
Byoung-Min Lee# , Ha Eun Shim# , Yeong Heum Yeon, You Ree Nam, Moonsik Chae, Jae Ho Kim, Dae-Hee Lim, and Hui-Jeong Gwon†
Advanced Radiation Technology Institute, Korea Atomic Energy Research Institute, 29 Geumgu-gil, Jeongeup, Jeollabuk-do 56212, Korea
한국원자력연구원 첨단방사선연구소
Reproduction, stored in a retrieval system, or transmitted in any form of any part of this publication is permitted only by written permission from the Polymer Society of Korea.
In this study, the effects of gamma-ray irradiation on partially fluorinated polystyrene were demonstrated. Polystyrene is an organic polymer material with radiation resistance due to its aromatic structure. To improve the radiation resistance of polystyrene, poly(4-fluoropolystyrene) and polypentafluorostyrene were prepared by solution polymerization. The 60Co gamma-ray irradiation was performed with a dose rate of 10 kGy/h in an air atmosphere. The absorbed doses were 25, 50, 100, 200, and 500 kGy, respectively. The changes in atomic composition, chemical structure, and thermal property were characterized by Fourier transform infrared spectroscopy, X-ray photoelectron spectroscopy, thermal gravimetric analyzer, and differential scanning calorimetry. Based on analytical results, polypentafluorostyrene showed less oxidation and excellent thermal properties after the absorbed dose of 500 kGy. These results indicate that partially fluorinated polystyrene is a promising candidate for radiation resistance applications.
부분 불소화된 폴리스티렌의 감마선 조사 효과에 대해 연구하였다. 폴리스티렌은 방향족 구조로 인해 방사선 내성을 가지는 유기 고분자이다. 폴리스티렌의 방사선 내성을 향상하기 위해 부분 불소화된 폴리스티렌을 용액 중합하였다. 부분 불소화된 폴리스티렌의 감마선 조사는 공기 분위기에서 60Co 선원을 이용하여 10 kGy/h의 선량율로 수행하였고 감마선 흡수선량은 25, 50, 100, 200, 500 kGy이었다. 원소 함량과 화학 구조, 열적 특성의 변화는 각각 퓨리에 변환 적외선 분광법, X-선 광전자 분광법, 열중량 분석, 시차주사열량계를 사용하여 분석하였다. 분석 결과를 바탕으로 폴리플루오로스티렌은 500 kGy의 감마선 흡수선량 조사 후 산화 반응이 가장 적고 열적 특성이 가장 우수하였다. 이러한 결과를 바탕으로 부분 불소화된 폴리스티렌이 방사선 내성 응용 분야에 사용이 가능할 것으로 판단된다.
Partially fluorinated polystyrene was synthesized and characterized. Polypentafluorostyrene (PPFS) shows the less oxidation and excellent thermal properties after gamma-ray irradiation. Their results indicate that the PPFS can be applied as a potential material for radiation resistance applications.

Keywords: irradiation, gamma-ray, polystyrene, polyfluorostyrene, radiation resistance.
이 성과는 2022년도 과학기술정보통신부의 재원으로 한국원자력연구원 기관고유사업의 지원을 받아 수행된 연구임(과제번호 523410-22).
저자들은 이해상충이 없음을 선언합니다.
고분자 재료의 표면 개질, 가교, 경화, 분해 반응 등에 전자빔(electron beam), 감마선(gamma-ray), 양성자빔(proton beam) 등의 전리 방사선(ionizing
radiation) 조사 방법을 많이 사용하고 있다.1,2 고분자 재료의 반응은 전리 방사선 조사에 의해 생성된 라디칼에 의해 진행되며 대표적으로 고분자 사슬 간 결합에 의해 분자량이 증가하는 가교 반응과 고분자 사슬의 절단에 의해 분자량이 감소하는 분해 반응으로 구분할 수 있다. 전리 방사선 조사 방법은 고분자 재료의 여러가지 반응을 유도하기 위한 기존의 방법에 비해 화학 첨가제가 필요 없고 상온과 저온에서 짧은 시간에 반응을 유도할 수 있는 장점이 있다.3-5
Polystyrene(PS)은 다른 열가소성 고분자 재료에 비해 전리 방사선 내성(radiation resistance)이 우수한데 이는 PS 구조 내 존재하는 방향족의 비편재화(delocalization)된 전자로 인해 전리 방사선을 흡수하고 일부 전리 방사선의 에너지를 소멸하기 때문이다. 그러나 PS는 공기 분위기에서 특정 흡수선량 이상의 전리 방사선을 조사할 경우 생성된 라디칼이 공기중의 산소와 반응하여 PS 구조 내 이차 탄소와 삼차 탄소 위치에서 산소를 포함하는 관능기가 형성되는 산화 반응이 일어난다.6-8
불소계 고분자는 구조 내 탄소와 불소의 큰 결합 에너지, 불소의 큰 전기 음성도, 높은 전자 밀도로 인해 내화학성, 내후성, 내열성 등이 우수한 것으로 알려져 있다.9,10 불소계 고분자중 과불소계 고분자에는 polytetrafluoroethylene(PTFE), polychlorotrifluoroethylene(PCTFE), poly(tetrafluoroethylene-co-hexafluoropropylene)(FEP), poly(tetrafluoroethylene-co-perfluoro(propyl vinyl ether))(PFA) 등이 있으며 이는 공기 분위기에서 전리 방사선 조사 시 사슬 절단에 의해 분해 반응을 한다.11-14 또한, 주사슬에 탄소와 불소 이외에 수소를 포함하는 부분 불소계 고분자에는 poly(vinylidene fluoride) (PVDF), poly(vinyl fluoride)(PVF), poly(trifluoroethylene) (PTrFE), ethylene-co-tetrafluoroethylene(ETFE) 등이 있다.15 고분자 재료는 공기 분위기에서 전리 방사선 조사 시 가교와 분해 반응이 동시에 진행되는데 부분 불소계 고분자는 주사슬의 C-H 구조에 생성된 라디칼로 인해 가교 반응이 분해 반응보다 우세하여 전리 방사선에 의해 분해 반응을 하는 불소계 고분자에 비해 방사선 내성을 가진다.16,17
본 연구에서는 부분 불소화된 PS를 용액 중합하고 부분 불소화에 따른 방사선 내성을 비교 분석하였다. PS는 앞서 언급한 바와 같이 방향족 구조로 인해 방사선 내성이 우수하다. 그러나 PS에 방사선 조사 시 공기중의 산소와 반응하여 발생하는 하이드록실(hydroxyl) 라디칼의 생성으로 인해 벤젠링이 산화될 수 있으므로 벤젠링에 산화가 되기 어려운 불소 원소를 도입하여 산화를 억제하고 동시에 열적 특성 향상을 기대할 수 있다. 부분 불소화된 PS는 불소화 공정이 없이 부분 불소화된 단량체인 4-fluorostyrene과 2,3,4,5,6-penta- fluorostyrene로부터 각각 poly(4-fluorostyrene)과 poly(penta- fluorostyrene)을 제조하였다. 이에 60Co의 선원을 사용한 감마선을 조사하여 불소의 함량과 감마선 흡수선량에 따른 물성의 변화를 분석하였다.
시약. Styrene monomer(St)와 di-tert-butyl peroxide(DBP)는 Sigma-aldrich(미국)에서 구입하였고 4-fluorostyrene(4FS, >98%)과 2,3,4,5,6-pentafluorostyrene(PFS, >98%)은 Tokyo Chemical Industry Company(일본)에서 구입하였다. Tetra- hydrofuran(THF)과 dichloromethane은 삼전화학(한국)에서 구입하였다. 실험에 사용한 모든 시약은 정제없이 그대로 사용하였다.
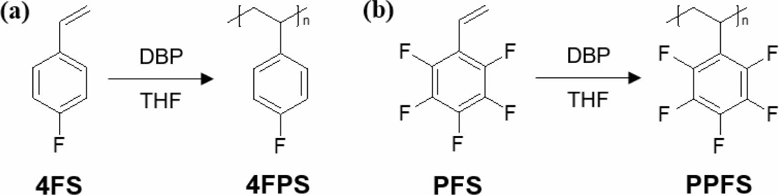
부분 불소화된 PS 제조.Polystyrene(PS), poly(4-fluoro- styrene)(4FPS), poly(pentafluorostyrene)(PPFS)은 Table 1의 조건에 의해 용액 중합(solution polymerization)으로 제조하였고 화학 구조는 Figure 1과 같다. 둥근 플라스크 반응기(100 mL)의 St, 4FS, PFS에 DBP와 THF를 투입하여 상온에서 30분 동안 교반한 후 질소분위기의 반응기에서 100 oC의 온도에서 18시간 동안 반응하였다. 제조한 반응물은 메탄올로 침전을 한 후 dichloromethane으로 정제한 다음 진공 오븐에서 60 oC의 온도에서 24시간 동안 건조하여 분말 상태의 PS, 4FPS, PPFS를 얻었다. PS, 4FPS, PPFS의 중량 평균 분자량(Mw)은 각각 75000, 96000, 112000이었다.
감마선 조사. PS, 4FPS, PPFS의 감마선 조사는 한국원자력연구원 첨단방사선연구소의 고준위 감마선 조사 시설(MDS Nordion, IR 221n wet storage type C-188)에서 60Co의 선원을 사용하여 10 kGy/h의 조사 선량율로 각각 25, 50, 100, 200, 500 kGy의 감마선 흡수선량을 조사하였다.
분석.원소 분석과 화학 결합 구조는 적외선 분광기(FTIR spectrometer, Prestige-21, Shimadzu)와 X-선 광전자 분광기(X-ray photoelectron spectroscopy, XPS, K-alpha+, Thermo- Fisher Scientific)로 분석하였다. 열적 특성의 변화는 열중량 분석기(thermogravimetric analyzer, TGA, SDT Q600, TA)를 사용하여 질소 분위기에서 분당 10 oC로 승온하여 25-600 oC의 온도 범위에서 측정하였다. 유리전이온도(Tg)는 시차주사열량계(differential scanning calorimetry, DSC, SDT Q600, TA)를 사용하여 질소 분위기에서 분당 5 oC로 승온하여 상온에서 200 oC의 온도 범위에서 분석하였다.
|
Figure 1 Solution polymerization and chemical structures of (a) 4FPS; (b) PPFS. |
Figure 2는 PS, 4FPS, PPFS의 화학 결합 구조를 분석한 FTIR 결과이다. PS는 1600, 1492, 1450 cm-1에서 방향족 C=C 결합 구조, 1028과 912 cm-1에서 방향족 C-H 결합 구조를 가지는 것을 확인할 수 있다(Figure 2(a)). 또한, 3082, 3059, 3024 cm-1에서 방향족 C-H 결합 구조, 2922와 2848 cm-1에서 CH2 결합 구조가 관찰된다(Figure 2(b)).18,19 4FPS의 경우 Figure 2(a)에서 알 수 있듯이 1220과 827 cm-1에서 방향족 내 para 위치의 C-F 결합 구조가 나타난 것을 확인하였다.20,21 PPFS는 1652 cm-1에서 방향족 CF=CF 결합 구조, 979 cm-1에서 C-F 결합 구조를 가진다.22 또한, Figure 2(b)에서 4FPS와 PPFS는 PS에 비해 3100-2800 cm-1에서 방향족 C-H 구조와 CH2 결합 구조의 피크 강도가 약한 것을 알 수 있다. 이는 방향족 C-H 결합의 H가 F로 치환되어 생성된 방향족 C-F 결합구조로 인해 피크 강도가 감소한 결과이다. 이와 같이 FTIR 분석 결과를 통해 PS, 4FPS, PPFS가 제조된 것을 확인하였다.
Figure 3은 감마선 흡수선량에 따른 PS, 4FPS, PPFS의 탄소, 산소, 불소의 함량 변화를 XPS survey 스펙트라로 분석하고 정리한 결과이다. Figure 3(a)에서 감마선을 조사하지 않은 PS, 4FPS, PPFS가 가지는 미량의 산소 함량의 경우 공기 분위기에서 XPS 분석을 실시하여 측정된 것으로 판단된다. 감마선 흡수선량에 따른 PS, 4FPS, PPFS의 산소 함량은 감마선 흡수선량이 증가함에 따라 증가하였으며 이는 공기 분위기에서 감마선 조사에 의해 공기 중의 산소와 라디칼이 반응하여 산소를 포함하는 관능기가 형성됨으로 인해 산화 반응이 일어난 것을 의미한다. PS는 25 kGy의 감마선 흡수선량에서 2.96%의 산소 함량을 보여 낮은 흡수선량에서 산화 반응이 비교적 많이 일어난 것을 알 수 있다. 반면에 불소를 포함하는 4FPS, PPFS의 경우 25 kGy의 감마선 흡수선량에서 각각 2.28, 1.78%의 산소 함량을 가지고 있으므로 PS에 비해 산화 반응이 덜 진행된 것으로 사료된다. 500 kGy의 감마선 흡수선량을 조사 후 PS, 4FPS, PPFS의 산소 함량은 각각 8.26, 7.49, 5.78%이었으며 이는 4FPS, PPFS의 구조 내 C-F 결합 구조의 존재로 인해 감마선 조사 시 방사선 내성을 가지므로 PS와 비교해 볼 때 산화 반응이 덜 진행된 것으로 사료된다. 또한, 감마선 흡수선량의 증가에 따른 산소 함량의 변화는 선형성을 가지지 못하며 감마선 조사 시 산화 반응은 초기 감마선 흡수선량에 의해 급격하게 진행된 후 감마선 흡수선량의 증가에 따라 계속 진행되는 것을 확인하였다.23 Figure 3(b)의 감마선 흡수선량에 따른 탄소 함량 분석 결과에서 감마선을 조사하지 않은 PS, 4FPS, PPFS는 각각 99.63, 90.06, 63.34%의 탄소 함량을 가지고 있었다. 감마선 흡수선량이 증가함에 따라 탄소 함량은 감소하여 500 kGy의 감마선 흡수선량 조사 후 PS, 4FPS, PPFS는 각각 91.74, 85.34, 62.65%의 탄소 함량을 가지고 있으며 탄소 함량 감소율은 각각 7.91, 5.24, 1.08%이었다. 또한, Figure 3(c)의 감마선 흡수선량에 따른 불소 함량 분석 결과 4FPS, PPFS는 각각 9.76, 36.09%의 불소 함량을 가지고 있으며 감마선 흡수선량이 증가함에 따라 불소 함량은 감소하여 500 kGy의 감마선 흡수선량 조사 후 4FPS, PPFS의 불소 함량은 각각 7.17, 31.57%로 감소하였다. 이와 같은 불소 함량의 감소는 방사선 조사에 의해 4FPS, PPFS의 탈불소화(defluorination)에 의한 것으로 사료된다.24,25
Figure 4는 감마선 흡수선량에 따른 PS, 4FPS, PPFS의 화학 결합 구조의 변화를 XPS C1s narrow 스펙트라를 deconvolution하여 분석한 결과이다. PS는 C-C 결합 구조(285 eV)의 특성 피크가 관찰된다.26 4FPS의 경우 C-C 결합 구조(285.01 eV)와 부분 불소화에 의해 나타난 방향족 C-C-F 결합 구조(286.8 eV)에 해당하는 특성 피크를 가지는 것을 알 수 있다. PPFS는 C-C 결합 구조(285.01 eV)와 방향족 C-C-F 결합 구조(286.3 eV)와 C-F 결합 구조(288.8 eV)를 의미하는 특성 피크를 가지는 것을 확인하였다.27,28 PS, 4FPS, PPFS는 500 kGy의 감마선 흡수선량 조사에 의해 산화된 결과로 C-O 결합 구조(286.1 eV)가 생성되었다.29 XPS 분석을 이용한 원소 함량과 화학 결합 구조의 변화 분석 결과로부터 감마선 흡수선량이 증가함에 따라 산소의 함량이 증가하였고 C-O 결합 구조가 생성된 것을 확인하였다. 이는 PS, 4FPS, PPFS에 감마선 조사 시 생성된 라디칼과 공기중의 산소가 반응하여 생성된 것이다. 또한, C-F 결합 에너지가 C-H 결합 에너지보다 높으므로 C-F 결합 구조를 많이 가지고 있는 PPFS가 PS, 4FPS에 비해 감마선 조사에 의해 이온화가 되기 어려워 산화 반응이 적게 일어나므로 방사선 내성이 가장 우수한 것으로 판단된다.16
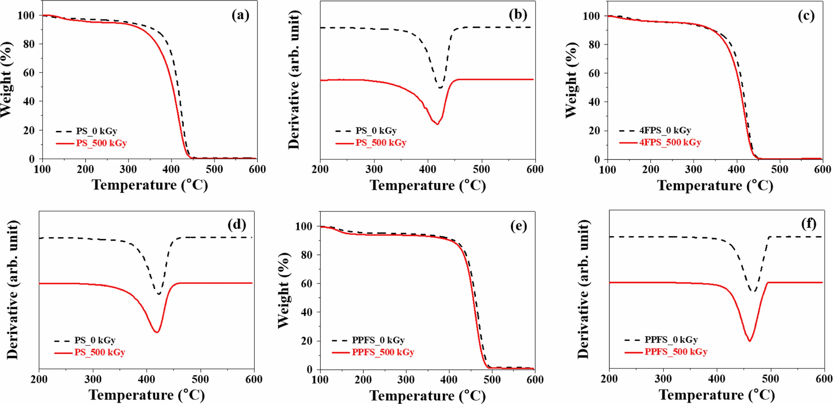
PS, 4FPS, PPFS의 감마선 조사 전과 후 열적 특성을 TGA와 DSC로 분석하여 Figure 5와 Table 2에 나타내었다. Figure 5의 TGA thermogram과 DTG curve에서 알 수 있듯이 감마선 조사 전 PS(PS-0 kGy)와 4FPS(4FPS-0 kGy)는 각각 380-450 oC의 온도 범위에서 열분해가 진행되고 감마선 조사 전 PPFS(PPFS-0 kGy)는 420-500 oC의 온도 범위에서 열분해가 진행되었다. 감마선 조사 전 PS, 4FPS, PPFS의 열분해 시작 온도(onset temperature, Tonset)는 각각 383, 384, 425 oC이었으며 500 kGy의 감마선 흡수선량을 조사 후 PS-500 kGy, 4FPS-500 kGy, PPFS-500 kGy의 열분해 시작 온도는 각각 371, 373, 421 oC로 감소하였다. Table 2에서는 TGA와 DSC 분석 결과로부터 일반적으로 고분자의 열적 특성을 판단하는 기준으로 많이 사용하고 있는 50%의 무게가 감소하는 온도(T50%), 열분해 피크 온도(Td), 유리전이온도(Tg)를 정리하였다.30 감마선 조사 전 PS(PS-0 kGy), 4FPS(4FPS-0 kGy), PPFS(PPFS-0 kGy)의 T50%는 각각 415, 413, 461 oC이었으며 500 kGy의 감마선 흡수선량을 조사 후 각각 402, 407, 456 oC로 감소하였다. Td의 경우 500 kGy의 감마선 흡수선량 조사 후 417 oC(PS-500 kGy), 418 oC(4FPS-500 kGy), 463 oC (PPFS-500 kGy)로 감소하였다. DSC 분석으로 측정한 PS, 4FPS, PPFS의 Tg는 각각 99.8, 105, 106.5 oC이었으며 500 kGy의 감마선 흡수선량을 조사 후 각각 97, 104.2, 106 oC로 감소하였다. 이와 같이 PS에 비해 4FPS와 PPFS의 열안정성 등의 열적 특성이 우수한 것은 4FPS와 PPFS가 불소화된 벤젠링 구조를 가지기 때문이다.31 열적 특성의 변화를 분석한 결과 PS, 4FPS, PPFS는 감마선 조사 후 Tonset, T50%, Td, Tg와 같은 열적 특성이 저하된 것을 알 수 있고 이러한 열적 특성의 저하는 감마선 조사에 의한 산화 반응으로 인해 일부 구조가 분해된 것이 원인이다. 이러한 결과로부터 부분 불소화로 인해 열적 특성이 향상되었고 가장 많은 불소 함량을 가지는 PPFS가 열안정성이 가장 우수하므로 방사선 내성이 가장 우수한 것으로 사료된다.
|
Figure 2 FTIR spectra of PS, 4PFS, and PPFS. |
|
Figure 3 Changes in elemental composition of (a) oxygen; (b) carbon; (c) fluorine content in PS, 4PFS, and PPFS as a function of absorbed dose. |
|
Figure 4 XPS C1s spectra of (a) PS_0 kGy; (b) PS_500 kGy; (c) 4FPS_0 kGy; (d) 4FPS_500 kGy; (e) PPFS_0 kGy; (f) PPFS_500 kGy. |
|
Figure 5 TGA thermograms of (a) PS; (c) 4FPS; (e) PPFS; DTG curves of (b) PS; (d) 4FPS; (f) PPFS before and after gamma-ray irradiation. |
|
Table 2 Summary in Thermal Properties of of PS, 4FPS, and PPFS Before and After Gamma-ray Irradiation |
본 연구에서는 방향족 구조 내 불소가 각각 1개, 5개가 치환된 스티렌 단량체로부터 부분 불소화된 폴리스티렌을 합성하였다. 이에 감마선 선원을 이용하여 여러가지 흡수선량을 조사하고 감마선 흡수선량에 따른 원소 함량, 화학 결합 구조, 열적 특성의 변화를 분석하였다. 원소 함량과 화학 결합 구조 분석 결과 5개의 불소가 치환된 폴리스티렌은 산화 반응이 가장 덜 진행이 되었고 열적 특성 또한 가장 우수하므로 방사선 내성이 가장 우수한 것을 확인하였다. 이러한 결과를 통해 부분 불소화된 폴리스티렌을 방사선 내성 소재로 실제 응용하기 위한 연구가 필요하다.
This Article2022; 46(5): 621-626
Published online Sep 25, 2022
Services
Correspondence toAdvanced Radiation Technology Institute, Korea Atomic Energy Research Institute, 29 Geumgu-gil, Jeongeup, Jeollabuk-do 56212, Korea