
Nam Kyun Kim*, **, Geon Wook Park*, Jae-Keun Yu*, Hyo Jun Kim*, and Kyu Hyun**,† 
*Korea Institute of Footwear & Leather Technology, Busan 47154, Korea
**School of Chemical Engineering, Pusan National University, Busan 46241, Korea
*한국신발피혁연구원, **부산대학교 응용화학공학부
Reproduction, stored in a retrieval system, or transmitted in any form of any part of this publication is permitted only by written permission from the Polymer Society of Korea.
Thermoplastic polyurethane (TPU) as a thermoplastic elastomer (TPE) is attracting attention as a new alternative to rubber material due to its rubber elasticity and excellent processability by simplifying the kneading process without the vulcanization process. In addition, recycle-ability is also good. However, due to the strong polarity of the urethane group, it has the disadvantage of being vulnerable under a wet environment by high water absorption. In this study, ethylene vinyl acetate (EVA), which has a low water absorption rate and high affinity with other resins, was blended to solve this problem. Maleic anhydride-grafted EVA (EVA-g-MAH) was used as a compatibilizer to improve the compatibility of the TPU/EVA blend. With increasing concentration of the EVA-g-MAH, various parameters, for example, water absorption rate, thermal, and rheological properties, are investigated. Additionally, the morphology of TPU/EVA with EVA-g-MAH blend is also analyzed by SEM. When the content was 10 phr, the water absorption was minimized and mechanical properties was maximized due to improvement of interfacial adhesion. However, when EVA-g-MAH was added more than 10 phr, the water absorption rate tended to increase due to the polar MAH. Also, mechanical properties were reduced due to the lowered compatibility as the EVA-g-MAH acted like a plasticizer or an independent phase.
열가소성 엘라스토머(thermoplastic elastomer, TPE)인 폴리우레탄(thermoplastic polyurethane, TPU)은 고무의 탄성과 가황 공정이 불필요하여 혼련 공정의 간소화로 성형 가공이 용이한 열가소성 플라스틱 수지의 우수한 가공성을 동시에 발현하는 소재이자, 재활용이 가능하다는 장점으로 고무 소재의 대체 신소재로 주목받고 있다. 그러나 강한 극성을 띠는 우레탄기에 의해 수분흡수율이 높아 습윤한 환경에 취약하다는 단점을 지니고 있다. 본 연구에서는 이를 해결하고자 수분흡수율이 낮고 타 수지와 친화성이 높은 ethylene vinyl acetate(EVA)와 블렌드하였고, 이때 낮은 상용성을 개선하기 위해 말레산 무수물이 그라프트된 EVA-g-MAH(maleic anhydride)를 상용화제로 사용하여 TPU/EVA 블렌드의 특성을 평가하였다. 그 결과, 기계적, 열적, 유변학적, 모폴로지 특성 분석을 통해 EVA-g-MAH 함량에 따른 상용성의 척도를 판단할 수 있었으며, 함량이 10 phr 일 때 계면 접착력의 향상이 가장 우수하여 최적의 수분 흡수율과 기계적 물성의 결과를 확인할 수 있었다. 그러나 EVA-g-MAH가 10 phr 이상 첨가시 극성인 MAH로 인해 수분흡수율이 증가하는 경향을 보였다. 또한 가소제 역할을 하거나, 독립적인 상으로 거동하여 상용성을 저하했고 그 결과, 기계적 물성이 감소하는 한계를 보였다.
In this study, ethylene vinyl acetate (EVA), which has a low water absorption rate and high affinity with other resins, was blended with thermoplastic polyurethane (TPU) to overcome disadvantage of high water absorption problem of TPU. Maleic anhydride-grafted EVA (EVA-g-MAH) was used as a compatibilizer to improve the compatibility of the TPU/EVA blend.

Keywords: thermoplastic polyurethane, ethylene vinyl acetate, thermoplastic polyurethane/ethylene vinyl acetate blend, maleic anhydride-grafted ethylene vinyl acetate.
저자들은 이해상충이 없음을 선언합니다.
열가소성 엘라스토머(thermoplastic elastomer, TPE)는 고무의 탄성과 가황 공정이 불필요하여 혼련 공정의 간소화로 성형 가공이 용이한 열가소성 플라스틱 수지의 우수한 가공성을 동시에 발현하는 소재이자, 재활용이 가능하다는 장점으로 고무 소재의 대체 신소재로 주목받고 있다. 용융되는 소재별 특성에 따라 스티렌계, 폴리우레탄계, 폴리올레핀계, 폴리에스테르계, 폴리아미드계 등으로 나누어질 수 있다.1,2
이 중 열가소성 폴리우레탄(thermoplastic polyurethane, TPU)은 하드 세그먼트와 소프트 세그먼트를 구성하는 이성분계로 이루어진 복합체로 2차 분자간력으로부터 나오는 물리적 가교로 각종 성형 가공이 가능한 원천소재이며, 고무와 플라스틱의 성질을 동시에 지니고 있어 우수한 물리적 특성을 가진다. 이성분계의 함량비에 따라 다양한 탄성과 물성을 가져 여러 가지 용도로 활용되는 TPU는 또한 우수한 가공 성능을 가져 사출 성형, 압출, 블로우 및 압축 성형 등과 같은 다양한 방법으로 가공할 수 있어 열가소성 엘라스토머 소재로써 수요가 많이 증가하고 있는 추세이다.3-5
그러나 TPU는 쌍극자 모멘트가 3.6 debye인 극성의 우레탄기를 가지고 있는 하드 세그먼트로 인해 수분흡수율이 높아, 습윤한 환경이나 수분에 노출 시 취약한 특성을 가진다. 또한 경도가 높아 솔(sole) 소재와 같은 신발 분야에서 활용 가치가 낮고, 단가가 높아 비용적 손실도 크게 작용하는 단점을 지녀 이에 대한 해결 방안 관련 연구가 활발히 진행되어왔다.6,7
이를 개선하고자 무극성인 에틸렌과 극성인 비닐 아세테이트를 함유하여 타 수지와 친화성이 높아 가공성이 용이하고, 경도가 낮아 탄성이 뛰어난 열가소성 폴리올레핀계 수지인 에틸렌 비닐 아세테이트(ethylene vinyl acetate, EVA)를 혼합하여, 적절한 함량의 블렌딩을 통한 특성 개질 및 향상에 관한 연구를 고안하였다. 그러나 상대적으로 무극성인 EVA와 극성인 TPU의 블렌드는 두 고분자 간 높은 극성 차이로 인해 상용성이 없어 물성이 저하되는 결과를 초래한다. 이를 개선하려는 방법으로 두 고분자 중 하나와 화학적 결합이 가능한 반응형 상용화제가 많이 활용되고 있다. 대표적인 반응형 상용화제로 무극성 고분자에 말레산 무수물 또는 카르복실기를 갖는 비닐 단량체를 그라프트 공중합시킨 것을 사용하고 있다. 따라서 본 연구에서는 말레산 무수물(maleic anhydride, MAH)이 그라프트된 EVA(EVA-g-MAH)를 통해 TPU와 EVA 블렌드의 상용성을 보완하여 수분흡수율의 변화에 대하여 살펴보았다. 이를 분석하기 위해 모폴로지, 열적, 유변학적, 기계적 특성, 접촉각 측정을 이용하였다.
시약 및 재료. 본 실험에서는 TPU는 NEOSTANE 9094 AP(동성 코퍼레이션, 대한민국), EVA는 VA 함량 28 w%의 EVA1328(한화 케미칼, 대한민국)을 사용하였다. 상용화제로는 말레산 무수물이 그래프트된 EVA(EVA-g-MAH)인 Fusabond C 250(DuPont, 미국)을 사용하였다.
컴파운드 제조 Table 1에 나타난 조성에 따라 재료를 준비하고 TPU를 벤치 니더에 투입하여 110 oC, 5분간 소련시킨 후 EVA를 함량별로 투입해 5분간 혼련하였다. 함량별에 따른 EVA-g-MAH를 첨가한 컴파운드의 경우 추가적으로 3분씩 혼련시키고, 충분한 분산을 위해 100 oC로 설정된 6인치 롤 밀(roll mill, 대중정밀, 대한민국)로 이동시켜 3분간 분산시켜 시트형태로 가공하였다. 제조된 시트를 압출에 활용되는 소재의 가공 특성 조건을 고려하여 150 oC, 13분 동안 핸드 프레스를 사용하여 시편을 제조하였다.
측정 반응형 상용화제의 함량별 첨가에 따른 수분 흡수성의 상관관계를 확인하기 위해 ASTM D 570 규격에 따라 수분흡수율을 측정하였고, 접촉각 측정기(contact angle and surface tension, Phoenix 300, 대한민국)를 이용하여 표면의 접촉각 측정을 통해 컴파운드의 친수성-소수성 여부를 평가하였다.
또한 컴파운드의 상용성을 평가하기 위하여, 시차 주사 열량 분석(DSC, Model Q-25, TA Instruments, USA)을 통해 열적 특성을 분석하고, 표면의 분산성을 확인하기 위하여 전자주사현미경(SEM, S-4200, Hitach, Japan)을 이용하여 모폴로지 특성을 관찰하였고, capillary rheometer(Malvern Instruments Ltd, GBR)와 melt flow indexer(MFI, MP-1200, Tinius Olsen, USA)를 통해 유변학적 특성을 분석하였다.
컴파운드의 기계적 특성은 ASTM D412 규격에 준하여 universal testing machine(Model: 3345, Instron, USA)을 이용하여 측정하였다.
수분흡수율 및 접촉각 분석. EVA-g-MAH 함량별 첨가에 따라 컴파운드의 수분흡수성을 분석하기 위해 수분흡수율을 측정하였다.
1.29%의 수분흡수율을 가지는 TPU에 0.13%의 수분흡수율을 가지는 EVA를 첨가 시 Figure 1에서 보는 바와 같이, 1.14%(BM-0)로 수분흡수율의 감소를 확인할 수 있었다. EVA-g-MAH가 첨가된 경우 함량의 증가에 따라 수분흡수율은 더욱 감소되어 10 phr 첨가 시 1.02%의 수분흡수율을 나타낸다. 이는 EVA-g-MAH 첨가에 따른 블렌드 내 두 소재 간 계면결합 증진으로 향상된 분산성에 의한 결과로 판단된다. 그러나 10 phr 이상 첨가 시 수분흡수율의 감소율이 줄어들고 약간 증가하는 경향을 나타낸다. 이는 반응에 참여하지 못한 과량의 EVA-g-MAH가 블렌드된 컴파운드 표면에 거동하여 극성기를 함유한 MAH의 영향으로 인한 결과로 여겨진다.
수분흡수율 측정의 경우 시편의 두께와 질량의 미세한 차이에 따라 측정값의 오차가 상당히 발생하여 소수 셋째자리 이하의 값은 오차 범위 내로 판단하고 둘째자리까지 측정하였다. 추가적으로 극성의 척도를 파악하여 수분 친화성을 확인하기 위해 접촉각 측정기를 통해 접촉각(θ)을 측정하고 그 결과를 이용하여 표면에너지(γSV), 부착일(WSL)과 퍼짐 계수(S)를 아래 식 (1)-(3)을 이용하여 계산하였다.

이 때 γLV는 물의 표면 장력으로 값은 72.8이며, 모든 측정 단위는 m/Nm이고, 그 결과를 Table 2에 나타내었다. 계산한 값을 이용하여 표면의 젖음성을 분석하였다.
접촉각은 액체가 고체 표면의 표면장력보다 클 때, 액체의 방울이 고체의 표면에서 이루는 각이다. EVA-g-MAH 함량이 증가할수록 고체 표면과 액체인 물방울의 접착력이 낮아져 두 상이 접촉하여 형성되는 에너지인 표면에너지와 두 상을 분리하기 위해 필요한 에너지인 부착일이 감소하게 되고, 표면에 잘 퍼지지 않아 퍼짐 계수가 감소하여 접촉각의 증가를 확인할 수 있었다. EVA-g-MAH가 10 phr 첨가된 블렌드의 경우 접촉각은 78.0°로 첨가되지 않은 블렌드 대비 24.3°증가하였고, 표면에너지는 15.2 m/Nm로 감소하였으며, 부착일과 퍼짐 계수는 각각 88.0 m/Nm, -57.6 m/Nm로 가장 낮았다. 10 phr 이상 과량의 EVA-g-MAH가 첨가 시 접촉각은 낮아지고, 표면에너지와 부착일과 퍼짐 계수는 증가하는 경향을 나타내어 대체로 수분흡수율과 유사한 경향을 확인할 수 있었다.
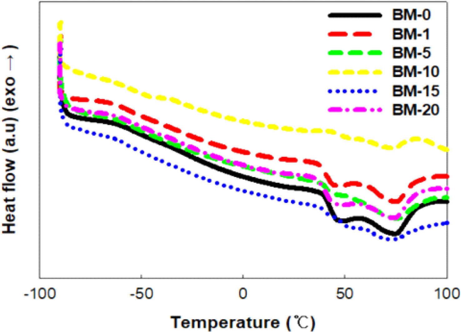
열적 특성 분석. Figure 2는 DSC를 통해 EVA-g-MAH 함량별에 따른 TPU/EVA 블렌드의 열적 거동을 분석하여 각각 유리전이온도(Tg)와 융점(Tm)의 변화를 그래프로 나타내어 블렌드의 상용성 변화를 확인하였다. 상용성이 낮은 폴리머의 경우 블렌드 시 각각 두 개의 유리전이온도인 Tg가 나타나지만 높은 폴리머의 경우 블렌드 단위체가 가지고 있는 고유 Tg간의 차이를 감소시키거나 실제로는 조건에 따라서 Tg가 나타나지 않는 경우도 있다. 분석한 결과 TPU의 Tg가 -56.5 oC, 융점인 Tm이 70.7 oC로 측정되는 결과를 확인할 수 있다. EVA의 경우 Tg는 -32.7 oC에서 Tm의 경우 비닐 아세테이트기와 에틸렌기에 기인하여, 각각 48.4 oC와 79.0 oC에서 관찰되었다. EVA-g-MAH가 첨가되지 않은 블렌드의 경우 Tg는 -56.5 oC로 TPU와 비교하여 미미한 차이를 보였다. EVA-g-MAH를 함량별로 첨가 시 10 phr까지 Tg는 증가하는 경향을 나타내는데 이는 EVA-g-MAH가 TPU와 EVA의 혼화성을 증대시켜, EVA의 높은 Tg의 영향을 증대시킨 결과로 판단된다.
10 phr 이상의 EVA-g-MAH 첨가 시 Tg는 미미하게 증가하는 경향을 나타냄으로써 상용성이 저하되는 경향을 확인할 수 있었고, 동시에 10 phr의 EVA-g-MAH가 첨가된 블렌드의 상용성이 가장 우수하다고 판단된다. 또한 Tm의 경우 TPU/EVA 블렌드 시 44.8 oC와 75.2 oC에서 관찰되었는데 이는 에틸렌기에 기인한 EVA와 TPU의 Tm 구간이 유사하여 하나의 피크로 중첩되었고, 비닐 아세테이트기를 함유한 EVA의 용융 피크가 나타나 두 개의 피크가 관찰되었다고 판단된다. EVA-g-MAH 함량이 15 phr까지 증가할수록 두 개의 용융 피크가 약해지면서 하나의 피크로 합쳐지려는 경향을 확인 할 수 있다. 10 phr의 EVA-g-MAH가 첨가된 경우 에틸렌기에 기인한 용융 peak 구간에서 발견되지 않고 70.9 oC에서 단일 peak로 관찰되어 상용성의 개선을 확인하였다.8
모폴로지 특성 분석. EVA-g-MAH 함량에 따른 TPU/EVA 블렌드의 상 구조를 SEM을 통해 모폴로지로 관찰하여 분산상의 크기 변화와 분포를 Figure 3에 나타내었다.
EVA-g-MAH가 첨가되지 않은 블렌드인 BM-0의 경우 분산상(EVA)의 크기가 크고, 일정하지 않으며, 분포도 균일하지 않음을 확인할 수 있다.
EVA-g-MAH 함량이 증가할수록 분산상의 입자 크기는 줄어들고, 분포 또한 균일하게 개선되어, 10 phr 첨가 시(BM-10) 분산상의 입자는 거의 관찰되지 않고, 불명확해진 계면을 확인할 수 있다. 이는 EVA-g-MAH 첨가로 연속상(TPU)과 분산상 사이인 계면의 접착력이 향상되어 분산상의 크기가 작아져 상용성이 개선되었음을 나타낸다. 그러나 20 phr 첨가된 컴파운드의 경우(BM-20) 과량의 첨가로 인한 응집이 형성되어 거동하는 경향을 볼 수 있다.9 이는 EVA-g-MAH 함량에 따른 기계적 특성의 경향과 일치하는 모습을 보인다. 이를 통해 EVA-g-MAH 함량별 첨가에 따른 모폴로지의 변화와 블렌드의 상용성 개선 여부를 확인할 수 있었다.
유변학적 특성 분석. 압출 및 사출 성형 가공의 용이성을 파악하는데 중요한 요소로 활용되는 점도 거동과 용융흐름지수를 통한 유동성을 분석하고 TPU/EVA 블렌드의 상용성을 파악하고자 본 실험은 모세관 점도계를 사용하여 150 oC 온도에서 200, 500, 1000, 2000 s-1로 전단 속도를 상승시키면서 상용화제 첨가 유무 및 함량에 따른 블렌드의 점도 변화 거동을 측정하였고, melt flow indexer(MFI)를 통해 150 oC, 2.16 kg의 하중으로 용융흐름지수를 측정하였다.
Figure 4에서 보는 바와 같이 TPU/EVA 블렌드는 전단 속도가 증가할수록 점도가 감소하는 전단박화(shear thinning) 현상을 보였고, EVA-g-MAH가 첨가된 블렌드는 화학반응에 기인하여 함량이 증가할수록 계면 접착력이 향상되어 점도 역시 이에 수반하여 증가하는 것을 확인할 수 있다.10 그러나 EVA-g-MAH 함량이 15 phr 이상 첨가 시 전단 속도가 증가할수록 점도 저하의 폭이 크게 나타나기 시작하여 1000 s-1 구간에서는 10 phr에 비해 감소하는 경향을 Figure 5를 통해 확인할 수 있다. 이는 과량으로 첨가된 EVA-g-MAH가 계면에서 윤활제 역할을 수행하여 점도 저하를 유발한 것으로 판단된다.11,12
Figure 6에서 보는 바와 같이 EVA-g-MAH 첨가에 따라 유동성이 감소한 블렌드의 용융흐름지수가 함량별 증가에 따라 낮아지는 경향을 보인다. 이는 상용성에 기인하여 용융흐름지수가 감소하며 전단 점도와 용융흐름지수 간 대체로 상반 관계를 보여주는 선행연구들과 유사한 결과를 나타낸다.13 EVA-g-MAH가 5 phr 첨가 시 용융흐름지수의 감소율이 가장 크게 나타났고, 그 이상의 첨가 시 감소율이 줄어드는 것을 확인할 수 있다. EVA-g-MAH가 15 phr 이상 첨가 시 용융흐름지수의 감소율 변화가 미미하여 큰 차이가 나타나지 않았다.
기계적 특성 분석. EVA-g-MAH 첨가량에 따른 인장강도(Figure 7)와 신율(Figure 8) 및 인열강도(Figure 9)를 각각 나타내었다. EVA-g-MAH 함량이 증가할수록 TPU/EVA 블렌드의 기계적 특성이 향상되는 경향을 나타낸다. EVA-g-MAH가 10 phr 첨가 시 인장강도와 신율 및 인열강도의 특성이 가장 우수한 결과를 보였다. 이는 블렌드에 첨가된 EVA-g-MAH의 MAH가 TPU의 NH-기와 화학적 결합의 반응으로 두 소재 간 계면 접착력을 향상시키고, 분산성을 높임으로써 기계적 특성이 증가하는 경향의 결과를 보인다고 판단된다.13,14 그러나 EVA-g-MAH의 첨가량이 10 phr 이상일 경우 기계적 특성은 감소하는 경향을 보인다. 이는 과량의 EVA-g-MAH가 첨가되었을 경우, 계면 내 존재하는 상용화제 층이 두꺼워지면서 가소제 역할을 하거나, 독립적인 상으로 존재하며 거동하여 물성을 저하하는 원인으로 사료된다.15,16
|
Figure 1 Water absorption rate of EVA-g-MAH content. |
|
Figure 2 DSC analysis of TPU/EVA blend by EVA-g-MAH content. |
|
Figure 3 SEM image of TPU/EVA blend by EVA-g-MAH content (×500, bar: 10 μm). |
|
Figure 4 Shear viscosity of TPU/EVA blend by EVA-g-MAH content. |
|
Figure 5 Shear viscosity of TPU/EVA blend at shear rates of 1000/ s and 2000 s-1. |
|
Figure 6 Melt flow index of TPU/EVA blend by EVA-g-MAH content. |
|
Figure 7 Tensile strength of TPU/EVA blend by EVA-g-MAH content. |
|
Figure 8 Elongation of TPU/EVA blend by EVA-g-MAH content. |
|
Figure 9 Tear strength of TPU/EVA blend by EVA-g-MAH content. |
|
Table 2 Contact Angle, Surface Energy, Adhesion Date, Spread Coefficient of TPU/EVA Blend According to EVA-g-MAH Content |
본 연구에서는 수분흡수성이 높아 습윤한 환경에 취약하며, 높은 단가로 고경도의 특성을 가지는 TPU 소재를 개선하기 위해 수분흡수성이 낮고, 경도가 낮아 탄성이 뛰어난 EVA의 함량별에 따라 블렌드하였다. EVA와 블렌드 시 수분흡수율을 감소시키는 결과를 불러왔다. EVA의 함량이 20% 첨가되었을 때 연속상인 TPU 매트릭스에 균일하게 분포되어 더 나은 계면 접착력으로 기계적 특성이 타 배합 비율에 비해 향상되는 결과를 초래하였지만 대체로 EVA 함량이 증가할수록 두 고분자 간 높은 극성의 차이로 인해 상용성이 떨어져 기계적 특성이 저하되는 결과를 보였다. 이를 개선하고자 반응형 상용화제인 EVA-g-MAH를 도입하였다. 그 후 수분흡수율과 기계적 특성의 감소를 고려하여 균형 잡힌 TPU/EVA 함량 비율을 8대 2로 고정 후 EVA-g-MAH 함량별에 따른 상용성의 개선을 확인하고, 이에 따른 수분흡수율과 기계적 특성의 변화를 관찰하였다. 그 결과 말레산 무수물과 우레탄 결합으로 형성된 TPU의 NH-기와의 화학적 결합 및 그라프트된 EVA가 기존의 EVA와 혼합되어 EVA-g-MAH가 TPU/EVA 블렌드의 상용성을 개선해주어 향상된 기계적 특성과 더욱 감소한 수분흡수율을 확인할 수 있었다. 모폴로지, 열적, 유변학적, 기계적 특성, 수분흡수율 및 접촉각을 통해 EVA-g-MAH가 TPU/EVA 블렌드의 상용성을 개선하고 수분흡수율을 감소시키는 최적의 함량은 10 phr임을 확인할 수 있었다.
EVA-g-MAH가 첨가된 TPU/EVA 블렌드는 상용성이 개선되어 수분흡수율이 감소하고, 기계적 특성이 개선되었지만, 극성인 MAH로 인해 적정 함량인 10 phr 이상 첨가 시 수분흡수율의 감소가 미미하였다. 또한 과량의 EVA-g-MAH는 가소제 역할을 하거나, 독립적인 상으로 존재하며 거동하여 기계적 특성을 저하하는 결과를 보였다.
결론적으로, 기존의 우수한 기계적 특성을 유지하는 TPU의 수분흡수율이 개선된 컴파운드를 개발할 수 있는 방안을 마련하기 위해 EVA 및 EVA-g-MAH의 적절한 함량을 도출하였다. 더 나아가 EVA-g-MAH를 사용하여 흡수성이 높은 소재를 개선시키기 위한 접근을 확인하고, TPU 기반 블렌드 분야의 수분흡수율을 감소시키기 위한 활발한 연구가 진행되길 기대한다.
This Article2022; 46(2): 251-256
Published online Mar 25, 2022
Services
Correspondence toSchool of Chemical Engineering, Pusan National University, Busan 46241, Korea