
Department of Chemical Engineering, Dankook University, 152 Jukjeon-ro, Yongin-si, Gyeonggi 16890, Korea
단국대학교 화학공학과
Reproduction, stored in a retrieval system, or transmitted in any form of any part of this publication is permitted only by written permission from the Polymer Society of Korea.
Blends of polylactic acid (PLA)/poly(butylene adipate-co-terephthalate) (PBAT) (80/20) blend and their composites with multiwalled carbon nanotube (MWNT) were prepared using a batch mixer. In the melt-mixing process, benzoyl peroxide (BPO), azobisisobutyronitrile (AIBN), and dicumyl peroxide (DCP) were introduced as radical initiators to achieve reactive compatibilization by coupling reactions of the components. The phase structure and rheological properties of the blends and composites were investigated. It was found that the size of the PBAT dispersed phase was reduced, and the melt viscosity increased in the PLA/PBAT/initiator blend by the intended reactions of the initiators. The dispersion state of PBAT and the distribution of MWNTs between PLA and PBAT were sensitively changed by the interactions between the component polymers and MWNTs, which depended on the characteristics of the initiators and mixing protocols. Changes in the microstructure of the composites were explained in relation to the modified Cole-Cole plots.
배치믹서를 이용하여 polylactic acid(PLA)/poly(butylene adipate-co-terephthalate)(PBAT)(80/20) 블렌드와 multiwalled carbon nanotube(MWNT)와의 복합체를 제조하였다. 용융 혼련의 과정에서 라디칼 결합반응에 의한 반응성 상용화를 달성하기 위하여 라디칼 개시제로서 benzoyl peroxide(BPO), azobisisobutyronitrile(AIBN), 그리고 dicumyl peroxide(DCP)를 도입하였다. 개시제의 종류와 혼련 조건의 변화를 통하여 형성된 블렌드와 복합체들의 상구조와 유변 물성을 조사하였다. 사용된 개시제들에 의하여 유도된 라디칼 반응에 의하여 PLA/PBAT블렌드의 분산상의 크기는 감소하였고, 용융 점도는 증가하였다. 개시제들의 특성에 따라 달라지는 성분 고분자와 MWNT의 상호작용에 의하여 PLA연속상에서 PBAT와 MWNT의 분산 상태와 배치는 민감하게 변화하였다. 복합체들의 미세구조 변화는 modified Cole-Cole plot과 연관 지어 설명하였다.
Free radical initiators were introduced in the melt-mixing of polylactic acid (PLA), poly (butylene adipate-co-terephthalate) (PBAT), and multi-walled carbon nanotube (MWNT). In PLA/PBAT/MWNT composite, MWNTs were preferentially located in the PBAT phase. When radical initiators were present, the nanotubes were also found in the PLA phase, because of the coupling reaction between PLA and MWNT.

Keywords: polylactic acid, poly(butylene adipate-co-terephthalate), rheological property, microstructure, reactive compatilization.
이 논문은 2019년도 정부(교육과학기술부)의 재원으로 한국연구재단의 지원을 받아 수행된 기초연구사업임(NRF-2019R1I1A2A01051610). 이 연구는 화학공학과가 2022학년도 대학혁신지원사업에 의한 단국대학교 연구중심학과 및 학제간 융합연구팀 지원사업의 지원을 받았음.
저자들은 이해상충이 없음을 선언합니다.
Poly(lactic acid)(PLA)는 대표적인 생분해성 고분자로 선형 지방족 열가소성 폴리에스터이다. 생산량의 70% 이상이 포장재로 쓰이며, polystyrene(PS) 및 poly(ethylene terephthalate) (PET)와 유사한 강도 및 투명성을 가지고 있어 바이오 플라스틱 시장에서 많은 관심을 받고 있다. 기존에는 주로 고가의 중합 및 정제기술로 인한 높은 가격 때문에 생의학 분야에서 주로 사용되어 왔으나, 제조원가 절감을 위한 다양한 노력 끝에 옥수수를 발효하여 제조하는 방법이 개발되면서 일회용품 등으로 활용하기 위한 연구가 지속되고 있다.1 하지만 PLA는 높은 인장강도 및 용이한 가공성 등의 좋은 물리적 특성에도 불구하고 매우 낮은 연신률로 인해 포장산업에 적용하기에 한계가 있다. 이러한 PLA의 문제점을 개선하기 위해 공중합, 가소제 첨가 및 기타 중합체와 블렌딩 등의 다양한 방법들이 연구되어 왔다. 주로 poly(butyl acrylate)(PBA), poly(butylene succinate-co-butylene adipate)(PBSA), poly- (butylene succinate)(PBS) 및 poly(butylene adipate-co-tere- phthalate)(PBAT)와 같은 유연한 재료와의 블렌딩을 통해 PLA의 기계적 물성을 향상시킨 연구가 보고되었다.2-6
PLA/PBAT 블렌드의 제조는 PLA의 취성을 보완하고 가공성을 향상시키는 유용한 방법으로 잘 알려져 있다.7-13 PBAT의 유연성은 PLA의 취약한 충격강도를 향상시킬 수 있지만 두 성분 간의 상용성이 부족하여 성능향상이 제한적으로 이루어지게 된다. 이러한 문제점을 극복하기 위하여 PLA/PBAT 블렌드의 상용성을 개선하는 요구가 활발하게 이루어져 왔다. 효과적인 상용화제로는 PLA와 PBAT로 이루어진 블록 공중합체14 또는 에폭시기가 존재하는 아크릴계 공중합체가 있으며,15-17 라디칼 중합의 개시제로 사용되는 유기과산화물도(dicumyl peroxide(DCP) 또는 2,5-bis(tert-butylperoxy)-2,5-dimethylhexane) PLA/PBAT 블렌드의 상용성을 개선하는 것으로 보고되었다.18,19 라디칼 개시제는 블록 공중합체 또는 반응성 단량체를 함유하는 상용화제에 비하여 비교적 가격이 저렴하고 상대적으로 적은 투입량으로도 상용화 효과를 달성할 수 있는 장점이 있다. 본 연구에서는 PLA/PBAT 블렌드의 반응성 상용화를 달성하기 위하여 benzoyl peroxide(BPO), azobisisobutyronitrile(AIBN), 그리고 dicumyl peroxide(DCP)를 사용하였다. 이전의 연구에서 사용된 개시제들에 비하여 BPO와 AIBN의 생존 시간은 매우 짧고 생성된 라디칼의 안정성이 다른 점을 반영하여 각 개시제의 상용화 효과를 비교해 보고자 하였다. 이에 추가로, PLA/PBAT 블렌드의 복합체를 형성하기 위하여 multiwalled carbon nanotube(MWNT)를 도입하였다. MWNT의 표면은 컨쥬게이션 구조의 파이전자로 이루어져 있기 때문에 사용된 개시제들과의 라디칼 반응이 가능하고 성분 고분자들과의 상호작용에 의하여 다양한 미세구조가 블렌드 복합체 내부에서 형성될 것으로 기대되었다.
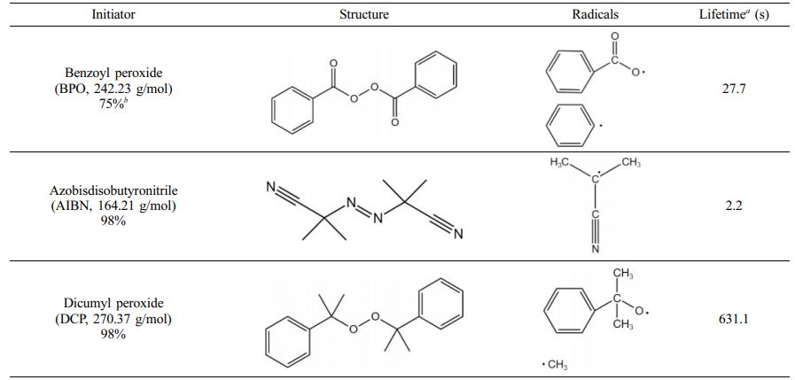
시약 및 재료. 본 연구에 사용된 PLA는 NatureWorks사(미국)의 Ingeo 4032D(Mn=107296 g/mol, Mw=183177 g/mol)를 사용하였다. PBAT는 롯데정밀화학(대한민국)의 EnPol PBG7070(Mn=45000-50000 g/mol, Mw=180000-200000 g/mol)을 사용하였다. BPO와 AIBN은 삼전순약공업(대한민국)의 제품이었으며, DCP는 Sigma-Aldrich(미국)의 제품을 사용하였다. 라디칼 개시제들의 구조, 그리고 생존 시간에 대한 정보를 Table 1에 요약하였다. MWNT(직경=5-15 nm, 길이=40-70 mm)는 LG화학(대한민국)의 제품을 사용하였다.
용융 혼련. 용융 혼련은 Internal Mixer(MKE RheoComp® System, 대한민국)를 이용하여 진행하였다. 가공 온도 180 oC에서 로터의 회전수는 60 RPM, 그리고 혼련 시간은 10분으로 설정하였다. 고분자 수지의 총량은 45 g이였으며 PLA/PBAT의 조성은 80/20으로 고정하였다. 개시제와 MWNT는 각각 0.5 wt%를 투입하였다. 믹서에 투입하기에 앞서 수지들을 진공건조기를 이용하여 40 oC에서 24시간 동안 건조하였다. 대부분의 경우에 고분자와 첨가제들을 동시에 투입하였으나, 성분들 간의 선택적인 상호작용을 유도하기 위하여 PLA/개시제/MWNT를 먼저 5분간 혼련하고 PBAT를 별도로 투입하여 추가로 5분간 혼련하여 복합체를 제조하였다.
분석 및 측정.유변 물성은 plate-plate 유형의 회전형 레오미터(Anton Parr, MCR500, 오스트리아)를 이용하여 180 oC에서 측정하였다. 측정에 필요한 시편은 압축성형기를 이용하여 180 oC에서 13.5ton의 압력을 가하여 직경 25 mm, 두께 2 mm의 디스크 형태로 제조하였다. 저장탄성률(G'), 손실탄성률(G'') 및 복소점도(|η*|)를 측정하기 위해 선형 점탄성 구간(변형률 1%)에서 0.1-100 rad/s의 범위에 대하여 동적 주파수 스윕 시험을 진행하였다. PLA/PBAT 블렌드에서 PBAT의 분산 상태를 분석하기 위하여 전계방사 주사전자현미경(FE-SEM, Hitachi S-4700, 일본)을 사용하였다. 현미경 관찰에 적용되는 시료는 액체질소에서 파단 후 표면을 백금으로 코팅하였다. SEM 이미지로부터 분산상의 부피 평균 반지름(Rv)을 측정하기 위하여 ImageJ(National Institute of Health, 미국) 소프트웨어를 활용하였다. PLA/PBAT/MWNT 복합체의 상구조는 저온 토밍을 통하여 박편을 준비하여 전계방사 투과전자현미경(FE-TEM, Jeol JEM2100F, 일본)에서 관찰하였다.
|
Table 1 Characteristics of Radical Initiators Used in This Study |
a Lifetime at 180 oC calculated using decomposition parameters (Ea and A) measured in benzene.20 Lifetime(s)=-ln(ratio of residual peroxide to initial peroxide)/Aexp(-Ea/RT), where the ratio of residual peroxide to initial peroxide=0.01, R=8.31 J/mol K, T=453 K. b Moisture content 25%. |
블렌드를 구성하는 고분자인 PLA와 PBAT의 용융 점도와 저장탄성률이 개시제에 의하여 어떻게 변화하는지를 Figures 1과 2에 나타내었다. 용융 가공이 순수한 PLA와 PBAT의 변성을 야기할 수 있으므로 각각 60 RPM에서 10분간 가공한 후 유변 물성을 측정하여 비교하였다. PBAT의 용융 가공은 수지의 용융온도(110-115 oC)를 감안하여 130 oC에서 진행하였다. PLA의 경우에는 개시제의 종류에 따라 상반된 결과를 나타내었는데, BPO와 AIBN에 의하여 용융 점도와 저장탄성률이 감소되는 반면 DCP에 의하여 저장탄성률과 용융 점도가 증가하고 전단 박화가 심화되는 결과를 보였다.
개시제와의 용융 혼련 후에 고분자의 용융 점도가 감소되는 현상은 고분자 사슬에 생성된 라디칼에 의한 사슬 끊어짐과 관련이 있으며, 용융 점도가 증가되는 현상은 개시제에서 분해된 라디칼들이 고분자에서 수소를 탈취하고 이어서 생성되는 고분자 라디칼들의 결합에 의하여 형성되는 부분적인 가교와 관련이 있다(Figure 3 참조).
PLA 수지는 사용되는 개시제의 농도에 따라서 고분자의 분해 또는 가교가 발생하기도 하지만18 주어진 함량에서(개시제의 분자량을 고려한 몰농도는 AIBN이 가장 높음) 다른 개시제에 비하여 DCP의 경우에 가교가 더 잘 진행되는 이유는 DCP의 우수한 수소 탈취 능력에 기인하는 것으로 설명될 수 있다. DCP가 분해되어 생성되는 라디칼의 구조에서는(Table 1) 공명구조가 결여되어(라디칼 주변에 공명이 가능한 파이 전자가 없음) BPO 또는 AIBN으로부터 생성된 라디칼에 비하여 안정성이 부족하기 때문에 수소 탈취가 활발하게 이루어질 수 있다.22,23 한편, PBAT의 경우에는 개시제에 의하여 용융 점도와 저장 탄성률이 감소되지 않았으며 세 가지 개시제 중에서 DCP로 인한 상승폭이 가장 크게 나타났다. 이러한 경향은 PBAT 분자의 수소 탈취가 PLA보다 용이하게 이루어지기 때문인 것으로 판단된다. 왜냐하면, PBAT의 반복 단위에 adipic acid의 carbonyl 기의 알파위치에 존재하는 methylene 수소는 다른 수소들보다 제거가 용이한 반면에 PLA에서는 methyl 또는 methyne 수소만 존재하기 때문에 수소 탈취반응이 다소 제한적으로 이루어질 수 있기 때문이다.17,18
Figure 4에 개시제와 혼련된 PLA/PBAT 블렌드의 형태학을 나타내었다. 세 가지 개시제에서 모두 PBAT 분산상의 크기가 뚜렷하게 감소된 것을 확인할 수 있으며 AIBN과 DCP는 유사한 수준의 크기 감소를 보였다. 개시제에 의한 PLA/PBAT 블렌드의 상용화 효과는 용융 혼련 중에 생성된 PLA와 PBAT 라디칼들이 결합되어 형성된 공중합체에 의하여 PLA-PBAT의 계면이 안정화되어 나타난 결과로 판단된다.18,19 Table 1에서 볼 수 있듯이 AIBN의 생존시간은 수 초 정도로서 다른 개시제에 비하여 매우 짧다. 물론 속도상수 계산에 사용된 충돌빈도(A)와 활성화에너지(Ea) 값은 벤젠 용액에서 측정된 값이고 결정성 고체(녹는점: 103 oC-105 oC) 상태의AIBN이 고분자 수지안에서 용융 혼련되는 상태와는 차이가 있겠지만, 생존 시간이 짧은 개시제도 PLA와 PBAT 수지의 점도 조절과 PLA/PBAT 블렌드의 상용성 개선에 활용될 수 있음을 알 수 있다. Figure 5에 개시제와 혼련된 PLA/PBAT 블렌드의 용융 점도와 G' 데이터를 제시하였다. PLA/PBAT 블렌드의 용융 점도와 G'값은 개시제와 용융 혼련 후에 증가하였으며 그 증가 정도는 DCP의 경우가 가장 크게 나타났다. Figure 1에서 나타난 바와 같이 순수한 PLA의 경우는 BPO와 AIBN에 의하여 용융 점도가 감소되었지만 블렌드의 용융 점도가 증가되는 이유는 라디칼에 의하여 가교된 PBAT의 영향도 있을 수 있지만 앞서 언급된 PLA와 PBAT의 라디칼 결합반응에 기인하는 것으로 생각된다. 블렌딩 과정에서 라디칼 반응에 의하여 발생할 수 있는 구조적인 변화를 분별하기 위하여 동적 유변물성 데이터로부터 얻어진 modified Cole-Cole plot(G' vs. G'')을 Figure 6에 나타내었다. BPO와 AIBN이 도입된 블렌드의 데이터는 개시제가 사용되지 않은 PLA/PBAT와 동일한 경향을 보였으나, DCP에 의하여 개질된 블렌드는 동일한 G''값에 대하여 다른 블렌드들 보다 G'값이 높게 나타났다.
잘 알려진 바와 같이 진동모드에서 측정된 유변 물성은 주어진 고분자의 형태학과 분자 구조에 따라 민감하게 달라지게 되는데, 특히 modified Cole-Cole plot은 블록 공중합체와 고분자 블렌드의 미세구조 분석에 활용될 수 있고, 고분자의 분지구조 형성 및 분자량 분포 변화를 확인할 수 있는 유용한 방법을 제공한다.24-26 예를 들어, 순수한 고분자에서 장쇄 분지 또는 젤 형성에 의하여 고분자의 구조가 변환되면 분자량 분포가 넓어지고 분자량이 증가하는 효과로 동일한 G'' 값에 대한 G'값이 증가한다.26 따라서 Figure 5에 나타난 결과는 PLA와 PBAT의 용융 혼련 도중에 DCP에 의하여 유도되는 고분자의 구조변화와 관련이 있는 것으로 판단된다. 개시제의 도입으로 PLA-PBAT의 라디칼 결합으로 인하여 공중합체가 형성되어 상용성이 개선되었는데, DCP의 경우에는 그 과정에서 그라프트 또는 가교에 의한 분자 구조의 변환이 이루어져 다른 블렌드에 비하여 G' 값이 가장 높게 나타난 것으로 해석된다. BPO와 AIBN에 비하여 수소 탈취 능력이 우수하고 생존 시간이 긴 DCP는 용융 혼련이 진행되는 동안 대부분의 과정에 관여할 수 있으며 아직 반응하지 않았거나 이미 반응하여 구조가 변형된 고분자들의 가교 또는 그라프트 반응을 추가적으로 유도할 수 있다.
PLA/PBAT/MWNT 복합체에 라디칼 개시제가 투입되었을 경우에 나타나는 상구조와 PBAT상의 Rv 변화를 Figures 7-10에 나타내었다. 개시제의 유무와 종류에 따라 PBAT 분산상의 형태와 MWNT의 위치가 변화하였는데, 개시제를 포함하지 않은 복합체에서 MWNT는 PBAT상에 선택적으로 존재하였다. 이는 PBAT의 반복단위에 방향족 고리가 존재하여 탄소나노튜브와의 친화성이 PLA보다 우수하여 나타난 결과로 이해할 수 있다. MWNT는 방향족 화합물들과 우호적인 상호작용을 하는 것으로 잘 알려져 있으며,27,28 Figure 6과 유사한 결과는 다른 연구들 에서도 확인할 수 있다.29,30 BPO와 AIBN의 경우에 개시제를 포함하지 않은 복합체에 비하여 PBAT 분산상의 모양이 구형에서 벗어나 크기가 증가한 실린더 형태를 보였고 MWNT는 PBAT상의 내부에 존재하였다. Figure 8,9
이와는 대조적으로, DCP의 경우에는 부분적으로 구형에서 벗어난 불규칙한 모양의 PBAT상이 존재하였으나 전체적으로 분산상의 크기가 현저하게 감소하고, MWNT는 대부분 PBAT상에 존재하지만 일부 입자들은 PLA상에도 존재함을 확인하였다.
이러한 차이는 개시제의 종류에 따라 고분자 수지 및 MWNT와의 상호작용이 달라져서 나타나는 결과이다. 이에 대한 상세한 원인과 메커니즘에 대하여는 추가 연구가 필요하겠으나, 본 연구에서 사용된 개시제들에 대한 각 수지의 개질 특성(Figure 1)과 MWNT와의 혼련 과정을 고려하여 다음과 같은 해석이 가능하다. PLA와 PBAT의 용융온도보다 높은 온도로 설정된 믹서에 고분자들이 투입되면 PBAT의 용융온도(110-115 oC)가 PLA(170-180 oC)보다 낮기 때문에 PBAT가 먼저 용융상태에 도달하게 되며 MWNT는 주로 PBAT상에 내재된다. 시간이 경과하여 PLA 수지가 용융 상태가 되어도 MWNT는 PBAT와의 친화도가 높으므로 PLA상으로는 이동하지 않을 것이며, 이 상태에서 PBAT/MWNT (PBAT와 MWNT로 이루어진 복합 도메인을 의미함)의 분산(dispersion)이 진행된다고 볼 수 있다. 믹서 내부에서 분산에 필요한 응력은 로터의 회전에 따라 발생하는 전단 변형이 연속상을 통하여 전달되므로 효과적인 분산성 달성을 위하여 연속상의 점도가 중요한 역할을 하게 된다. Figure 1에서 보인 바와 같이 PLA는 BPO와 AIBN에 의하여 분해되는 반면 DCP에 의하여 부분적으로 가교되는 경향을 나타내므로 동일한 로터 회전수에 대하여 전단응력의 차이가 발생한다. 즉, BPO와 AIBN의 경우는 PLA 연속상의 점도가 낮아져서 PBAT/MWNT의 분산이 DCP의 경우보다 어려워지게 된다. 추가로 PBAT는 세 가지 개시제에 의하여 점도가 증가할 뿐만 아니라 MWNT와의 라디칼 결합 반응이 가능함을 고려한다면 연속상의 점도 감소는 복합 도메인의 효율적인 분산 혼련을 더욱 제한하게 된다. 한편 MWNT의 위치는 개시제들의 생존시간 차이에 기인한 결과로 해석해 볼 수 있다. Table 1에 요약된 바와 같이 BPO와 AIBN의 생존시간은 상대적으로 짧기 때문에 혼련 초기(1분 이내)에 대부분의 라디칼이 생성된 후 소진된다. 이와는 대조적으로 DCP는 생존 시간이 길기 때문에 혼련 과정 전반에 걸쳐서 점진적으로 라디칼을 생성할 수 있다. 따라서 혼련 초기에 PBAT/MWNT상의 급격한 점도 상승을 방지할 수 있고 상대적으로 우세한 분산 능력이 부여될 수 있기 때문에 PLA와 MWNT의 결합이 가능하여 MWNT가 PLA상에도 존재할 수 있을 것으로 판단된다.
Figure 11은 PLA/개시제/MWNT를 먼저 혼련하고 PBAT를 나중에 투입하여 제조한 복합체(PLA/개시제/MWNT+PBAT로 표기)의 상구조 분석에 대한 결과이다. 모든 성분을 동시 투입하여 제조한 복합체와 비교했을 때 가장 주목할 만한 차이점은 MWNT의 배치(distribution)이다. 사용한 개시제에 따라서 정도의 차이는 있지만(BPO
|
Figure 1 Effect of radical initiators (0.5 wt%) on the complex viscosity and storage modulus of PLA at 180 oC (Pure PLA was melt processed at 180 oC and 60 RPM for 10 min prior to the measurement of rheological property). |
|
Figure 2 Effect of radical initiators (0.5 wt%) on the complex viscosity and storage modulus of PBAT at 180 oC (Pure PBAT were melt processed at 130 oC and 60 RPM for 10 min prior to the measurement of rheological property). |
|
Figure 3 Proposed reaction mechanism for the degradation and crosslinking of PLA.21 |
|
Figure 4 SEM images of (a) PLA/PBAT (Rv=3.6±0.5 μm); (b) PLA/PBAT/BPO (Rv=1.8±0.1 μm); (c) PLA/PBAT/AIBN (Rv= 1.0±0.4 μm); (d) PLA/PBAT/DCP (Rv=1.0±0.4 μm). |
|
Figure 5 Effect of radical initiators on the (a) complex viscosity; (b) storage modulus of PLA/PBAT blends. |
|
Figure 6 Modified Cole-Cole plot of PLA/PBAT/initiator blends |
|
Figure 7 TEM images of PLA/PBAT/MWNT (Rv=2.2±0.1 μm). |
|
Figure 8 TEM images of PLA/PBAT/BPO/MWNT (Rv=4.0±0.7 μm). |
|
Figure 9 TEM images of PLA/PBAT/AIBN/MWNT(Rv=2.3±0.1 μm). |
|
Figure 10 TEM images of PLA/PBAT/DCP/MWNT(Rv=1.0±0.4 μm). |
|
Figure 11 TEM images of PLA/Initiator/MWNT+PBAT: (a) BPO; (b) AIBN; (c) DCP. |
|
Figure 12 Effect of radical initiators on the storage moduli of (a) PLA/PBAT/Initiator/MWNT composites; (b) PLA/Initiator/MWNT +PBAT. |
|
Figure 13 Modified Cole-Cole plot for (a) PLA/PBAT/Initiator/ MWNT; (b) PLA/Initiator/MWNT+PBAT. |
PLA/PBAT와 PLA/PBAT/MWNT의 용융 혼련 과정에 BPO, AIBN, 그리고 DCP 세 종류의 라디칼 개시제를 투입하여 제조된 블렌드와 복합체의 미세구조와 유변 물성을 조사하였다. 사용된 개시제들은 PBAT 분산상의 크기 감소에는 차이는 있었지만 PLA/PBAT 블렌드의 상용화제로 작용하였고, PLA와 PBAT의 결합반응에 의하여 PLA/PBAT 블렌드의 점도는 증가하였다. 주어진 가공 온도에서 생존 시간이 가장 길고 수소 탈취 능력이 우수한 DCP로 개질된 블렌드의 용융 점도가 가장 높았으며 전단 박화의 경향도 가장 강하게 나타났다. MWNT를 포함하는 복합체는 개시제의 종류와 혼련 방법에 따라 MWNT의 배치와 상구조가 민감하게 달라졌다. 모든 성분을 동시에 투입하여 혼련한 복합체에서는 PBAT상에 선택적으로 존재하는 MWNT가 DCP의 작용에 의하여 PLA상에도 존재하였다. PBAT를 분리하여 투입한 복합체에서는 먼저 혼련되는 PLA와 MWNT의 라디칼 결합에 의하여 MWNT가 PLA상에 남아있을 수 있었고, 그 경향은 BPO
This Article2022; 46(5): 701-708
Published online Sep 25, 2022
Services
Correspondence toDepartment of Chemical Engineering, Dankook University, 152 Jukjeon-ro, Yongin-si, Gyeonggi 16890, Korea