
Department of Advanced Materials, Hannam University, 1646 Yuseong-daero, Yuseong-gu, Daejeon 34054, Korea
*Department of Chemical Engineering, Hannam University, 1646 Yuseong-daero, Yuseong-gu, Daejeon 34054, Korea
한남대학교 신소재공학과, *한남대학교 화학공학과
Reproduction, stored in a retrieval system, or transmitted in any form of any part of this publication is permitted only by written permission from the Polymer Society of Korea.
We introduce gadolinium (Gd)-doped cerium oxide (GDC) nanoparticles with hydrocarbon-based proton exchange membrane of sulfonated (ether ether ketone) (SPEEK) for realizing enhanced physical and chemical membrane stabilities. The oxygen vacancy of GDC increases with doping of Gd into ceria, enhancing the chemical stability from the radical degradation. The SPEEK/GDC composite membrane exhibits an increased proton conductivity at low relative humidity conditions due to its higher affinity with water molecules. Moreover, the GDC nanoparticles in the SPEEK matrix enhance not only the mechanical stability with preventing membrane swelling but also the radical resistive chemical stability of the composite membrane.
탄화수소계 전해질 고분자의 취약한 화학적 안정성과 습도조건에 따른 물리적 안정성을 확보하기 위하여, gadolinium(Gd)이 도핑된 세륨 옥사이드(cerium oxide, ceria) 나노 입자를 합성하여 탄화수소계 전해질 고분자 sulfonated poly(ether ether ketone)(SPEEK)에 도입한 복합막을 제조하였다. Gd-doped ceria(GDC)는 기존의 ceria와 비교하여 증가된 산소 공공을 나타내며, 이를 통한 라디칼 억제 기능이 더욱 활성화된다. SPEEK/GDC 복합막은 증가된 bound water로 인해 저가습 수소 이온 전도도가 향상되었으며, 억제된 습윤 팽창률과 증가된 인장강도로 인해 물리적 안정성이 증가되었다. 뿐만 아니라, Fenton’s 평가 결과 향상된 화학적 안정성을 나타내는 것을 확인하였다.
Proton exchange membranes of poly(ether ether ketone) (SPEEK) are developed by introducing gadolinium-doped cerium oxide (GDC) nanoparticles with an increased oxygen vacancy. SPEEK/GDC composite membrane shows increased proton conductivity at low relative humidity conditions due to its higher affinity with water molecules. Moreover, the SPEEK/GDC membrane has enhanced mechanical and chemical stabilities with preventing membrane swelling and radical attack from the fuel cell operation, respectively.

Keywords: polymer electrolyte membrane, sulfonated (ether ether ketone), gadolinium, cerium oxide, composite membrane.
이 논문은 2020학년도 한남대학교 학술연구비 지원에 의하여 연구되었음(2020A021).
저자(들)는 이해상충이 없음을 선언합니다.
다음과 관련된 실험 과정에 대한 정보(GDC 나노 입자의 EDS 분석, SPEEK 합성 과정, 복합 용액 분산 결과 SEM 이미지). 이 자료는 다음 사이트에서 얻을 수 있습니다(http://journal.polymer-korea.or.kr).
PK_2022_046_02_179_Supporting_Information_template.pdf (255 kb)
Supplementary Information
고분자 전해질막(proton exchange membranes, PEMs)을 이용하는 고분자 전해질 연료전지(PEM fuel cells, PEMFCs)는 화석연료를 대체하는 친환경 신재생 에너지로서 자동차, 가정용 및 발전용 응용분야 등에 이르는 매우 중요한 전력생산 수단으로 여겨지고 있다.1 특히, 고분자 전해질막은 효과적인 수소 이온의 전달과 반응 연료의 차단을 통해 연료전지의 성능과 내구성을 결정하는 매우 핵심적인 요소로 활용되고 있다.2,3 대표적인 불소계 이온 전달 고분자인 Nafion과 Aquivion은 높은 수소 이온 전도도와 습윤조건에 따른 안정적인 막 물성, 높은 화학적 내구성을 바탕으로 연료전지 전해질막으로서 매우 유용하게 사용되고 있다. 이와 같은 불소계 전해질 고분자의 장점에도 불구하고, 대부분의 불소계 전해질 고분자는 높은 가격과 낮은 열적 안정성, 높은 가스 투과율 등의 취약점을 보이고 있다.4-6
최근, sulfonated poly(ether ether ketone)(SPEEK), sulfonated poly(arylene ether ketone)(SPAEK), sulfonated poly(arylene ether sulfone)(SPAES) 및 sulfonated polyimide(SPI) 등의 탄화수소계 기반의 전해질 고분자 개발을 통한 불소계 전해질 고분자의 대체 연구가 매우 활발하게 진행되고 있다.7,8 특히, 다양한 탄화수소계 전해질 고분자 가운데 SPEEK는 합성의 용이성 및 고분자 활용의 범용성을 기반으로 높은 고습도 이온 전도도 및 우수한 가스 차단율을 나타내며 매우 유용한 연료전지용 전해질 고분자로 개발되고 있다. 하지만, 저가습 조건에서의 낮은 수분 유지력으로 인한 수소 이온 전도도 감소와 습윤 반복에 따른 높은 팽창 및 수축률로 인한 낮은 기계적 강도 그리고 라디칼에 의한 화학적 불안정성 등의 한계점으로 인해 상용 연료전지에 활용이 어려운 실정이다.9-11 이러한 탄화수소계 전해질 고분자의 한계를 극복하기 위하여 새로운 구조의 탄화수소계 전해질 고분자 합성, 무기 나노 입자 및 화학적 가교 구조 적용 등의 강화 전략을 시도하였다.12,13
탄화수소계 전해질 고분자의 습도에 따른 이온 전도도 및 물리적 막 물성의 안정성을 확보하기 위해서는 친수성 성질을 지닌 산화 나노 입자의 도입이 주로 적용되어 왔다. Silicon oxide(silica) nanoparitlces는 대표적인 친수성 표면을 가진 나노 입자로서 다양한 탄화수소계 전해질 고분자와 혼합되어 우수한 저가습 이온 전도도 및 습도 변화에 따른 향상된 수치 안정성을 나타내며, 연료전지 복합막의 핵심 소재로서 활용되어 왔다.14-16 더불어, cerium oxide(ceria) nanoparticles는 음극에서 발생하는 라디칼에 의한 전해질 고분자막의 열화(degradation)를 방지하는 산화 방지제(radical scavenger)로서 널리 활용되어 왔다.17 뿐만 아니라, ceria 역시 silica와 유사하게 표면의 hydroxyl group으로 인한 높은 수분 친화도로 인해 전해질 고분자 복합막의 수분 유지 및 저가습 성능 향상의 효과를 보여주었다. 하지만, ceria 나노 입자가 적용된 복합막의 경우, 연료전지 구동에 따른 나노 입자의 탈리, ceria 나노 입자의 추가로 인해 감소된 복합막의 이온교환능력(ion exchange capacity, IEC)으로 인한 낮은 수소 이온 전도도 및 라디칼 억제 반응을 위한 억제제로서의 효율성의 문제 등의 개선점을 가지고 있다.18
본 연구에서는 기존 산화 방지제로 활용되었던 ceria를 대신하여, gadolinium(Gd)이 도핑된 ceria(Gd-doped ceria, GDC)를 합성하여 탄화수소계 전해질 고분자 SPEEK에 적용하여 높은 저가습 안정성 및 화학적 내구성을 가능하게 하는 복합막을 개발하였다. Gd가 도핑된 ceria 전해질은 산소 이온 전도도가 높아 고체 산화물 연료전지(solid oxygen fuel cells, SOFCs)에서 우수한 전해질 소재로 사용되고 있다.19 또한 GDC 나노 입자는 기존의 ceria 나노 입자와 비교하여 높은 산소 공공을 가지고 있고, 증가된 산소 공공으로 인한 산화 억제제로서의 성능에 대한 보고가 발표되었다.20-22 이를 통해 SPEEK/GDC 복합막을 형성하여 향상된 산화 억제 능력, 즉 안정적인 화학적 내구성을 확인하였다. 뿐만 아니라, GDC의 친수성 표면으로 인해 bound water 함량의 증가를 통한 저가습 이온 전도도 향상 및 복합막 형성으로 인한 향상된 습윤팽창에 따른 향상된 물리적 안정성을 확보할 수 있었다.
Ceria 및 GDC 나노 입자의 합성. 도핑이 되지 않은 순수 cerium oxide와 20 at%(atomic percent) Gd doped cerium oxide(GDC)의 Ce:Gd 비율에 맞춰 계산된 Ce(NO3)3(Sigma Aldrich)와 Gd(NO3)3(Sigma Aldrich)를 물에 녹인 후 다른 비커에 pH가 10이상이 되는 NH4OH 용액을 만든다. 그 후, metal nitrate 용액에 암모니아 용액을 한 방울씩 천천히 넣어 반응시킨다. 섞인 용액을 2시간 동안 반응시키고, 원심 분리를 통해 나노 입자를 분리한다. 물과 에탄올을 이용해 나노 입자를 3-4회 씻어내고, 오븐에 넣어 건조한다. 건조된 나노 입자를 grinding을 통해 고르게 갈고, alumina crucible에 넣고 furnace에서 700 oC에 2시간 동안 열처리한 후 다시 갈아 나노 입자를 얻어냈다. 만들어진 나노 입자는 X-ray diffraction (XRD, Rigaku D/Max-2200V, Japan)과 scanning electron microscopy(SEM, TESCAN VEGA-II LSU, Czech Republic)를 이용하여 분석하였다.
SPEEK 전해질 고분자의 합성 및 복합막 제조. Poly(ether ether ketone)(PEEK) 고분자의 합성은 기존의 문헌에 보고된 방법을 참고하여 difluorobenzophenone과 hydroquinone의 축합 반응을 통해 진행하였다.23 합성된 PEEK 2 g을 50 oC의 95% 황산 용액에 뭉치지 않게 조금씩 넣어준다. 6시간 동안 교반시켜준 후, 얼음물에 한 방울씩 떨어트려 침전된 시료를 얻는다. 시료를 증류수에 세척하여 pH7로 만든 후, 오븐에 건조한다. 건조된 SPEEK시료를 dimethyl sulfoxide(DMSO)에 10 wt%의 농도로 70 oC의 열처리 조건에서 용해한다. 용해된 용액에 나노 입자를 비율에 맞게 첨가한 후, 3시간 동안의 초음파 분산 처리 및 24시간 동안 기계적 교반을 통해 분산시킨 후 유리 기판에 casting하여 60 oC에 건조시켜 SPEEK 및 복합막 분리막을 제조하였다.
전해질막 물성 평가. 전해질막의 수분 흡수율(water uptake)과 습윤 팽창률(swelling ratio)을 측정하기 위하여, 막을 상온에서 24시간 건조한 후 막의 무게(Wdry)와 길이(Ldry), 두께(Tdry)를 측정한다. 그 후, 해당 막을 초순수에 상온 조건에서 3시간, 50 oC에서 3시간, 70 oC에서 3시간, 90 oC에서 3시간 동안 담지시킨 후, 꺼내어 즉시 표면의 물만 제거한 뒤, 곧바로 막의 무게(Wwet)와 길이(Lwet), 두께(Twet)를 측정한다. 최종적인 water uptake와 swelling ratio 는 아래의 수식으로 계산한다.

산-염기 적정을 통하여 IEC 측정을 실시하였다. 전해질막을 70 oC의 1 M HCl 수용액에 3시간 동안 담지시켜 H+ 이온을 고분자에 붙여준 후 2 M NaCl 수용액에 24시간 동안 담지시켜 Na+ 이온으로 치환한 후, 0.01 M NaOH 수용액을 이용해 교환된 H+ 이온을 중화하며 적정하였다. 이 때, 페놀프탈레인(phenolphthalein) 지시약을 사용하여 적정점을 확인하였으며, 전해질막의 IEC는 아래와 같은 수식으로 계산하였다.

이 때, V와 M은 각각 적정점까지 추가된 NaOH 수용액의 부피와 농도이다.
전해질막의 최대 응력(tensile strength) 및 파단 신율(elongation at break) 등 기계적 강도의 평가는 universal testing machine(UTM, AG-X Shimadzu, Japan)를 5 mm/min의 실험 조건으로 상온, 50% 상대습도 조건에서 실시되었다.
이온 전도도 측정. 전해질막의 수소 이온 전도도를 four-probe system으로 AC impedance spectroscopy method(Bio-Logics, SP-150, France)를 이용하여 측정하였다. 다양한 조건의 전해질막을 1×4 cm2로 준비한 뒤, 4개의 백금(platinum) 전극 사이에 위치시켜 potentiostat 전기화학 분석 장치로부터 전압을 인가하며 전류를 측정하였다. Cell 온도는 70 oC를 유지하였으며, 30, 50, 80, 100%의 상대습도(relative humidity, RH)에서 아래와 같은 수식을 통해 이온 전도도를 계산하였다.

이 때, L은 두 개의 측정 전극 사이의 거리이며, R은 Nyquist impedance diagram에서 얻어지는 저항을 나타낸다. S는 전해질막의 단면적으로 계산된다.
Figure 1에서는 ceria 및 GDC 나노 입자의 합성 과정을 나타내고 있다. Ce(NO3)3와 Gd(NO3)3를 각각 물에 녹인 후 pH가 10이상이 되는 NH4OH 용액 metal nitrate 용액에 한 방울씩 천천히 넣어 반응시키고 섞인 용액을 2시간 동안 반응시키고, 원심 분리를 통해 나노 입자를 분리한다. 분리된 입자를 물과 에탄올로 씻어내고 오븐에 건조한 후 고르게 갈아 700 oC에서 2시간 동안 열처리 후 다시 갈아 얻어내 사용했다. 합성된 각각의 나노 입자를 SEM을 통해 크기와 입자의 균일성을 확인하였으며, energy dispersive X-ray spectroscopy (EDS) 분석을 통하여 Gd가 확실하게 도핑된 GDC 나노 입자의 원소 분석 결과를 확인할 수 있다(Figure S1). 또한, 합성된 GDC 나노 입자의 XRD 분석 결과, cubic fluorite 구조를 가진 ceria와 GDC가 합성되었음을 확인할 수 있다(Figure 1(d)). XRD에서 ceria와 GDC가 같은 XRD pattern을 보이며, extra peak이 없음을 확인하였으므로, GDC가 secondary phase가 없이 잘 합성되었음을 확인할 수 있다. Scherrer 수식을 이용한 추가적인 XRD 분석 결과, ceria의 경우 나노 입자의 crystalline grain size가 21.3±3.81 nm, GDC의 경우 16.9±2.73 nm로 확인되었다. 이는 SEM을 통해 측정된 나노 입자 크기와 비슷한 결과로, ceria와 GDC 나노 입자들이 주로 단결정 입자로 구성되었음을 확인할 수 있었다.
탄화수소계 전해질 고분자 SPEEK는 Figure S2와 같이 4,4-difluorobenzophene과 hydroqinone의 중합 과정과 제어된 sulfonation과정을 거쳐 2.09 meq g-1의 IEC를 갖는 SPEEK를 합성하였다. SPEEK 고분자를 DMSO 기반의 용액으로 제조하였으며, 이 용액에 ceria와 GDC 나노 입자를 첨가하여, 추가적인 초음파 처리 과정을 거쳐 분산 용액을 제조하였다. Figure 2(a)의 모식도를 통해, 균일하게 분산된 SPEEK/ceria 및 SPEEK/GDC 분자의 형상을 예측해볼 수 있으며, 이는 고분자 혼합 용액의 casting 및 건조과정을 통해 약 50 μm의 균일한 두께를 가지는 전해질 고분자 복합막으로 성공적으로 제조되었다. 무기 나노 입자와 고분자 용액의 효과적인 분산은 복합막의 균일한 물성 뿐만 아니라, 수소 이온 전도도 및 내구성의 평가에도 큰 영향을 미치게 된다. 이를 위하여, 고분산 복합 용액을 위한 초음파 처리 및 용액 혼합 과정을 최적화하였으며, 균일한 SPEEK/GDC 복합막을 제조하였다(Figure S3). 뿐만 아니라, 전해질 복합막의 나노 입자 함량의 최적화를 위하여 각각 0.5, 1, 3, 5 wt%의 함량 비율을 가지는 SPEEK/ceria 및 SPEEK/GDC 전해질 복합막을 제조하였다. 각각의 무기 나노 입자 첨가 비율에 따라 IEC를 측정하였으며, 나노 입자가 함유됨에 따라 2.09에서 1.53 meq g-1 까지 점차 감소하는 전해질 복합막의 IEC 값을 확인하였다(Figure 2(b)). 특히, OM이미지에서 보여지는 것과 같이 3 wt% 이상의 ceria 및 GDC가 함유된 복합막의 경우, IEC가 감소됨과 동시에 무기 나노 입자의 고분자 내에서의 분산성이 매우 약화되어 전해질 복합막의 불균일성이 증가되었다. 따라서, 무기 나노 입자의 첨가에 따른 IEC 감소율과 균일한 고분산 전해질막 제조의 측면을 고려하여, SPEEK 고분자 대비 1 wt% 중량의 무기 나노 입자 함유율 최적화 조건을 수립할 수 있었다. 이 때, 1 wt%의 ceria 및 GDC를 포함하는 복합막의 경우, SPEEK 순수막과 비교하여 약 20% 감소한 각각 1.69, 1.76 meq g-1의 IEC를 나타내었다.
Figure 3에서와 같이, SPEEK 순수막 및 SPEEK/ceria, SPEEK/GDC 복합막은 투명하면서 흐린 갈색을 띄는 매우 균일한 두께와 안정성을 가진 탄화수소계 전해질막으로 제조가 되었다. 또한, SEM 이미지에서 보이는 바와 같이, 비교적 균일하고 깨끗한 형태의 SPEEK/GDC 복합막이 제조되었음을 확인할 수 있었다.
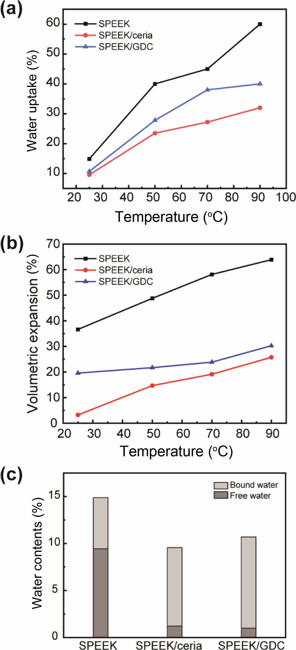
Ceria와 GDC를 각각 포함하는 SPEEK 복합막에 대하여 연료전지 전해질막 물성을 평가하였다. Figure 4(a)에서 보이는 바와 같이, 복합막의 water uptake를 측정하였다. SPEEK 순수막의 경우, 순수막이 가지는 술폰산 그룹으로 인한 수분 흡수의 효과로 인해, 온도에 따라 급격하게 증가하는 water uptake 변화를 확인할 수 있다. 1 wt% ceria 및 GDC가 포함된 SPEEK/ceria, SPEEK/GDC 복합막의 경우, 상온에서 90 oC까지 온도가 증가함에 따라 마찬가지로 water uptake가 증가하는 결과를 보였으나, SPEEK 순수막의 값과 비교하여 모든 온도 구간에서 감소된 water uptake를 나타내었다. 뿐만 아니라, 감소된 water uptake의 결과와 유사한 수분에 의한 전해질막의 팽창률 결과를 나타내었다(Figure 4(b)). 상온에서 36.6%의 습윤 팽창률을 보인 SPEEK와 비교하여 SPEEK/ceria, SPEEK/GDC 복합막의 경우 각각 3.2, 19.5%의 값으로 감소되었다. 이는 수분에 대해 안정적인 기계적 물성을 가지는 무기 나노 입자가 SPEEK 전해질 고분자 matrix 내에서 수분에 의한 전해질 복합막의 팽창을 억제하였기 때문이다. 특히, 온도가 상승됨에 따라 급격히 증가하는 SPEEK의 팽창률과 비교하여 매우 안정적인 기계적 물성을 나타냈다. 전해질 복합막 내의 수분 함유량의 물리적 특성을 분석하기 위해, differential scanning calorimeter(DSC)를 이용하여 전해질막 내의 free water를 측정하였다. 전해질막에 포함된 수분의 경우, SPEEK 고분자의 술폰산 그룹과 ceria 및 GDC 나노 입자 표면의 하이드록실 그룹에 수소결합을 이루며 강하게 결합되어 있는 bound water와 고분자 및 나노 입자 분자와 매우 약하게 결합되어 있는 free water로 구분할 수 있다. 특히, free water의 경우 물 분자와 고분자 또는 나노 입자와의 약한 결합으로 인해, DSC 측정 결과 영하의 온도에서 온도를 상승시킬 때 0 oC에서 물 분자의 용융에 의한 날카로운 peak로 물 분자의 엔탈피 변화량(∆Hfus)이 관찰된다. 측정된 엔탈피 변화량을 물 분자의 용융 엔탈피 변화량의 값(334 J g-1)으로 계산을 하면 각 전해질막의 free water를 구할 수 있다. SPEEK/ceria 및 SPEEK/GDC의 감소된 water uptake 결과와 달리, 각 전해질 복합막의 저가습 조건에서 수분 함유 및 유지에 영향을 미치는 bound water의 양이 SPEEK 순수막과 비교하여 매우 증가된 것을 확인할 수 있다(Figure 4(c)). 이는 전해질 복합막 내의 ceria 및 GDC 나노 입자 표면의 하이드록실 그룹으로 인한 물 분자와의 친화도가 증가하였기 때문으로 사료된다. 뿐만 아니라, Gd의 도핑으로 인해 나노 입자 내의 산소 공공이 증가된 GDC 나노 입자의 경우, ceria와 비교하여 water uptake 및 bound water의 양이 증가됨을 확인할 수 있다.
전해질 복합막의 연료전지 적용 평가를 위해, SPEEK와 SPEEK/GDC, SPEEK/ceria의 수소 이온 전도도를 측정하였다(Figure 5). 전해질 고분자막 내에서 수소 이온 전달이 이뤄지는 원리는 크게 두 가지로 구분하여 설명할 수 있다.24 첫 번째는 전해질막 내에 포함된 물 분자와 결합되어 하이드로늄 이온(H3O+)의 형태로 전달되는 수송 이론(vehicle mechanism)이며 이는 주로 가습상태가 높은 조건에서 수소 이온을 전달하는 주된 방법으로 여겨진다. 두 번째 전달 방식은 전해질 고분자의 술폰산 그룹 사이에서 호핑(hopping)을 통해 이동하는 Grothuss mechanism이며, 자유롭게 이동하는 물 분자가 부족한 저가습 조건에서 주로 지배적으로 적용된다. 나노 입자의 첨가에 따라 감소된 전해질막의 IEC로 인하여, 100% RH조건의 이온 전도도가 SPEEK의 209.71 mS cm-1에서 ceria 및 GDC 복합막의 73.37, 90.23 mS cm-1로 감소됨을 확인하였다. 하지만, 50% RH의 저가습 조건의 경우, 감소된 IEC에 비해 SPEEK/ceria 및 SPEEK/GDC복합막의 이온 전도도가 각각 0.74, 1.99 mS cm-1를 나타내었으며 이는 0.23 mS cm-1의 SPEEK 순수막 보다 높은 결과를 나타내었다. 이러한 저가습 조건에서의 SPEEK/GDC 복합막의 이온 전도도 증가는 Figure 4(c)의 전해질 고분자막 내에 포함된 물분자의 물리적 상태의 분석 결과를 통해 원인을 분석할 수 있다. 나노 입자가 포함된 전해질 고분자막의 bound water의 양이 SPEEK 순수막의 경우보다 높으며, 이는 대부분의 free water가 증발 및 제거되는 저가습 조건에서 전해질 고분자막 내에 강한 결합력으로 유지되는 bound water에 의한 수소 이온 전달이 증가됨을 통해 해석할 수 있다.25 특히, ceria와 비교하여 GDC가 포함된 전해질 복합막은 비교적 높은 bound water의 양과 IEC로 인해 더욱 높은 수소 이온 전도도를 나타내었다.
전해질 복합막의 화학적 안정성을 평가하기 위하여 Fenton’s 을 평가하였다. 탄화수소계 전해질 고분자의 경우, Nafion 및 Aquivion 등의 불소계 전해질 고분자와 달리 연료전지 구동시 음극에서 발생되는 라디칼로 인한 열화가 매우 빠르게 진행된다. 이는 대부분의 탄화수소계 전해질 고분자가 포함하고 있는 ether group이 라디칼의 열화에 취약한 화학적 구조를 가지기 때문이며, 이를 개선하기 위하여 산화 억제제인 ceria 및 Ce ion을 전해질막에 첨가하는 연구가 진행되어 왔다.26,27 Figure 6에서 나타나는 바와 같이, SPEEK 순수막의 경우, Fenton’s test 개시 1시간 만에 급격한 고분자의 분해가 일어났으며, 1.5시간 후에는 막이 완전히 분해되어 잔여 무게를 측정할 수 없는 열화 결과를 나타냈다. 하지만, ceria 및 GDC 나노 입자가 첨가된 복합막의 경우, 고분자 대비 1 wt%의 소량임에도 불구하고 각각 2시간 및 2.5시간의 증가된 화학적 안정성을 확인할 수 있었다. 특히, 잔여 무게 비율 역시 SPEEK 순수막과 비교하여 높은 양의 무게 비율을 확인할 수 있었으며 GDC가 포함된 복합막이 가장 개선된 화학적 내구성을 가짐을 확인하였다. 이는 사전에 보고된 결과와 같이, GDC 나노 입자가 가지는 증가된 산소 공실이 라디칼의 공격으로 인한 열화를 억제하기 때문이다.28
전해질 고분자막의 연료전지 적용을 위해 요구된 수소 이온 전도도 및 화학적 안정성 뿐만 아니라, 기계적 안정성이 매우 필수적으로 요구된다. Figure 4(b)에서 나타난 결과와 같이 무기 나노 입자의 첨가로 인해 복합막의 습윤 팽창 및 건조 수축의 수치 안정화는 연료전지 구동에 있어 다양한 습도 변화에 전해질막이 안정적으로 구동될 수 있는 물성을 보여준다. 뿐만 아니라, 전해질막이 가지는 정량적인 기계적 강도 역시 안정적인 연료전지 구동의 필수 요소이며 Figure 7에서와 같이 SPEEK 및 전해질 복합막에 대해 평가되었다. SPEEK의 경우, 상온 및 50% 상대습도 조건에서 약 43 MPa의 최대 응력 및 183%의 파단 신율를 나타내었다. SPEEK/ceria 및 SPEEK/GDC 복합막의 경우, 무기 나노 입자의 첨가로 인해 증가된 최대 응력(202, 123 MPa) 및 감소된 파단 신율(63, 40%)를 기록하였다. 이와 같은 전해질 복합막의 특성 변화는 습윤 팽창 및 수축에 따라 가해지는 응력 및 부피 변화에 대해 더욱 안정적으로 구동될 수 있는 기계적 물성을 나타내고 있다.
|
Figure 1 (a) Synthesis scheme; SEM images of (b) ceria; (c) GDC nanoparticles; (d) XRD patterns of synthesized ceria and GDC nanoparticles. |
|
Figure 2 (a) Schematic illustration; (b) IEC of SPEEK, SPEEK/ ceria and SPEEK/GDC with various nanoparticle contents. OM images represent the dispersion condition of the composite membranes. All scale bars represent 100 μm. |
|
Figure 3 Photographic and SEM image of (a, d) SPEEK; (b, e) SPEEK/ceria; (c, f) SPEEK/GDC composite membranes. |
|
Figure 4 (a) Water uptake; (b) volumetric expansion with water swelling; (c) the state of water of SPEEK, SPEEK/ceria and SPEEK/GDC membranes. |
|
Figure 5 Proton conductivity of SPEEK, SPEEK/ceria and SPEEK/ GDC membranes. |
|
Figure 6 Membrane stability of SPEEK, SPEEK/ceria and SPEEK/ GDC membranes by Fenton’s test. |
|
Figure 7 Mechanical properties of SPEEK, SPEEK/ceria and SPEEK/GDC membranes. |
탄화수소계 전해질 고분자 SPEEK의 기계/화학적 안정성을 확보하며 동시에 저가습 수소 이온 전도도를 개선하기 위해, SPEEK와 Gd이 도핑된 세륨 옥사이드 나노 입자를 각각 합성하여 복합막에 적용하였다. 분산성이 향상된 1 wt%의 GDC가 포함된 SPEEK/GDC 복합막을 제조하여, IEC 및 water uptake, 부피 팽창률 변화를 평가하였으며, ceria 가 포함된 복합막과 비교하여 증가된 bound water의 양과 그에 따라 향상된 저가습 이온 전도도를 확인하였다. 50% RH의 조건에 SPEEK 및 SPEEK/ceria, SPEEK/GDC 전해질막에 대해 각각 0.23 및 0.74, 1.99 mS cm-1의 이온 전도도를 기록하였다. 뿐만 아니라, SPEEK/GDC 복합막의 경우 증가된 기계적 물성과 Fenton’s test에 따른 개선된 화학적 안정성을 확인하였다.
This Article2022; 46(2): 179-185
Published online Mar 25, 2022
Services
Correspondence toDepartment of Advanced Materials, Hannam University, 1646 Yuseong-daero, Yuseong-gu, Daejeon 34054, Korea