
Department of Chemical Engineering and Materials Science, Chung-Ang University, 84 Heukseok-ro, Dongjak-gu, Seoul 06974, Korea
중앙대학교 공과대학 화학신소재공학과
Reproduction, stored in a retrieval system, or transmitted in any form of any part of this publication is permitted only by written permission from the Polymer Society of Korea.
When antimicrobial substances are added to poly(lactic acid) (PLA), a biodegradable polymer, the effect on thermal properties has seldom been systematically reported. In this study, the thermal-property influence of natural polyphenol quercetin with antibacterial properties was analyzed when added to PLA. The crystallization rate increased due to the presence of quercetin particles; the cold crystallization temperature decreased, the k value increased, and the half-crystallization value decreased. In the cases of evaporation crystallization, there was no significant change in melting point and melting enthalpy, and lower melting enthalpy values were confirmed in the cases of melt crystallization. Understanding the thermal properties of quercetin/PLA antibacterial films is expected to further enhance the utility of PLA in the future.
생분해성 고분자인 poly(lactic acid)(PLA)에 항균성 물질들의 첨가가 열적 특성에 미치는 영향은 체계적으로 보고된 바가 드물다. 본 연구에서는 항균성 물질인 quercetin을 PLA에 첨가하였을 때 그 열적 특성의 변화를 분석하였다. Quercetin 입자의 존재에 의해 PLA의 결정화 속도가 증가하여, 냉결정화 온도가 낮아지고, k값의 상승과 half-crystallization 시간이 감소하였다. 녹는점이나 용융엔탈피의 경우 증발결정화에서는 유의미한 변화를 보이지 않았고, 용융결정화의 경우 낮아진 용융엔탈피 값을 확인할 수 있었다. Quercetin/PLA 항균 필름의 열적 특성에 대한 이해는 PLA의 생분해성 항균재료 활용성을 고취시킬 수 있을 것으로 예상된다.
Changes in thermal properties caused by the quercetin phase in quercetin/poly(lactic acid) antibacterial film were analyzed. Quercetin accelerated the crystal growth of PLA, but no improvement in the heat of fusion was observed.

Keywords: poly(lactic acid), evaporation crystallization, thermal properties, antibacterial films, quercetin.
본 연구는 중소벤처기업부의 기술혁신개발사업 [S2965723]과 2020년도 중앙대학교 연구장학기금 지원에 의한 것임.
저자들은 이해상충이 없음을 선언합니다.
Poly(lactic acid)(PLA)는 산업적으로 이용 가치가 높은 생분해성 고분자이다. 석유 기반의 플라스틱과 다르게 PLA는 옥수수나 사탕수수와 같은 천연물로부터 추출한 모노머를 이용하여 만든다.1 Lactic acid의 축중합 또는 lactide의 개환 중합 반응을 통해 PLA를 합성할 수 있다.1,2 L-lactide와 D-lactide의 조합으로 poly(L-lactide)(PLLA), poly(D-lactide) (PDLA) 그리고 poly(D,L-lactide)(PDLLA)를 만들 수 있다.1,2 L형태와 D형태의 입체 이성질체의 함유량으로 PLA의 열적, 기계적 및 생분해 특성을 조절할 수 있다.1,3
석유 원료 기반의 플라스틱으로 인한 환경오염은 이미 심각한 수준이다. 분해되는데 200년 이상의 시간이 필요한 난분해성 플라스틱은 상당량이 바다로 흘러 들어가 생태계에 큰 문제를 일으키고 있다.4,5 플라스틱이 분해되는 과정에서 발생되는 미세플라스틱은 어류와 생활용수를 통해 우리의 건강을 위협하고 있다.6 폐기된 플라스틱의 정화작업에는 막대한 금액과 인력이 투입되어 손실을 가져오기 때문에 이를 위한 해결 방안을 모색 중이다. 반면 선형 지방족 폴리에스터에 속하는 PLA의 빠른 생분해 속도는 기존의 석유 플라스틱의 문제점들을 해결하기에 적합하다.4,7 PLA는 수중상태에 있을 때, PLA의 유리전이온도(Tg)와 유사한 60 oC 부근에서 120일 동안 90%의 mineralization을 보인다.8
하지만, PLA가 기존 플라스틱들을 모두 대체하기에는 한계들도 존재한다.9 특히 PLA는 낮은 인장강도와 열변형온도로 인해 상업적으로 적용하기에 어려움이 있다.10,11 이를 극복하기 위해 결정화 핵제를 첨가하여 결정화도를 증가시키거나 다른 고분자와 블렌드를 만드는 연구가 다방면으로 진행 중이다.12-17
천연 폴리페놀들의 경우 PLA 소재에 첨가되어 생분해성과 친환경성을 유지하면서 항균성을 부가할 수 있어 식품용 일회용기 소재로 최근 다수의 연구들이 진행되어 오고 있다.19 이들 물질들은 과일, 야채 등의 표면에 많이 존재하며 조직의 부패를 방지하는 역할을 한다. 이러한 물질들은 PLA의 결정화 핵제로 이용된 천연물과도 유사성이 있다.18-20 폴리페놀은 항균성 외에도 항산화, 항염증, 항암 특성 등을 가지고 있고 인체에 무해하다는 이점도 있다.21,22 최근에는 이러한 폴리페놀의 일종으로, 양파 등의 식물에 다량으로 존재하는 quercetin을 PLA와 함께 블렌딩하여 항균성 효과를 보고하였다.22 그러나 이러한 기능성 물질들이 PLA의 열적 특성에 어떠한 영향을 주는지는 보고된 적이 매우 드물다. 따라서, 본 연구에서는 PLA에 quercetin을 함께 섞어 항균성 블렌드의 열적 특성을 조사했다. 또한 DSC 상에서 용융 결정화를 진행하여 항균성 블렌드 필름의 증발 결정화와 용융 결정화의 측면에서 열적 특성을 비교하였다. PLA를 가열·냉각하는 열적 처리 혹은 어닐링 실험을 진행할 경우, PLA의 기계적 특성과 열적 특성이 변화할 수 있다.23-25 항균성 블렌드의 열적 특성에 대한 조사는 PLA의 상업적 이용에 필수적인 지식을 제공할 수 있다.
시약. PLA[Luminy L130, Total-Corbion, 호린험, 네덜란드; ≥99%, L-isomer, 밀도 1.24 g/cm3, melt flow index 10 g/10 min(190 oC/2.16 kg, ISO 1133-A)]는 도일테크(화성, 한국)에서 제공받았고, 시차열중량(TGA) 분석을 위해 사용한 PLA (4032D, Natureworks, 미네소타, 미국; 밀도 1.24 g/cm3)는 그린케미칼(인천, 한국)에서 제공받았다. PLA는 50 oC에서 12시간 동안 보관하여 수분을 제거한 후에 사용하였다. Dichloromethane(DCM)은 대정(시흥, 한국)에서 구매하였다. Quercetin(hydrate, 95%)는 Aldrich(세인트루이스, 미국)에서 구매하였다.
용액 제조. PLA(L130)을 PLA:DCM=1:99(질량비)로 DCM에 녹이고 상온에서 12시간 동안 200 rpm으로 교반한다. Quercetin을 DCM(7.5 g)에 quercetin:DCM=0.2:100(질량비)로 넣고, 500 mm 크기의 지르코니아 볼(15 mL)와 함께 30 mL 바이알에 넣는다. 바이알을 100 rpm으로 60시간 동안 상온에서 교반볼밀한다. 교반볼밀 후에 바이알의 지르코니아 볼은 망사(150 mm×150 mm)을 이용해서 제거해주고 quercetin용액을 얻는다. PLA:DCM=1:99(질량비)와 PLA:quercetin= 100:5(질량비)가 되도록 PLA(L130)와 DCM을 quercetin용액에 추가로 넣는다. Quercetin/PLA 혼합 용액을 상온에서 12 시간 동안 200 rpm으로 교반한다. PLA(4032D)을 PLA:DCM =1:99(질량비)가 되도록 DCM에 녹이고 상온에서 200 rpm에서 12시간 동안 녹인다. PLA:quercetin=100:5(질량비)의 quercetin을 PLA용액에 넣어주고 200 rpm으로 4시간 동안 상온에서 교반한다.
PLA와 Quercetin/PLA 필름 제조. 실리콘 몰드(5 cm×5 cm×0.5 mm)를 silicon wafer(직경: 100±0.2 mm, 두께: 525±25 mm, 타입: P, 결정 배열방향: <100>, dopant: boron; PlutoSemi CO., Ltd. 광저우, 중국)에 붙인다. Silicon wafer를 평평한 판 위에 올린다. 순수 PLA용액과 quercetin/PLA용액 1.2 mL을 실리콘 몰드에 각각 캐스팅해주고 유리 수조(직경: 19 cm, 높이: 9 cm)를 평평한 판 위에 덮어서 공기 흐름을 차단해준다. 용액을 상온에서 5분 동안 증발시킨다. 증발시킨 이후에 진공오븐에 넣고 상온에서 12시간 동안 건조시킨다.
생성된 필름의 Quercetin 입자 크기 및 열적 특성 분석. Quercetin/PLA 필름의 quercetin 모폴로지를 관찰하기 위해서 광학현미경(OM, BX51TRF, Olympus, 도쿄, 일본)을 사용했다. 열적 특성 분석은 differential scanning calorimeter(DSC, PerkinElmer DSC 4000, 메사추세츠, 미국)로 확인했고 샘플은 10 mg을 사용했다. 20에서 200 oC까지 10 oC/min으로 가열(1차 가열)한 후에 200 oC에서 10분 동안 유지하고 각각 다른 냉각 속도(100, 50, 25 oC/min)로 100 oC까지 냉각하고 100 oC에서 10분 동안 유지했다. 100에서 20 oC까지 10 oC/min으로 냉각하고 20 oC에서 5분 동안 유지한 뒤 다시 200 oC로 10 oC/min의 속도로 가열(2차 가열)했다. DSC는 질소 분위기에서 측정했고 알루미늄 팬과 커버(B016-9321, 50 mL, PerkinElmer DSC)를 사용했다. Thermogravimetric analysis (TGA, TGA N-1000, Scinco, 서울, 한국) 샘플은 3.6±1 mg을 사용했고, 질소 분위기 하에서 25부터 450 oC까지 10 oC/min의 속도로 온도를 높였다.
볼 밀링에 따른 Quercetin 입자 크기 변화. 사용한 PLA와 quercetin의 화학식은 Figure 1에 나타냈다. 입자 형태로 블렌딩된 quercetin은 볼 밀링 전후 두 종류의 입자크기로 블렌딩되었다. Figure 2은 볼 밀링에 의한 입자 크기 변화를 보여주고 있다. Figure 2의 좌측사진에서 보이는 것과 같이 볼 밀링을 하지 않은 PLA_Q5는 약 40 mm 크기의 quercetin 입자들이 다수 존재한다(Figure 2(a)). 하지만, 볼 밀링을 한 PLA_bQ5는 1 mm까지 quercetin 입자들의 크기가 작아져 두 종류의 입자크기는 10배 이상 차이가 난다 (Figure 2(b), 2(c)). 작아진 입자들은 고르게 분산되기보다 응집되어 존재하는 것으로 관찰되었다(Figure 2(c)). Figure 2의 우측 사진인 편광 사진을 보면, PLA_Q5는 quercetin의 복굴절 현상을 볼 수 있지만 PLA_bQ5는 quercetin 입자 크기가 1 mm 정도로 너무 작아서 복굴절 현상을 현미경 상에서 관찰할 수 없다.
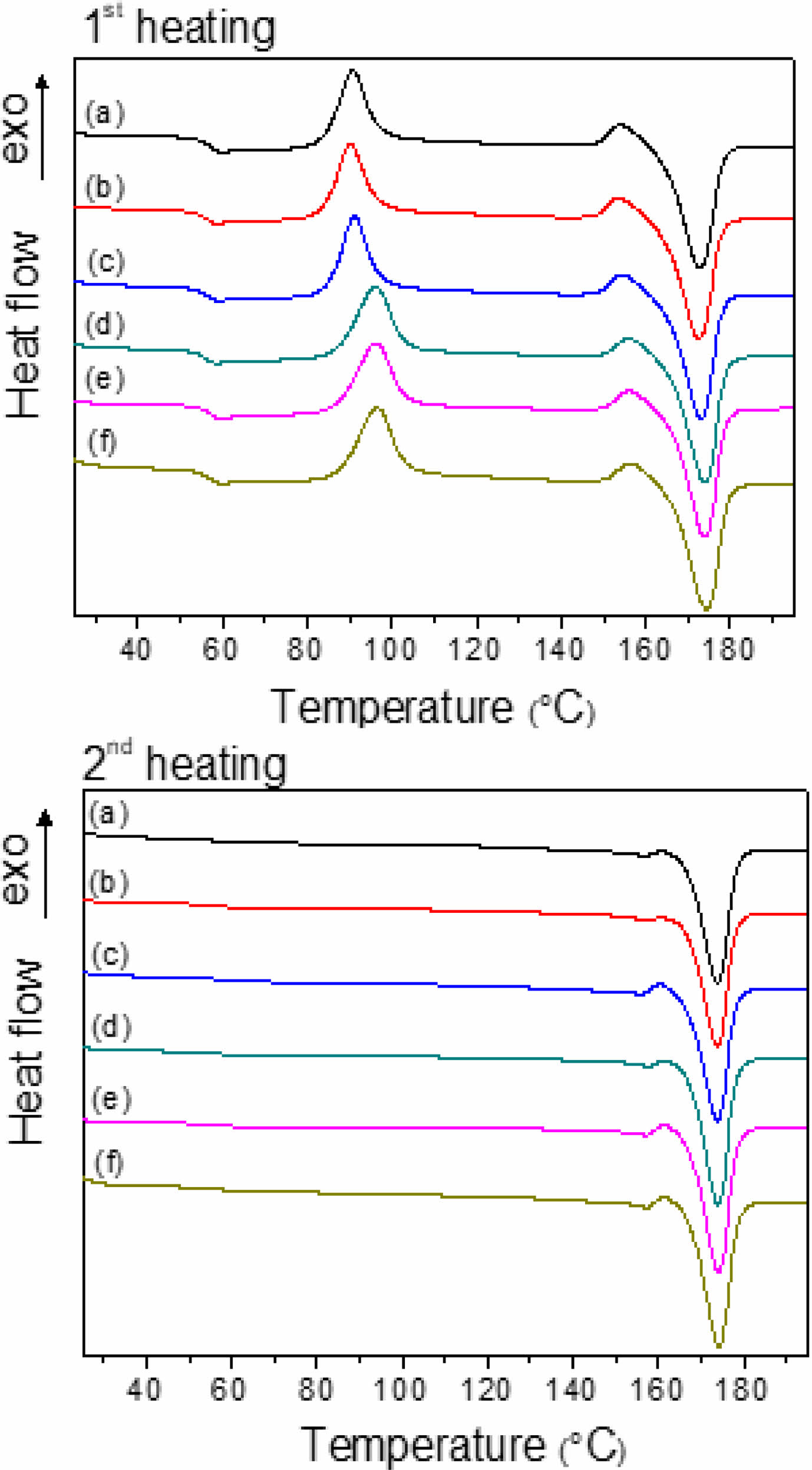
DSC를 통한 PLA필름과 Quercetin/PLA필름의 열적 특성 분석. DSC 그래프와 열적 특성 값을 Figure 3와 Table 1에 정리했다. DSC에서 1차 가열과 2차 가열은 각각 증발 결정화와 용융 결정화를 분석하는 데에 이용되었다. DSC의 1차 가열에서 PLA와 PLA_bQ5의 Tg는 각각 55.3±0.5와 55.5±0.8 oC이다. Tg가 유사하므로 quercetin 유무에 따른 PLA의 유리전이에 대한 영향은 없는 것으로 생각된다. PLA의 냉결정화 온도(Tcc)는 약 96.2±0.2 oC이고, PLA_bQ5는 약 90.7±0.4 oC로, quercetin을 넣은 PLA 필름의 Tcc가 더 낮다. Quercetin 입자의 존재에 의해 더 낮은 온도에서 쉽게 냉결정화가 일어나는 것으로 판단된다. 냉결정화 이후 PLA의 1차 가열의 녹는점(Tm1)은 174.1±0.2 oC이고 PLA_bQ5의 Tm1은 172.7±0.3 oC로 차이가 거의 없다. 증발 결정화 이후 1차 가열을 통한 결정화를 거치면서 두 샘플은 유사한 결정을 얻는 것으로 보인다. 폴리페놀의 일종인 catechin을 PLA와 함께 압출한 문헌에서도 PLA 대비 Tg, Tm의 유의미한 변화가 나타나지 않는다.26
1차 가열 이후 각기 다른 냉각속도(100, 50, 25 oC/min)로 100 oC까지 냉각시키고 등온결정화를 진행했다. 등온결정화 이후에 진행된 2차 가열에서는 PLA와 PLA_bQ5의 Tcc가 모두 나타나지 않은 것으로 보아 100 oC에서의 등온 결정화를 통해 충분한 결정 성장이 이루어졌음을 알 수 있다. 이렇게 얻어진 녹는점(Tm2)과 용융엔탈피(∆Hm2)는 DSC 측정 중 용융결정화에서 quercetin의 영향을 파악해 볼 수 있다. 각각의 냉각 속도에 따른 Tm2와 Tm1을 비교해 볼 때, PLA는 차이가 미미했다. 하지만 PLA_bQ5는 냉각 속도가 100, 50 oC/min일 때 Tm2가 Tm1 보다 1.3 oC 더 높았고, 25 oC/min일 때에도 Tm2가 1 oC 더 높았다. 반면 ∆Hm2는 ∆Hm1 보다 더 작은 값을 갖는데 이 경향성은 순수 PLA 필름보다 PLA_bQ5 필름에서 더 크다. PLA와 quercetin을 나노 복합 입자로 제조하는 경우, PLA의 용융엔탈피는 34에서 30 Jg-1으로 감소한다.27 이를 FTIR로 확인해보면, PLA의 >C-O stretching 피크가 이동함을 통해 PLA의 에스터 결합과 quercetin의 -OH 작용기가 좋은 상호작용을 가질 수 있다는 것을 알 수 있다.27 본 실험에서는 100, 50, 25 oC/min일 때 각각의 용융엔탈피의 차이 {(∆Hm2-∆Hm1)/(∆Hm1)}×100(%)를 구해보면, 순수 PLA 필름은 4.2, 0.7, 0.8% 감소했고 PLA_bQ5 필름은 10.4, 12.4, 6.8% 감소했다. 이를 통해 2차 가열을 진행하면 1차 가열보다 PLA와 quercetin의 상호작용이 더욱 증가한다는 것을 알 수 있다. 용융엔탈피는 결정화도에 비례하므로 이는 용융 결정화 이후 결정화도가 감소했음을 의미한다. 또한 ∆Hm1의 값이 더 크다는 것을 통해 증발결정화를 통해 얻어진 PLA(L130)의 결정성이 높음을 추정할 수 있다. Quercetin/PLA 블렌드일 때 용융엔탈피의 차이{(∆Hm2 -∆Hm1)/(∆Hm1)}×100(%)가 더 큰 것으로 보아 quercetin이 용융 결정화에서 PLA의 결정 성장을 방해했다는 결론을 얻을 수 있다. 이는 quercetin이 PLA의 핵성장을 유도할 수 없다는 것을 보여준다. 결론적으로 용융 결정화 과정에서 quercetin이 PLA 결정 성장의 결정핵으로 작용하는 것보다 방해제로 작용한 것이 우세했던 것으로 예상된다.
DSC로부터 얻은 Avrami Plot 분석. 결정의 성장형태, 속도와 시간을 나타내는 Avrami plot 파라미터는 하단에 나타낸 일반적인 Avrami 방정식을 사용했다(식 (1)). 이는 결정화 속도와 결정의 선형 성장이 일정한 경우에 적용된다.28

이때, Vc는 상대 체적 변환 분율, n은 Avrami 지수, k는 전체 결정화 속도 상수, t는 시간이다. Vc를 계산하기 위해서는 다음의 식 (2)를 사용했다.

Wc는 결정 질량 분율이고 아래의 식 (3)을 통해 구할 수 있다. ρc와 ρa는 각각 100% 결정, 100% 비결정 상태 고분자의 밀도이다. PLA의 ρc는 1.283 g/cm3, ρa는 1.248 g/cm3을 사용했다.29

∆Htotal은 등온 결정화가 끝나는 지점에 도달할 때의 최대 엔탈피를 의미한다. ∆H(t)는 등온 결정화가 이루어지는 시간동안 시간에 따른 엔탈피 변화량이다. Avrami plot은 식 (1)에 로그를 취해서 Figure 4에 나타냈다. Figure 4의 Avrami plot은 기울기에서 Avrami 지수(n), y절편으로부터 전체 결정화 속도 상수(k)를 얻을 수 있다. Half-crystallization 시간(τ1/2)은 식 (4)를 통해 구할 수 있다.

이렇게 얻은 Avrami 파라미터들은 Table 1에 정리했다. PLA와 PLA_bQ5의 Avrami 지수(n)은 모두 2-3 사이의 값을 가지며 일반적으로 균일 핵생성과 2차원 구형 결정 성장이 일어남을 의미한다.30 전체 결정화 속도 상수, k는 PLA의 냉각속도가 25 oC/min일 때, PLA_bQ5는 25와 100 oC/min일 때 0.27을 나타내어 가장 빠른 결정화 속도를 보였다. τ1/2는 PLA가 25 oC/min, PLA_bQ5가 100, 50 oC/min일 때 가장 작은 값을 가졌다. PLA와 PLA_bQ5를 같은 냉각 속도의 자료로 비교해보면, quercetin을 사용할 때가 그렇지 않을 때보다 k는 더 큰 값을 가지고, τ1/2는 더 작은 값을 가졌다. 이는 quercetin이 PLA의 결정 성장 속도를 촉진시켜 줌을 의미한다.
TGA를 통한 PLA 필름과 Quercetin/PLA 필름의 열적 특성 분석. Figure 5는 quercetin이 있을 경우, PLA의 분해온도에 대한 TGA 그래프이다. 순수 PLA 필름은 272.6 oC에서 총 질량의 99%에 도달하는 반면, quercetin이 있을 경우 이보다 더 낮은 온도인 241.0 oC에서 총 질량의 99%에 도달한다. 이는 quercetin이 있을 경우 순수 PLA 필름보다 더 낮은 온도에서 열 분해가 시작됨을 말한다. Quercetin 자체의 산화에 따른 결과로 파악되며, 이는 폴리페놀 자체가 산화하면서 주위의 분자들의 산화를 방지하는 항산화 기능에 따른 결과로 파악된다. 이를 고려하면 quercetin/PLA 항균성 블렌드 필름이 고온에서 먼저 산화하는 것을 알 수 있다. 반면 319 oC에 도달하면 PLA_Q5와 PLA의 그래프가 역전되는 현상이 생기는데 PLA_Q5에 quercetin이 존재하기 때문으로 예상된다. 이와 같은 비슷한 경향성은 폴리페놀이 함유된 커피와 찻잎을 필러로 사용한 논문에서도 나타난다.31,32
|
Figure 1 Structure of (a) poly(lactic acid) (PLA); (b) quercetin. |
|
Figure 2 Transmittance optical micrographs of (a) PLA_Q5; (b) PLA_bQ5; (c) the magnification of (b) without (left) and with (right) crossed polarizers. |
|
Figure 3 DSC thermograms of 1st heating and 2nd heating of PLA and quercetin/PLA films: (a) PLA_bQ5 (100 ℃/min); (b) PLA_bQ5 (50 ℃/min); (c) PLA_bQ5 (25 ℃/min); (d) PLA (100 ℃/min); (e) PLA (50 ℃/min); (f) PLA (25 ℃/min). |
|
Figure 4 Avrami plot of PLA and quercetin/PLA films. |
|
Figure 5 TGA thermograms of PLA and quercetin/PLA films |
본 실험은 quercetin이 PLA 필름에 결정상태로 존재할 때, 항균성 블렌드 필름의 열적 특성을 확인하였다. 교반볼밀을 통해 입자 사이즈가 작아진 quercetin을 얻을 수 있었고, PLA 용액과 함께 섞어서 증발 결정화로 quercetin/PLA 필름을 만들 수 있었다. 이후 만들어진 필름을 DSC에서 등온 결정화 방법으로 용융 결정화를 진행했다. 열적 분석을 통해 증발 결정화가 용융 결정화보다 높은 결정성을 갖는다는 것을 알 수 있다. 또한 quercetin이 결정성장 속도를 촉진시키는 역할을 하지만, 최종 결정의 용융엔탈피와 녹는점에서 향상은 관찰되지 않았다. PLA 필름에 quercetin을 첨가한 항균성 필름은 순수 PLA 필름보다 열적 안정성이 낮음을 확인했다. 향후 연구에서는 항균성 블렌드가 PLA의 열적 특성을 감소시키지 않거나, 개선하는 방향으로 진행되어야 할 필요성을 보인다.
This Article2022; 46(2): 223-228
Published online Mar 25, 2022
Services
Correspondence toDepartment of Chemical Engineering and Materials Science, Chung-Ang University, 84 Heukseok-ro, Dongjak-gu, Seoul 06974, Korea