treated with ultrasonication for 180 seconds showed that the characteristic peak of r-ABS still remained in the vicinity of 697 cm-1. This is believed that for the sonicated blend, the copolymer was formed by some reaction between r-ABS and r-PETG.

Keywords: recycled acrylonitrile butadiene styrene copolymer, recycled polyethylene terephthalate glycol-modified, ultrasound, in-situ compatibilization.
본 연구는 2020년도 단국대학교 대학연구비 지원으로 연구되었음(과제번호 R202000614).
저자들은 이해상충이 없음을 선언합니다.
인류가 사용한 후 폐기되는 재료의 재활용은 플라스틱 산업에서 중요한 도전이다. 폐기물에 포함된 플라스틱의 양은 상당할 뿐 아니라 높은 내후성으로 인하여 자연 환경에서 오랜 기간 분해 되지 않고 남아있게 된다.1 플라스틱의 재활용은 환경적 측면을 넘어서 에너지와 재료로 재사용할 수 있기 때문에 경제적으로도 중요하다. 이를 통해 천연자원과 에너지를 적게 사용하고 환경에서의 폐기물을 줄일 수 있을 뿐 만 아니라 경제적으로도 비용을 아낄 수 있다. 그러나 이를 위해서는 깨끗하고 값싼 제품(에너지 또는 재료)을 제조할 수 있는 재활용 기술이 필요하다.2,3
폐기물에는 많은 종류의 플라스틱이 있다. 본 연구에서는 이들 중 acrylonitrile butadiene styrene copolymer(ABS)와 polyethylene terephthalate glycol-modified(PETG) 두 종류의 고분자를 선택했는데 이들 수지 들은 여러 분야에서 널리 사용되기 때문에 플라스틱 재활용 산업에서 공급 과잉 상태이다. 이러한 공급과잉으로 인해 상대적으로 비용은 낮지만 폐기물을 재활용하는 과정에서 분리가 극히 어려운 혼합물 형태로 존재하는 경우가 많아 재활용시 낮은 제품 품질(예를 들면 기계적 물성 저하, 박리 등)을 나타내곤 한다. 예를 들면, ABS의 경우에는 재활용 제품의 물성에 심각한 영향을 줄 수 있는 high impact polystyrene(HIPS)에 의해 오염되어 있는 것이 일반적이다. 따라서 만약 이들을 적절하게 분리, 가공, 개질 할 수 있다면 사용 후 폐기된 고분자 폐기물은 기존의 재료들을 대체할 수 있는 소중한 고분자 자원이 될 수 있을 것이다.4-6
고분자 혼합물의 블렌딩 및 반응압출은 신소재를 개발하는데 유용한 접근 방법이지만 대부분의 고분자들은 서로 비혼화성이고 매우 낮은 계면 접착력을 가져서 블렌딩 과정에서 상이 분리된다. 상용성을 증가시킬 수 있는 몇 가지 방법이 있는데 가공하는 동안 혼합물에 제3의 성분을 상용화제로 추가하여 계면에서의 물리적인 또는 화학적인 상호작용을 증가시키는 방법이 있으나 이는 비용의 증가를 초래할 수 있다. 또다른 방법으로는 특별하게 선정된 반응성 화학약품을 사용하여 고분자들 사이에서 블록 또는 그라프트 공중합체를 가공 중 in-situ로 형성하거나 계면에서 화학적 상호작용을 일으키는 반응 블렌딩을 통해 비혼화성 고분자들 사이의 계면접착력을 향상시킬 수 있다.7-9
최근에는 폴리머 가공 중에 고강도 초음파를 조사하면 폴리머 사슬이 일시적으로 분해를 일으켜 반응성이 큰 마크로 라디칼을 생성한다고 보고되고 있다.10,11 본 연구에서는 재생 ABS와 재생 PETG를 용융 블렌딩함에 있어서 고강도 초음파를 가진하고 비혼화성인 재생 ABS와 재생 PETG의 계면에 in-situ 블록 또는 그라프트 공중합체를 형성하여 계면접착력을 향상시키고자 하였다.
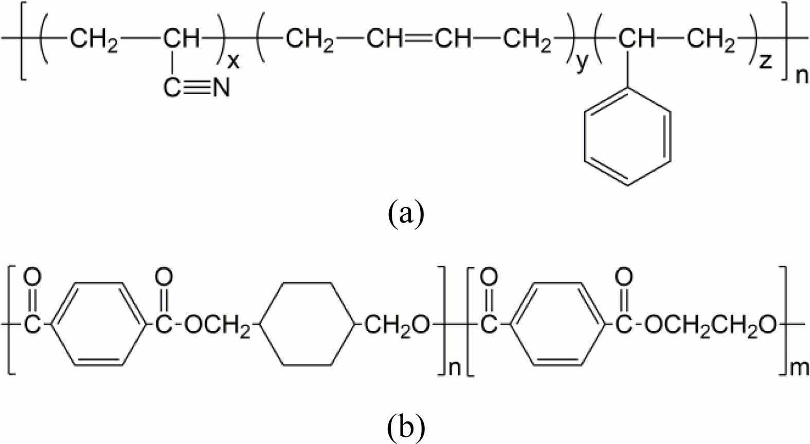
원료.재생 ABS(recycled acrylonitrile butadiene styrene copolymer, 이후 r-ABS)와 재생 PETG(recycled polyethylene terephthalate glycol-modified, 이후 r-PETG)는 리싸이클 엔지니어링 플라스틱 전문업체인 도원산업(대한민국)으로부터 공급받아 추가 정제 없이 사용하였다. 순수한 ABS와 PETG의 분자구조는 Figure 1에 나타내었다. 모든 원료는 실험 전에 충분히 건조한 후 사용하였다.
초음파를 가진한 고분자 블렌드의 준비.r-ABS와 r-PETG 펠렛은 사용하기 전에 50 oC 진공건조기에서 최소 12시간 건조하였다. 용융 혼련기(Rheocord 9000, Haake, Germany)를 이용하여 r-ABS/r-PETG 조성비를 100/0, 70/30, 50/50, 40/60, 0/100로 210 oC, 75 rpm에서 혼련하였다. 여기에 필요에 따라 조성비를 추가하기도 하였다. 초음파 가진의 효과를 조사하기 위해 용융 혼련기에 초음파 가진 장치(1500 W, Sonics, Korea)를 장착하고 r-ABS/r-PETG(50/50) 블렌드를 대상으로 하여 혼련하였다. 초음파의 주파수는 20 kHz, 펄스 on/off 비는 7:3으로 하였고 초음파 가진 시간은 0-5분까지 변화시키며 실험하였다. 본 연구에서 사용한 용융 혼련기의 개략도를 Figure 2에 도시하였다. 초음파를 가진한 블렌드는 다음 실험을 위하여 50 oC에서 최소 12시간 이상 진공으로 건조하였다.
열적 특성. 시차주사열량계(differential scanning calorimeter, DSC, model 2910, TA instrument, U.S.A.)를 이용하여 r-ABS/r-PETG 블렌드의 Tg 변화를 조사하였다. 건조한 시료를 20 oC/min의 속도로 260 oC까지 승온한 후 급속 냉각하였다가 다시 20 oC/min로 260 oC까지 승온하였다.
유변학적 거동.블렌드의 가공조건을 조사하기 위하여 모세관 점도계(Rheograph 2003, Geottfert, Germany)를 사용하였다. 전단 속도는 50-250 s-1였고 온도는 180-240 oC였다. 또한 초음파를 가진한 블렌드의 점도 변화를 조사하기 위해서는 지름 25 mm 평행 디스크가 장착된 진동 레오미터(ARES, TA Instrument, U.S.A.)를 사용하였다. 각 주파수(angular frequency) 범위는 0.1-100 rad/s, strain은 10%, 디스크간 거리는 1.2 mm였다.
기계적 특성.블렌드의 인장 시험편은 가열 압축성형기(laboratory press, Carver, Inc., U.S.A.)를 이용하여 블렌드 수지 펠렛을 220 oC에서 3분간 유지하여 완전히 용융시킨 후 19000 lbf의 압력으로 제조하였다. 블렌드의 인장 특성은 만능시험기(universal testing machine, UTM, LR5K plus, Lloyd instrument, Great Britain)를 이용하여 측정하였다. 게이지 길이는 25.4 mm였고 crosshead speed는 50 mm/min였다.
미세구조.주사전자현미경(scanning electron microscope, SEM, model S-2200C, Hittachi, Japan)을 사용하여 미세구조를 관찰하였다. 미세구조를 보다 명확하게 관찰하기 위해 파단된 시험편의 r-ABS상을 MEK(methyl ethyl ketone)를 사용하여 에칭시켰고 모든 시험편은 단면을 gold coating 하여 사용하였다. 파단면의 표면 거칠기는 삼차원 원자간력 현미경(atomic force microscopy, AFM, PSIA Inc., U.S.A.)을 이용하여 측정하였다. 주사형태(scanning mode)는 contact mode였고 속도는 1-2 Hz, serve gain은 24.164×10-6 nm/step였다.
분광학적 특성.감쇠전반사(attenuated total reflection, ATR) 스펙트럼은 FTIR 분광계(8501 IR spectrometer, Shimadzu, Japan)를 이용하여 평균 32 scan, 해상도 4 cm-1의 조건에서 블렌드의 구조변화를 관찰하였다.
|
Figure 1 Chemical structures of materials used in this study: (a) ABS; (b) PETG |
|
Figure 2 Melt mixer equipped with ultrasonic device. |
r-ABS/r-PETG 블렌드의 상용성. r-ABS/r-PETG 블렌드 전 조성에 대해서 DSC를 이용하여 상용성을 조사하였다. Figure 3은 용융혼련기로 혼련한 샘플의 2차 승온 그림이다. 순수 r-ABS의 경우 약 110.4 oC 부근에서 완만한 Tg를 보였고 순수 r-PETG의 경우에는 85.2 oC 부근에서 뚜렷한 Tg를 보였다. 블렌드의 경우에도 두개의 Tg가 관찰되었고 그 위치의 변화가 거의 없는 바 상용성이 매우 불량한 것으로 판단되었다. r-PETG의 함량이 증가함에 따라 고온에서의 DSC 곡선의 변화가 뚜렷하지 않고 넓은 범위에서 약간의 발열이나 흡열로 보이는 피크가 관찰되었다. 이는 r-PETG 원료 자체를 얻는 과정에서 많은 경우 PET와 함께 수거, 가공되어 PET의 혼입을 피할 수 없었기 때문이라고 생각되는 바 고온에서의 넓은 피크들은 이에 따른 재결정과 용융에 따른 것이라 생각된다.
전조성의 Tg를 Table 1에 수록하였다. 이 중에서도 50/50의 경우 뚜렷한 두개의 Tg를 보이는 바 r-ABS/r-PETG 블렌드에 미치는 초음파의 영향을 보다 명확하게 관찰하고자 r-PETG 50 wt%를 선정하여 초음파 가진 시간에 대한 효과를 연구하였다. 단, 분산상 관찰을 위해서는 60 wt%를 선정하였다.
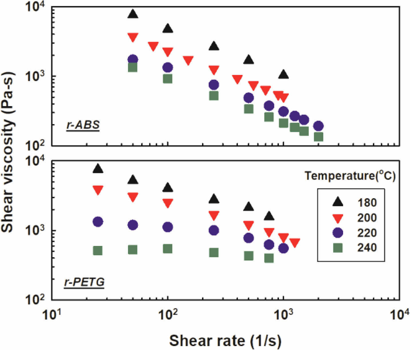
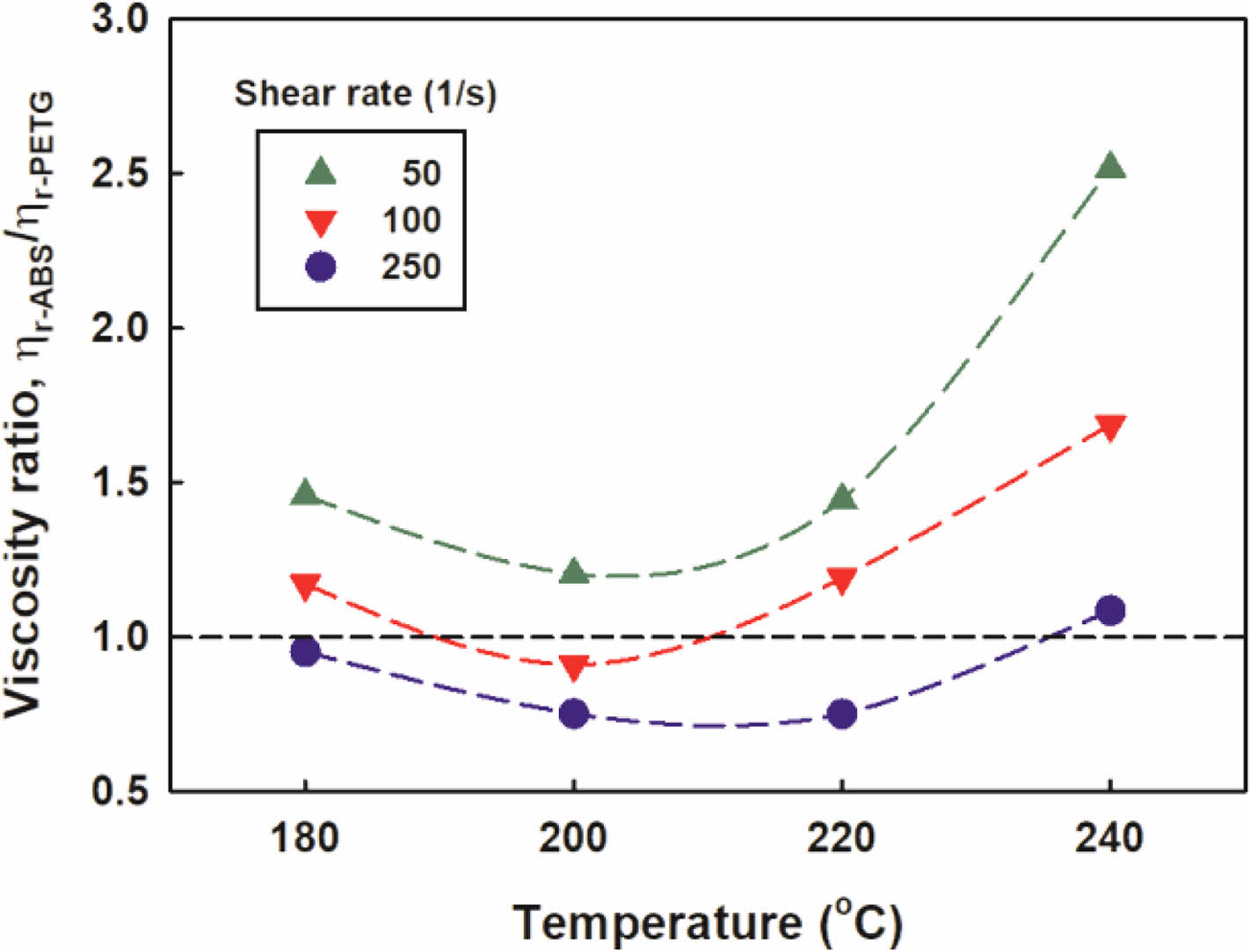
가공조건의 선정. 모세관 점도계를 이용하여 구한 r-ABS와 r-PETG의 전단 점도를 Figure 4에 도시하였다. r-ABS와 r-PETG 둘다 전형적인 전단박하(shear thinning) 현상을 보였는데 r-ABS가 더욱 현저하였고 온도의 영향은 r-PETG가 더 큰 것으로 나타났다. Figure 5에 r-ABS와 r-PETG의 점도비(viscosity ratio)를 세가지 전단속도에서 온도에 따라 도시하였다. 전단속도 50 s-1을 보면 온도가 증가함에 따라 점도비는 감소하였다가 약 205 oC 부근에서 최저값을 보이고 다시 증가하였다. 다른 전단 속도의 경우도 비슷한 경향을 보였다. 비혼화성(immiscible)을 보이는 블렌드계에서 두 고분자의 점도가 비슷할수록, 즉, 점도비가 1에 가까울수록 블렌드의 입자크기가 작아지는 효과가 있어 혼련 효율이 좋아지게 된다.12,13 가공온도로는 속도 100 s-1에서는 210 oC, 전단속도 250 s-1에서는 235 oC가 해당되는 바 낮은 온도인 210 oC를 택하였다.
열적 특성. Figure 6에 초음파 가진 시간에 따른 G50에서의 각 상의 Tg 변화를 도시하였다. 위의 두 곡선은 각각 r-ABS상과 r-PETG상의 Tg이고 맨 아래 곡선의 위의 두 곡선의 차 이다. 흥미롭게도 두 Tg 사이의 차이는 15초에서 작아졌다가 초음파 가진 시간이 더 증가함에 따라 다시 증가하였다. 이것은 초음파에 의한 블렌드 계의 상용성을 증가 시키는데 있어서 필요한 최적의 에너지가 있다는 것을 의미하는 바 본 연구에서는 G50에 짧은 시간의 초음파 가진을 한 후 여러가지 물성을 조사하고 최적 가진 시간의 이유를 알아보고자 하였다.
유변학적 거동. Figure 7에 초음파 가진시간에 따른 점도를 여러 각주파수에서 도시하였다. 시험한 전단속도 범위 내에서 모든 용융 샘플들은 각주파수가 증가함에 따라 점도가 감소하는 non-Newtonian 거동을 보였으며 초음파 가진에 따라서는 점도가 증가하였다. 15초 보다 길게 초음파를 가진 했을 때 점도의 향상이 조금 더 가파랐다가 1분을 지나면서 다시 완만해 졌다. 블렌드의 점도는 분자량 분포와 분산상의 분산 정도와 밀접한 관련이 있다. 일반적으로 상대적으로 저분자량 고분자를 비혼화성 블렌드에 첨가하면 첨가된 성분에 의한 가소화 작용으로 점도가 낮아지게 된다.14 반면에 분자량이 높은 경우에는 점도가 높아진다. 여기에서는 두가지로 설명할 수 있는데 첫째, 초음파 가진에 따라 분자쇄 절단으로 생성된 macro 라디칼이 재결합하여 고분자량 꼬리(tail)가 만들어져서 점도가 증가하였다고 사료된다.15,16 두번째는 상계면에서 증가한 상호작용이 분자들의 자유부피와 분자쇄의 운동성을 저하시켜 점도가 증가하게 된다고 생각된다. 즉, 기지재와 도메인 간의 계면 접착력이 증가하여 점도가 증가하게 된다고 판단된다.17,18
기계적 물성. Figure 8은 초음파 가진 시간에 따른 블렌드의 인장강도를 보여준다. 도시된 세가지 조성에 대해 약 15초 간 초음파를 가진 한 샘플이 초음파를 가진 하지 않은 샘플 보다 약 7% 정도의 인장강도 향상을 보였다. 그러나 초음파를 더 가진하였을 때는 인장강도가 약간 감소하였다. 초기의 인장강도의 향상은 초음파에 의한 상용성 증가에 기인하는 것이라 사료된다. Figure 9는 모폴로지와 분산상의 변화를 보여준다. G50의 경우에는 co-continuous 영역이 많아서 SEM 사진으로 초음파 가진의 효과를 판별하기가 매우 어려워 분산상이 존재하는 G60를 대상으로 관찰하였다. 초음파 가진을 안한 G60의 경우 도메인 크기가 매우 큰 전형적인 비혼화성 sea and island 모폴로지를 보여주고 있다. 초음파 가진 시간이 증가함에 따라 분산상의 크기는 줄어 들어 단지 15초 가진한 샘플의 경우에도 분산상의 크기가 약 2 mm 정도로 줄어들었다. 이는 초음파가 ABS와 PETG 간의 일부 반응을 일으켜서 소량의 공중합체를 형성하였고 이것이 상용화제 역할을 하여 두 상간의 표면장력을 낮추는 효과를 가져왔기 때문 이라 사료된다. 그러나 가진시간이 더 경과하였을 때는 더 이상의 분산상의 크기감소는 관찰되지 않았다. 이러한 상용화제의 영향은 에멀젼 계에서의 계면 활성제의 거동과 유사하다.19 Plochocki 등은 저밀도 폴리에틸렌/폴리스티렌 블렌드계에 대해 상용화제의 양에 따라 분산상의 최소 크기를 관찰하였다.20 본 연구에서는 분산상의 크기 감소로만 볼 때 최적 초음파 가진 시간은 15-60초로 판단된다. 이 시간보다 초음파 가진을 더 했을 때, 투여된 과잉의 에너지는 분산된 ABS 상의 크기 감소 대신에 분산상들의 중첩을 유도하는 경향이 있어서 불량한 분산과 계면 면적의 감소 효과를 가져왔고 이러한 것이 열적 특성과 기계적 특성에서 최적값이 존재하는 이유라고 사료된다.
AFM을 측정하여 초음파 가진시간에 따른 G50의 평균 표면거칠기를 Figure 10에 도시하였다. 초음파를 가진한 표면의 거칠기가 더 작았고 15초 정도에서 최소값을 보였다. 이는 초음파 처리한 블렌드의 모폴로지가 처리하지 않은 것보다 더 안정적이며 초음파 처리한 블렌드의 분산상과 기지재 사이에 전이 계면 나노층(transition interface nanolayer)이 존재함으로서 비혼화성 블렌드의 계면에서 접착력을 향상시켜 상용성이 증가했기 때문이라고 사료된다.21,22
분광학적 분석. r-ABS, r-PETG, G50, 초음파 처리한 G50의 ATR 스펙트럼을 Figure 11에 도시하였다. 파수(wavenumber) 600-800 cm-1범위 내에서 ABS의 가장 뚜렷한 흡수 특징은 735-765: angular deformation ArCH(mono-substituted)와 697: aromatic C-H out of plane angular deformation 진동이다.23 PETG에서는 730 cm-1 부근에서 aromatic ring에 대한 두개의 carbonyl 치환체의 C-H out-of-plane deformation 진동이 나타난다.24 MEK(methyl ethyl ketone)로 r-ABS를 에칭시킨 G50을 보면 r-PETG의 경우와 거의 유사한 흡수 특성을 보이고 있는데 이는 분산상인 r-ABS가 MEK에 의해 거의 다 제거되었다는 것을 뜻한다. 반면에 G50에 초음파를 180초간 가진하고 r-ABS를 에칭한 결과를 보면 697 cm-1 부근에서 r-ABS의 특징 피크가 남아있는 것을 볼 수 있다. G50을 에칭한 경우는 r-ABS가 거의 다 녹아 나왔고 초음파 처리한 G50을 에칭한 경우는 훨씬 덜 녹아 나왔다고 판단할 수 있다. 이는 초음파 처리한 블렌드의 경우 r-ABS와 r-PETG 사이에서 일부 반응에 의해 공중합체가 형성된 것을 의미한다고 판단된다.
|
Figure 3 DSC thermogram of r-ABS/r-PETG blends. |
|
Figure 4 Shear viscosity versus shear rate of r-ABS and r-PETG at different temperatures. |
|
Figure 5 Viscosity ratio versus temperature at different shear rates. |
|
Figure 6 Effect of ultrasound irradiation on the compatibility of G50. |
|
Figure 7 Complex viscosity versus sonication time of G50 at different angular frequencies. |
|
Figure 8 Tensile strength versus sonication time of r-ABS/r-PETG blends at different r-PETG content. |
|
Figure 9 SEM photographs of fractured surface of G60 (×1000). The sonication times are (a) 0 sec; (b) 15 sec; (b) 60 sec; (d) 300 sec. |
|
Figure 10 Roughness of molded surface versus sonication time of G50. |
|
Figure 11 ATR spectra of r-ABS, r-PETG, G50 with and without sonication. |
DSC를 이용하여 Tg를 측정함으로써 r-ABS와 r-PETG 사이의 혼화성을 조사하였다. 블렌드계 중 불량한 상용성이 예측되는 G50(r-PETG 함량 50 wt%) 부근을 초음파 효과의 연구를 위한 조성으로 선정하였다. 용융혼련 중 초음파를 가진한 블렌드의 인장물성은 15초라는 아주 짧은 가진 시간에도 불구하고 인장강도의 뚜렷한 증가를 보였다. G60에 초음파를 처리하고 SEM을 이용하여 파단면을 관찰하였는데 그 결과 r-ABS 분산 상의 크기에서 극적인 감소를 보였다. 파단면의 SEM 사진으로부터 G60의 초음파 가진은 기지재와 분산상 사이 계면에서의 접합력을 증가시킨다고 판단되었다. 열적, 유변학적 특성 및 AFM, ATR 측정을 통하여 이러한 접합력 증가는 초음파 가진으로 인해 r-ABS와 r-PETG 사이에서 일부 화학반응이 일어나 블록 또는 그라프트 공중합체가 형성된 것 때문 이라고 믿어진다. 이상의 일련의 연구를 통하여 현재 사회적으로 심각한 문제가 되고 있는 폐플라스틱 혼합물의 재활용에서 블렌드의 물성저하 문제 등을 해결하는데 많은 도움이 될 것이라고 사료된다.
This Article2022; 46(1): 56-61
Published online Jan 25, 2022
Services
Correspondence toDivision of Chemical Engineering, Dankook University, 126, Jukjeon-dong, Suji-gu, Gyeonggi-do 17045, Korea