
Pyoung-Chan Lee†
, Su Young Kim, Sun Kyoung Jeoung, Youn Ki Ko, Jin Uk Ha, Ju-Yub Lee*, and Minsu Kim**
Materials Technology R&D Division, Korea Automotive Technology Institute, Dongnam-gu, Cheonan-si, Chungnam 31214, Korea
*Reliability R&D Division, Korea Automotive Technology Institute, Dongnam-gu, Cheonan-si, Chungnam 31214, Korea
**FL Material Research Team, Hwaseung Material Co. Ltd., Yusangongdan 2-gil, Yansan-si, Gyeongnam 50592, Korea
한국자동차연구원 소재기술연구본부, *한국자동차연구원 신뢰성연구본부, **㈜화승소재 FL재료연구팀
Reproduction, stored in a retrieval system, or transmitted in any form of any part of this publication is permitted only by written permission from the Polymer Society of Korea.
In this study, life time prediction of fluoroelastomer for automotive vapor fuel hose was investigated using the accelerated thermal aging test. The change in hardness of fluoroelastomer was analyzed as physical parameters for the accelerated life time prediction model. The accelerated aging test was performed at temperatures of 160, 175, 190, and 200 ℃, and it was confirmed that the hardness gradually increased with the aging time. The accelerated life time prediction model was conducted using the curve fitting method and the cumulative density function method based on the Arrhenius relationship. As a result of life time prediction of ternary fluoroelastomer, the curve fitting method showed 5170 hours and the cumulative density function method showed 5577 hours. The activation energy calculated from life time prediction model of fluoroelastomer was ca. 86 kJ mol-1. The accelerated life time prediction model could be used to predict the relative life time according to material changes.
본 연구에서는 가속 열화시험을 활용하여 자동차 연료 호스용 불소 고무의 수명 예측에 관해 보고한다. 가속 수명 예측 모델은 노화 시간에 따른 경도 변화를 물성 파라미터로 분석하였다. 가속 노화 시험은 160, 175, 190 및 200 oC에서 수행하였으며, 노화 시간에 따른 경도는 점진적으로 증가하는 것을 확인하였다. 가속 수명 예측 모델은 아레니우스 관계식을 기반으로 한 추세선 방식과 누적분포함수 방식을 활용하여 진행하였다. 삼원계 불소 고무의 수명 예측 결과 추세선 방식의 경우 5170시간, 누적분포함수 방식의 경우 5577시간을 보였다. 두 예측 모델에서의 계산된 활성화 에너지는 약 86 kJ mol-1을 보였다. 두 가속 수명 예측 모델은 예측된 수명과 활성화 에너지가 유사하게 도출되어 소재 변경의 수명 예측에 활용 가능한 것으로 판단된다.
Life time prediction of elastomer for automotive vapor fuel hose was investigated using accelerated thermal aging test. Life time prediction model was conducted using the curve fitting method and the cumulative density function method based on the Arrhenius relationship.

Keywords: fluoroelastomer, accelerated life test, activation energy, vapor fuel hose, automotive.
본 연구는 산업통상자원부에서 지원하는 2019년도 소재부품기술개발 사업(과제번호: 20007220)의 연구 수행으로 인한 결과물임을 밝힙니다.
저자들은 이해상충이 없음을 선언합니다.
자동차, 철도, 건축, 항공우주 등 다양한 산업 분야에 폭넓게 사용되고 있는 유기 탄성체는 구성 성분에 따라 서로 다른 물성과 특성을 나타내는 소재이다.1-3 다양한 유기 탄성체 중 불소 탄소 고무는 다양한 함량의 불소를 가진 불소화 관능기를 포함한 탄소-탄소 결합을 가진 단량체로 구성된다.2,3
분자 구조에 불소가 존재하는 불소 고무는 일반적으로 고온에서 우수한 특성 유지를 나타내며, 분자 구성의 극성으로 인해 유기 용제에 대한 내성이 뛰어나 다양한 응용에 적용 가능하다. 특히 불소 고무는 고온에서 우수한 유연성과 탄력성을 보이고 있어 불소 고무는 자동차 연료 시스템 및 동력 시스템 등에 적용되고 있다.1-5
사용환경에서 고무를 비롯한 유기 고분자 재료의 성능에 대한 예측과 이해는 재료의 노화 거동 측면에서 지속적인 관심을 받고 있다. 고무 플라스틱을 비롯한 다양한 재료의 사용환경에서의 온도, 습도 등은 매우 중요한 환경 인자이며, 환경 인자에 의한 노화는 직접적으로 물성 저하를 일으킨다. 이러한 사용환경에서의 물성저하는 고무 플라스틱을 적용한 제품의 수명에 직접적인 영향을 미치게 된다. 하지만 일반 사용환경에서의 노화에 따른 물성 저하는 장시간에 걸쳐 점진적으로 발생하기 때문에 일반 노화를 통해 제품 수명을 예측하기 어렵다고 보고되어 있다.1,6-8 점진적으로 발생하는 일반 환경에서의 노화에 따른 물성 변화 관찰을 대신하여 짧은 시간 내에 시험이 가능한 가속 노화 시험법이 활용되고 있으며, 이를 통한 가속 수명 예측에 대한 연구가 꾸준히 진행되고 있다.9-11 가속수명 시험은 재료의 수명을 예측하는 중요한 방법이며, 일반적으로 사용하는 가속 열화 시험의 수명 예측의 이론적 근거는 시간-온도 중첩 원리에 따른다. 고무 플라스틱을 적용한 제품의 서비스 수명예측에 대한 필요성이 증가함에 따라 자동차 부품산업을 비롯한 산업계에서는 가속 수명 시험 적용이 증가하고 있다.
앞선 연구에서는 자동차 오일씰 및 가스켓용 이원계 불소고무의 고온 열화 가속 시험에 대한 연구를 수행하였다. 앞선 연구는 시간-온도 중첩원리를 적용하여 아레니우스 관계식 기반 가속 수명 모델을 도출하였다. 본 연구에서는 연료탱크에서 발생하는 증발 가스를 엔진 내부까지 이송하는 호스인 자동차 연료 호스의 내부에 사용되는 삼원계 불소고무의 고온 열화 가속 시험을 진행하였으며, 가속 수명 모델은 앞선 연구와 같이 아레니우스 기반 추세선 방식을 사용하였으며, 추가적으로 누적분포함수 방식을 사용하여 가속 수명 모델을 도출하였으며, 모델 방식에 따른 수명 예측 결과를 비교 분석하였다.
재료. 본 실험에 사용된 불소 고무는 삼원계 불소고무로 비닐리덴플루오라이드(VF2, vinylidene fluoride), 헥사플루오르프로필렌(VF6, hexafluoro-propylene)과 테트라플루오르에틸렌(VF4, tetrafluoro-ethylene) 공중합체이다. 삼원계 불소고무는 Dowhon사(China)의 DTR-5930GE 그레이드를 사용하였다.
첨가물은 활성화제(5 phr, 수산화칼슘, Hell Star, USA), 산수용제(7 phr, 산화마그네슘, Konoshima Chemical, Japan), 가공조제(1 phr, 카본계 왁스, Dongdo-chem Co., Korea), 가소제(8 phr, 카본계, Samsung Polymer Co., Korea), 카본블랙(16 phr, OCI Co., Korea), 충전제(10 phr, BK industry Co., Korea) 등을 삼원계 불소 고무와 함께 혼련하였다. 소재 배합은 75 L Kneader((주)봉신, Korea)를 사용하여 램압력 7 kgf, RPM 28 조건에서 혼련하였으며, ㈜화승소재(Korea)에서 제작하여 제공받았다.
물성분석. 불소 고무 컴파운드의 기본 물성은 경도(Shore A), 인장강도, 신율, 무늬점도 및 비중을 측정하였다. 경도는 디지털 경도계(DD4-A, Kobunshi Keiki사, Japan)로 측정하였으며, 인장강도 및 신율은 ISO 37의 규정에 따라 만능재료시험기(UT-100F, MTDI사, Korea)측정하였다. 무늬점도는 ML1+10, 121 oC 조건으로 MV200 장비(Alpha Technologies, USA)로 측정하였으며 비중 측정은 ML204T(Mettler Toledo, Swiss)를 사용하였다.
가속노화시험. 샘플의 열화에 의한 기계적 물성 변화를 알아보기 위해 각각 160, 175, 190 및 200 oC의 등온노화시험에서 시간에 따른 각 샘플의 경도 변화를 측정하였다. 열에 의한 노화만을 고려하려 항온 항습 조건이 아닌 항온 조건에서 진행하였다. 측정 샘플은 각 온도당 5개의 시편을 측정하였다. 측정된 샘플 물성을 활용한 수명예측은 Minitab 프로그램을 사용하였다.
기본 물성 분석. 본 연구에서 사용된 연료 호스용 불소 고무의 기본 물성을 Table 1에 정리하였다. 차량용 연료 호스에 사용되기 위한 삼원계 불소고무의 물성은 자동차 부품업체에서 부품 성형을 위해 요구되는 기본적인 물성을 기준으로 하여 프리 컴파운딩 및 배합을 진행하여 구현하였다.
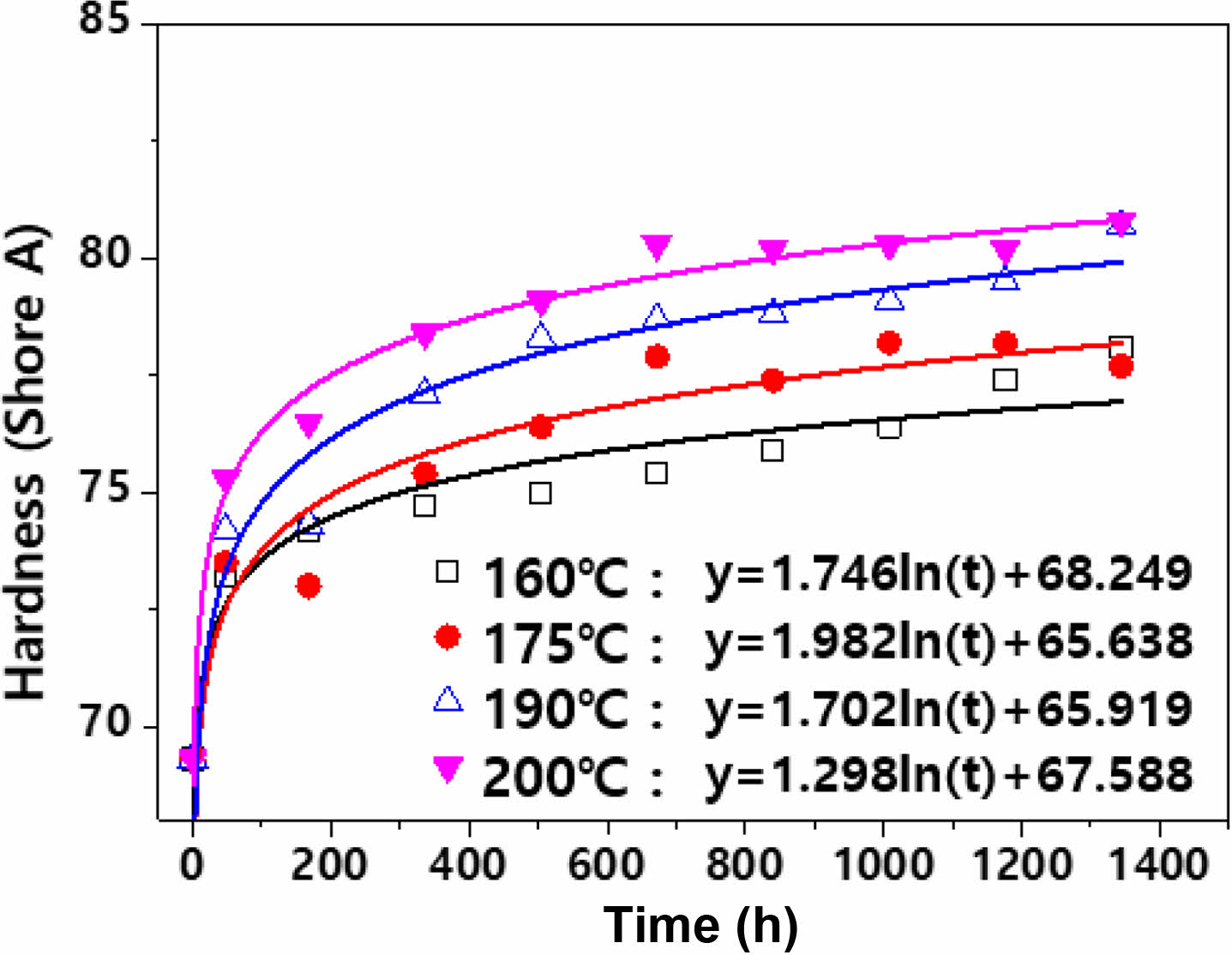
가속 노화에 따른 물성 분석. 본 연구에서는 가속 노화시험을 통해 경도 변화를 측정하였으며, Figure 1은 열화 온도 160, 175, 190 및 200 oC에서의 노화 시간에 따른 경도 변화를 보여준다. Figure 1에서 보는 바와 같이 열화 시간에 따른 경도는 점진적으로 증가하는 것을 확인할 수 있다. 또한, 열화 온도가 증가할수록 경도 변화가 급격히 빨라지는 것을 확인할 수 있다. 그래프 상 포인트 데이터는 노화 온도당 5개 시편에서 측정된 경도 평균을 바탕으로 하였다. 노화 시간에 따라 샘플의 경도가 점진적인 열화 특성을 보이므로 가속 열화의 파라미터로 활용 가능하다고 판단된다.
가속 수명 예측 모델. 첫번째로 앞선 연구에서1 활용된 불소 고무의 가속 열화 시험에 의한 노화 시간에 따른 경도 변화를 아레니우스 기반 추세선 방식으로 가속 수명 모델을 도출하고자 하였다. 고무의 가속 노화 시험에 의한 노화 시간에 따른 경도 변화는 다음과 같이 나타낼 수 있다.1,12

여기서, Hs는 고온 조건에 대한 노화 시간 t 에서의 경도를 나타낸다. k는 속도상수로 온도를 변수로 사용하는 아레니우스 타입으로 다음과 같이 나타낼 수 있다.

여기서, k0는 상수, Ea는 활성화 에너지(J mol-1), R은 기체상수(8.314 J·K-1mol-1), T는 절대온도(K)를 나타낸다.
식 (1)과 식 (2)를 통해 수명시간 t와 시험온도 T와의 관계를 도출할 수 있으며, 서로 다른 온도 T1과 T2에서의 수명 t1, t2를 이용하여 식 (3)의 온도와 수명 관계식으로 표현 가능하다.1,12 이를 통해 가속화된 조건에서의 단시간의 물성 변화는 사용 환경 온도에서의 장시간의 변화와 같게 되어 사용 환경에서의 수명 예측이 가능하다.1,12

Figure 1은 연료 호스용 불소 고무의 가속 노화 온도별 열화 시간에 따른 경도 변화를 기반으로, 최소자승법에 의하여 curve fitting을 도식화해서 추가적으로 나타내었다. Figure 1에서 보는 바와 같이 경도와 노화 시간의 관계식을 도출하여 명시하였으며, 이를 통해 차량 부품 제조사의 품질 관리 기준을 기반으로 도출된 경도 변화율의 경계점을 10%로 설정하였을 시 소재의 고장 시점을 도출할 수 있다. 각 노화 온도에서의 고장 시점을 계산하면, 160 oC에서는 778시간, 175 oC에서는 427시간, 190 oC에서는 209시간, 그리고 200 oC에서는 97시간으로 도출되었다. Figure 2는 수명시간과 사용 온도간의 관계식을 도출하기 위해 ln(t)를 절대온도의 역수 값에 대하여 도식화하였다. Figure 2에서 보는 바와 같이, 아레니우스 방정식에 따라 선형적인 관계식으로 추세선이 도출되는 것을 확인할 수 있다. 이 관계식으로부터 도출되는 자동차 연료 호스의 예상 수명은 사용온도를 130 oC로 할 때, 삼원계 불소고무 샘플은 5130시간으로 예측되었다. 식 (2)와 식 (3)을 사용하여 도출된 Ea를 구할 수 있으며, 86.5 kJ mol-1 이다.
두번째 가속 수명 예측 모델 도출은 누적분포함수를 활용하였다. 신뢰성의 척도는 수명시간 t의 함수로 나타낸 신뢰도 함수이다. 본 연구에서 신뢰도 함수로 사용된 분포는 와이블 분포이며, Minitab 프로그램을 통해 다양한 분포(지수 분포, 와이블 분포, 로그 분포 등)로 검토한 결과 가장 적합한 분포로 도출하였다. 와이블 분포의 신뢰성 누적분포함수는 다음과 같이 표현된다.6,8

여기서, F(t), n, η는 각각 누적분포함수, 형상모수(shape parameter), 그리고 척도모수(scale parameter)를 나타낸다.
와이블 분포의 척도모수는 고무 플라스틱의 가속 수명 예측 모델의 수명 특성으로 대체될 수 있으며, 가속 노화 시험에 의한 시간 의존 속도(k)는 아레니우스 관계식(k1 exp(-Ea/RT))으로 나타낼 수 있다.6 이를 통해 식 (4)의 누적분포함수는 다음 식 (5)와 같이 표현된다.

여기서, k1는 상수, Ea는 활성화 에너지(J mol-1), R은 기체상수(8.314 J·K-1·mol-1), T는 절대온도(K)를 나타낸다.
Figure 3은 앞선 추세선 방식과 마찬가지로, 가속 노화 시험 결과에서 경도 변화율의 경계점을 10%로 설정하였을 시 도출된 소재의 고장 시점을 바탕으로 가속 변수에 따른 적합화된 직선을 나타낸다.
누적분포함수를 통해 일정 시점에 샘플이 고장날 확률을 Bx 수명으로 표현할 수 있다. 본 연구에서 불소 고무 소재의 Bx 수명을 Table 2에 나타내었다. Table 2에서 보는 바와 같이 샘플 중 0.1%가 고장나는 시점은 1046시간, 50%가 고장나는 시점은 5577시간으로 나타낸다. 또한 식 (5)의 누적분포함수를 통해 도출된 활성화 에너지는 86.7 kJ mol-1 이다.
본 연구에서 도출된 예상 수명을 살펴본 결과, 추세선 방식의 예상 수명 5130시간과 누적분포함수 방식의 B50 수명 5577시간과 유사한 것으로 고려된다. 또한, 가속 수명 예측 모델에서 도출된 각각의 활성화 에너지는 86 kJ mol-1 수준으로 유사한 활성화 에너지를 보였다. 본 연구에서 활용된 수명 예측 모델의 적확성은 실제 부품에서의 내구 평가를 진행하여 가속 노화 결과와 비교 평가하는 방법으로 판단할 수 있을 것이라 사료된다. 하지만, 실제 평가를 진행하는데 있어 소요되는 시간과 비용을 단축할 수 있기 때문에 소재 변경에 따른 내구 물성 분석을 비교하는데 있어서 본 가속 수명 예측 모델이 활용 가능할 것으로 판단된다. 추세선 방식의 경우, 추가적인 소프트웨어가 필요 없기 때문에 수명 예측이 간소화될 수 있을 것이라 판단되며, 누적분포함수 방법은 신뢰성을 통계적 기반의 함수로 표현하고 있어 정량적으로 표현할 수 있다는 장점이 있다.
본 연구에서는 불소 고무의 노화 인자를 온도로 한정하여 진행하였으나, 고무 플라스틱의 노화 인자는 사용 환경 및 조건에 따라 다르기 때문에 복합적으로 접근할 필요가 있다. 따라서, 신뢰성 있는 정확한 수명 예측을 위해서는 실제 사용환경을 고려하여 복합적인 인자를 대상으로 한 수명 예측 모델이 필요할 것으로 예상된다.
|
Figure 1 Hardness of elastomer for vapor fuel hose with plotted as aging time and aging temperature. |
|
Figure 2 Time-temperature relationship of the elastomer for vaper fuel hose. |
|
Figure 3 Arrhenius-Weibull probability plot of the elastomer for vapor fuel hose. |
|
Table 2 Bx Life of the Elastomer for Hardness Calculated from Cumulative Density Function |
본 연구에서는 내유성 및 고온 탄력성이 요구되는 자동차용 연료 호스에 적용되고 있는 불소 고무의 가속 노화 시험을 활용한 수명 예측에 관한 연구를 진행하였다.
가속 노화 시험의 물성 파라미터는 가속 온도에 따른 경도 변화로 진행하였으며, 노화 시간이 증가함에 따라 경도가 점진적으로 증가하는 경향을 보였다. 이러한 경향을 바탕으로 가속 수명 모델은 아레니우스 가속 모형을 활용하였으며, 추세선 방식과 누적분포함수 방식을 적용하였다. 각각의 가속 수명 예측 모델별 도출된 불소고무의 예상 수명과 활성화 에너지는 유사한 수준을 보였다. 예상 수명과 활성화 에너지가 유사하게 도출되었기 때문에 두 모델 모두, 소재의 수명 예측에 활용 가능한 것으로 판단된다.
본 연구를 통해 불소 고무를 적용한 부품의 장기 내구 신뢰성 확보에 많은 도움이 될 것으로 예측된다.
This Article2022; 46(3): 397-401
Services
Correspondence toMaterials Technology R&D Division, Korea Automotive Technology Institute, Dongnam-gu, Cheonan-si, Chungnam 31214, Korea