
Hyo Jin Park, Hae In Shin, Da Jeong Chae, Ji Hyeon Yeo, Ji Eun Gwon, Jun Young Kwon, and Seung Woo Lee† 
School of Chemical Engineering, Yeungnam University, 280 Daehak-ro, Gyeongsan, Gyeongbuk 38541, Korea
영남대학교 화학공학부
Reproduction, stored in a retrieval system, or transmitted in any form of any part of this publication is permitted only by written permission from the Polymer Society of Korea.
Negative typed photo-sensitive poly(amic ester) copolymers having methacryloyl groups as a side chain were synthesized using pyromellitic dianhydride (PMDA), 4,4’-oxydianiline (ODA) and 2,2-bis(3-amino-4-hydroxyphenyl)hexafluoropropane (Bis-APAF). The poly(amic ester) copolymers converted polyimides by thermal imidization process, and the polyimides have good thermal stability. The photo-lithographic properties of the formulation containing poly(amic ester) copolymers, photo-initiator, and cross-linker were investigated with the point of composition of feeding ratio of ODA and Bis-APAF in the synthesized poly(amic ester) copolymers.
광반응기로 메타아크릴로일 그룹인 hydroxyethyl methacrylate(HEMA)를 곁사슬로 가지며 알칼린 수용액에 현상이 가능한 네거티브 광감성 폴리(아믹 에스테르) 공중합체를 pyromellitic dianhydride(PMDA), 4,4’-oxydianiline (ODA)와 2,2-bis(3-amino-4-hydroxyphenyl)hexafluoropropane(Bis-APAF)를 기반으로 합성하였다. 합성된 광감성 폴리(아믹 에스테르) 공중합체는 열적 이미드화 방법에 의하여 폴리이미드로 전환되며, 높은 열안정성을 가짐을 확인하였다. 광감성 폴리(아믹 에스테르) 공중합체, 광개시제 및 가교제 등의 광감성 조성물의 광 형상화 연구에서 고분자 합성에 투입된 ODA와 Bis-APAF의 조성에 따라 자외선 노광에 따른 현상 속도 및 형상화에 차이를 보임을 확인하였다. 전자주사현미경을 이용하여 알칼리 수용액에서의 현상 및 열적 이미드화 후의 표면을 분석하였으며, 광감성 폴리(아믹 에스테르) 공중합체 합성 시 투입된 ODA와 Bis-APAF의 조성에 따른 특성을 분석하였다.
Negative typed photo-sensitive poly(amic ester) copolymers having methacryloyl groups as a side chain were synthesized using pyromellitic dianhydride (PMDA), 4,4'-oxydianiline (ODA), and 2,2-bis(3-amino-4-hydroxyphenyl)hexafluoropropane (Bis-APAF). The poly(amic ester) copolymers converted polyimides by thermal imidization process, and the polyimides have good thermal stability. The photo-lithographic properties of the formulation containing poly(amic ester) copolymers, photo-initiator and cross-linker was investigated with the point of composition of feeding ratio of ODA and Bis-APAF in the synthesized poly(amic ester) copolymers.

Keywords: photo-sensitive poly(amic ester) copolymers, photo-sensitive polyimide, thermal imidization, photoresist, photo patterning.
본 연구는 2019년도 영남대학교 학술연구조성비의 지원과 2020년도 산업통상자원부의 재원으로 한국에너지기술평가원(KETEP)의 에너지인력양성사업(No. 202040 10600100)으로 지원받아 수행한 인력양성 성과입니다.
저자들은 이해상충이 없음을 선언합니다.
미래 반도체 산업에서의 핵심은 5G 및 6G 통신, 첨단 메모리, AI, 빅데이터 등에 사용할 수 있는 고집적화이며, 이를 위하여 반도체 패키징 분야에서는 소형화 및 경량화, 대용량화 기술을 위하여 반도체 재료 개발을 하고 있다.1-3 특히, 최근의 반도체 패키징 칩을 웨이퍼에 직접 실장하여 제조원가를 낮추고 방열이 우수하며, 소형화 및 경량화가 가능한 fan-out wafer-level packaging(FOWLP) 기술을 적용하여 나가고 있다. FOWLP 기술에서 재분배층(redistribution layer)은 광 형상화(photo-patterning)가 가능한 고내열성의 고분자가 요구되고 있다.2 고내열성 고분자의 대표적인 예에는 폴리이미드(polyimide), 폴리벤족사졸(polybenzoxazole), 그리고 폴리벤지이미다졸(polybenzimidazole) 등의 고분자가 있으며, 이 중 폴리이미드는 강직한 방향족 주사슬을 기본으로 하는 고분자 물질로 이미드 고리의 화학적 안정성을 기초로 하여 우수한 기계적 강도, 내화학성, 내후성, 내열성을 가진다. 뿐만 아니라 절연 특성, 낮은 유전율과 같은 뛰어난 전기적 특성으로 미소 전자(microelectronics) 분야에서 고기능성고분자 재료로 각광받고 있다.4 최근 들어 광 형상화가 가능한 감광성 폴리이미드(photo-sensitive polyimide, PSPI)는 폴리이미드의 우수한 성질을 유지하면서 반도체 공정에서 반드시 필요한 감광제(photoresists)를 필요로 하지 않는 이유로 복잡한 공정을 피할 수 있어서 반도체의 절연층(insulating layer) 또는 보호층(protection layer)으로 많은 연구가 진행되고 있다.5-7 일반적으로 PSPI는 포지티브 형태와 네거티브 형태로 개발되고 있는데, 포지티브 PSPI는 높은 해상도를 얻을 수 있는 장점이 있으며 네거티브 PSPI는 소자 적층 시 내열성과 높은 절연 특성을 가지는 장점이 있다. 이중 네거티브 PSPI는 자외선 노광에 따라 경화반응이 일어나서 용해도를 떨어지게 하는 방식으로, 폴리이미드에 광 경화반응이 가능한 아크릴로일 그룹을 도입하여 합성하고 있다. 대표적인 네거티브 PSPI는 메타아크릴로일 그룹을 곁사슬로 갖는 폴리(아믹 에스테르)의 형태로 합성하고, 이를 300 oC 이상의 고온으로 열경화하여 폴리이미드로 전환시키는 방법이 대표적이다.8,9 이러한 방식의 네거티브 PSPI는 자와선을 노광 받은 부분은 광 경화에 의하여 불용성(insoluble)을 가지며, 자외선에 노광되지 않은 부분의 현상을 위하여 N-methyl-2-pyrrolidone(NMP), N,N-dimethylacetamide(DMAc), cyclohexanone과 같은 유기 용매를 사용하여야 한다. 이러한 유기 용매를 이용한 반도체 공정에서의 현상 방법은 작업환경의 안정성 문제와 환경오염 등의 문제를 야기하므로, 이를 해결하기 위하여 일반적으로 사용되는 2.38 wt% TMAH 알칼리 용액에서 현상을 수행할 수 있는 네거티브 PSPI의 연구가 진행되고 있다.10 이를 해결하기 위하여 본 연구에서는 우수한 열 및 기계적 특성을 유지하면서 알칼리 용액에 현상을 할 수 있는 네거티브 PSPI를 합성하여 광 형상화 연구를 수행하였다. 높은 기계적 특성 및 열적 특성을 부여하기 위하여 폴리이미드의 주사슬에 PMDA와 ODA를 포함하고, 2.38 wt% TMAH 알칼리 용액에서 현상성을 확보하기 위하여 페놀릭 –OH를 갖는 Bis-APAF가 포함된 고분자를 합성하였으며, 광반응성을 갖는 메타아크릴로일 그룹을 곁사슬로 도입하여 폴리(아믹 에스테르) 공중합체를 합성하였다.
재료. 디안하이드라이드인 pyromellitic dianhydride(PMDA)과 디아민인 4,4’-oxydianiline(ODA), 2,2-bis(3-amino-4-hydr- oxyphenyl)hexafluoropropane(Bis-APAF)는 TCI(일본)에서 구매하여 100 oC에서 24시간 건조하여 사용하였다. N-Methyl-2-pyrrolidone(NMP), N,N-dimethylacetamide(DMAc), methanol, phenylphosphonic dichloride(PPD), pyridine(Py), oentaery- thritoltetraacrylate(PATTA), 2-hydroxyethyl methacrylate (HEMA)는 Aldrich(미국)에서 구매하여 정제없이 사용하였다. Michler’s ketone(MK), tribromomethyl phenyl sulfone(TBPS), tetramethylammonium hydroxide(TMAH)는 ㈜영창케미칼(한국)에서 기부 받아 정제없이 사용하였다.
감광성 폴리(아믹 에스테르) 공중합체의 합성. 2종의감광성 폴리(아믹 에스테르) 공중합체는 기존에 잘 알려진 두 단계 합성 방법으로 진행하였다. 첫 번째로 광반응기를 갖는 디에시드 화합물인 PMDA-HEMA는 PMDA와 HEMA의 반응으로 합성하였다. PMDA 12.0 g(55.0 mmol)를 100 mL의 NMP에 녹인 후 15.8 g(121.0 mmol)의 HEMA를 천천히 첨가하고, 추가적으로 50 mL의 NMP에 희석된 Py 10.4 g(132.0 mmol)을 서서히 첨가한 후 12시간을 60 oC에서 반응하였다.7,11 합성된 PMDA-HEMA는 폴리(아믹 에스테르)를 합성하는데 사용되었다. 합성된 폴리(아믹 에스테르) 공중합체인 HEMA-PSPI55는 5.0 g(10.5 mmol)의 PMDA-HEMA가 녹아 있는 50 mL의 NMP 용액의 온도를 0 oC로 낮춘 후, 5.0 g(10.5 mmol)의 PPD를 가산 깔때기를 이용하여 첨가한 후 4시간을 반응시켰다. 이 반응 용액에 1.04 g(5.3 mmol)의 ODA와 1.91 g (5.3 mmol)의 Bis-APAF를 첨가하여 서서히 상온으로 온도를 올려서 24시간을 반응하였다. 합성된 고분자 용액은 1:1 부피비의 methanol/증류수에 침전의 형태로 얻은 후, 증류수를 이용하여 추가적으로 세수하였다.5,7,11 얻어진 폴리(아믹 에스테르) 공중합체는 60 oC의 진공오븐에서 건조하여 얻었다. HEMA-PSPI73은 동일한 방법으로 Bis-APAF 2.7 g(7.3 mmol)과 ODA 0.6 g(3.1 mmol)를 투입하여 합성하였다.
폴리(아믹 에스테르) 공중합체 감광제 조성물과 광형상화 연구. 광감제의 조성물은 합성된 합성된 감광성 폴리(아믹 에스테르) 공중합체 4.0 g에 0.12 g의 MK, 0.32 g의 TBPS, 그리고 1.0 g의 PATTA를 DMAc 용액에 첨가하여 형성하였으며, 고분자 용액의 농도는 25.0 wt%로 제조하였다. 제조된 감광제 용액은 사용하기 전 4.5 μm의 기공 크기를 갖는 poly(tetrafluoroethylene) 필터를 이용하여 큰 입자 등을 걸러 주었다. 감광제 조성물 용액은 세척된 Si 웨이퍼에 스핀 코터를 이용하여 도포하고 120 oC에서 3분간 열처리하여 필름을 형성하였다. 형성된 광감제 필름의 형상화를 위하여 노광기(MDA-400S, Midas, 한국)를 이용하여 자외선 i-line(365 nm 노광 파장)에서 450 mJ/cm2의 에너지로 노광하였다. 노광된 필름은 다시 120 oC에서 2분간 열처리 한 후 2.38 wt%의 TMAH 용액을 이용하여 developing 공정을 진행하여 광형상화 연구를 수행하였다.12
특성 분석. 합성된 PMDA-HEMA와 감광성 폴리(아믹 에스테르) 공중합체의 구조는 dimethyl-d6 sulfoxide (DMSO-d6)를 nuclear magnetic resonance(NMR) 용매로 사용하여 1H NMR(DPX300, 300 MHz, BRUKER, 독일)을 사용하여 분석하였다. 합성된 감광성 폴리(아믹 에스테르) 공중합체의 대수점도(inherent viscosity)는 Ubbelohde 형태의 점도계를 사용하여 25 oC에서 0.5 g/dL 농도의 NMP 용액을 이용하여 측정하였다. 광 형상화 연구를 통하여 얻어진 현상(develpoing) 후 형상화된 필름의 두께는 alpha-step 표면분석기(ET3000, Kosaka Laboratory, 일본)을 이용하여 관찰하였으며, 형상화된 고분자 표면과 단면은 각각 광학현미경(OM, LV 150, Nikon, 일본)과 전자주사현미경(SEM, S-4100, Hitachi, 일본)을 이용하여 관찰하였다. 합성된 감광성 폴리(아믹 에스테르) 공중합체와 프로그램된 순차적인 열처리 방법으로 350 oC까지의 온도로 열적 이미드화 방법에 의하여 형성된 폴리이미드 공중합체의 구조는 액체질소 냉각 mercury cadmium telluride(MCT) 검출기가 장착된 적외선 분광 분석기(FTIR, Nicolet 6700, Thermo Scientific, 미국)를 이용하여 관찰하였으며, 형성된 폴리이미드 공중합체의 열 안정성은 열중량 분석기(TGA, SDT Q600, TA Instruments, 미국)를 이용하여 질소 분위기 하에서 승온 속도를 분당 10 oC로 하여 상온에서 800 oC까지 측정하였다.
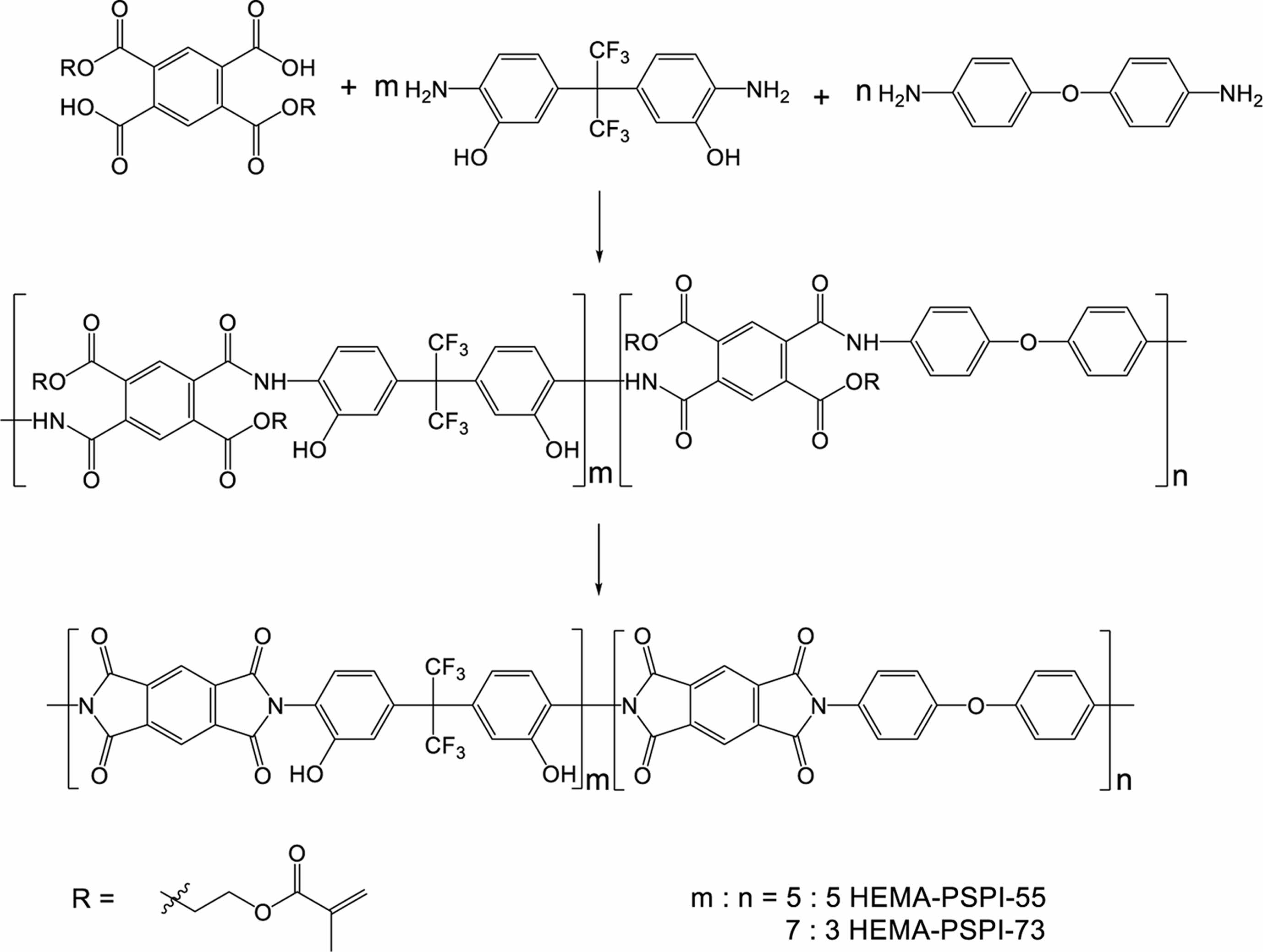
감광성 폴리(아믹 에스테르) 공중합체의 합성. 메타아크릴로일 작용기를 곁사슬로 갖는 폴리(아믹 에스테르)는 Figure 1과 같이 두개의 카복실산 그룹을 갖는 PMDA-HEMA 단량체와 디아민 단량체인 Bis-APAF와 ODA의 몰분율을 조절하여 축합중합 방법으로 합성하였다. 합성된 폴리(아믹 에스테르) 공중합체는 1H NMR을 이용하여 구조를 분석하였으며, 그 결과를 Figire 2에 나타내었다.
Figure 2(a)는 HEMA-PSPI73의 1H NMR의 결과로 곁사슬로 도입된 메타아크릴로일 작용기의 이중 결합에서 나타나는 양성자와 메틸 그룹의 화학적 이동이 각각 6.04과 5.68 ppm, 그리고 2.15 ppm에서 나타남을 확인하였으며, 곁사슬인 oxyethyleneoxy 그룹(-OCH2CH2O-)의 양성자의 화학적 이동이 4.53-4.23 ppm에서 나타나는 것을 확인하였다. 또한, 고분자의 주사슬에서 나타나는 특징적인 작용기인 아미이드 결합(CONH)과 페놀릭 -OH에 해당하는 양성자의 화학적 이동이 각각 10.50-10.45 ppm과 10.01-9.88 ppm에서 나타나고 있음을 확인하였다.5 Figure 2(b)는 HEMA-PSPI55의 1H NMR 분석 결과이며, HEMA-PSPI73의 1H NMR의 결과로 얻어진 특징적인 화학적 이동을 확인할 수 있으며, 다만 8.28-6.51 ppm에서 나타나는 방향족의 특징적인 화학적 이동의 모양과 적분비가 다름을 확인할 수 있었다. 초기 합성을 위하여 주입된 ODA는 사용된 디아민의 비가 50%와 30% 였으며, 합성된 고분자에서의 함량은 각각 48%와 29% 임을 1H-NMR의 적분비를 이용하여 확인하였다. 합성된 HEMA-PSPI55와 HEMA-PSPI73의 대수점도는 각각 0.25와 0.21 dL/g임을 확인하였으며, 이는 고분자 필름을 형성할 수 있기에 충분한 분자량으로 합성이 되었음을 의미한다. 이러한 결과로부터 메타아크릴로일 작용기를 곁사슬로 갖는 감광성 폴리(아믹 에스테르) 공중합체가 성공적으로 합성되었음을 확인할 수 있었다.
합성된 폴리(아믹 에스테르) 공중합체의 열경화에 따른 폴리이미드로의 전환을 확인하기 위하여 적외선분광 분석법을 이용하여 폴리(아믹 에스테르) 공중합체와 폴리이미드 공중합체의 구조를 분석하였다. Figure 3(a)는 HEMA-PSPI55 폴리(아믹 에스테르) 공중합체의 적외선분광 스펙트럼으로 특징적인 피크인 1724와 1594 cm-1을 확인할 수 있는데, 이는 각각 합성된 고분자의 주사슬과 곁사슬에 존재하는 에스테르 그룹내 카보닐 그룹(C=O)의 대칭 신축과 고분자의 주사슬의 아마이드 그룹내 카보닐 그룹의 대칭 신축에 의해 기인된 것이다. HEMA-PSPI55 폴리(아믹 에스테르) 공중합체를 질소 분위기 하에서 350 oC까지 순차적으로 열처리 하여 이미드화한 HEMA-PSPI55 폴리이미드 공중합체에서는 폴리이미드의 특징적인 적외선 분광 피크를 1778, 1721, 그리고 1374 cm-1에서 확인할 수 있는데(Figure 3(b)), 이는 각각 이미드 고리 내 비대칭 및 대칭 카보닐 그룹의 신축과 이미드 결합(C-N)의 신축에 의해 기인된 것이다.5,13,14 이러한 결과는 폴리(아믹 에스테르) 공중합체가 잘 합성되었으며, 열적 이미드화에 의하여 폴리이미드로 잘 전환된 결과이다.
합성된 폴리(아믹 에스테르) 공중합체를 350 oC까지 열처리 하여 이미드화 시킨 폴리이미드 필름의 열안정성은 열중량 분석기를 이용하여 질소 분위기하에서 측정하였다. HEMA-PSPI73와 PSPI55 폴리이미드 필름은 고분자의 조성과 관계없이 매우 높은 열안정성을 보여 주고 있으며, 5.0 wt%의 무게 변화가 501 oC에서 일어남을 확인하였다. 이는 합성된 광감성 폴리(아믹 에스테르) 공중합체가 열적으로 안정된 폴리이미드 필름을 줄 수 있음을 의미한다.
광감성 조성물의 용해속도 및 광형상화 연구. 광감성 폴리(아믹 에스테르) 조성물은 광형상화에 따른 2.38 wt% TMAH 용액에 대한 용해도를 측정하기 위하여 alpha-step 표면분석기를 이용하여 현상 시간에 따른 감광성 고분자 필름의 두께 변화를 관찰하였다. Figure 4의 결과와 같이 HEMA-PSPI73 공중합체는 자외선 i-line에 노광된 필름의 두께는 현상 시간이 증가함에 따라 서서히 감소하여 60초에는 초기 두께의 69%의 잔막율을 가짐을 확인하였으며, 자외선 i-line에 노광되지 않은 고분자 필름은 현상 시간이 증가함에 따라 급격하게 감소하여 10초 이후의 현상 시간 이후에는 남아 있는 필름이 없는 것을 확인할 수 있었다. 이러한 결과는 450 mJ/cm2의 에너지로 노광된 필름은 곁사슬로 도입된 메타아크릴로일 그룹과 첨가된 PATTA의 광반응에 의하여 가교 반응이 일어나고, 가교 결합의 결과로 2.38 wt% TMAH 용액에 대한 용해도가 떨어져서 나타나며, 노광되지 않은 감광성 필름은 주사슬에 존재하는 Bis-APAF의 페놀릭 –OH의 영향으로 2.38 wt% TMAH 용액에 좋은 용해도를 보이는 것이라 판단된다.5 HEMA-PSPI55 공중합체는 자외선 i-line에 노광된 필름의 두께는 현상 시간이 증가함에 따라 서서히 감소하여 60초의 현상 시간에도 초기 두께의 91%의 잔막율을 가짐을 확인하였다.
이러한 결과는 HEMA-PSPI73의 경우 고분자 주사슬의 조성 중 70%가 페놀릭 -OH를 갖는 Bis-APAF로 구성되어 있지만, HEMA-PSPI55의 경우 고분자 주사슬의 조성중 50%만 페놀릭 -OH를 갖는 Bis-APAF로 구성되어 있어서 보다 TMAH에 대한 용해도가 떨어지는 것으로 판단된다. 감광성 조성물의 용해도의 결과를 바탕으로 자외선 조사에 따른 형상화 연구를 진행하였다. Figure 5(a)와 (b)는 각각 HEMA-PSPI55와 PSPI73을 450 mJ/cm2의 에너지로 노광하고 현상 시간을 40초로 하여 형상화된 필름의 표면을 관찰한 결과이다. 광학현미경으로 관찰한 결과 매우 선명한 선 모양의 형상이 잘 현상된 것을 관찰할 수 있었다. 동일한 시편을 이용하여 단면을 전자주사현미경으로 관찰한 사진은 Figure 5(c) 및 (d)에 나타내었다. 전자주사현미경의 단면에서 보듯이 동일한 조건에서 HEMA-PSPI55는 현상이 직각과 유사하게 현상이 되지만, HEMA-PSPI73은 역삼각형으로 현상이 되는 것을 확인할 수 있다. 이러한 현상은 앞서 용해속도에서 확인된 것과 같이 고분자의 주사슬에 Bis-APAF 조성이 증가함에 따라 페놀릭 -OH가 많아지면 용해도가 증가하게 되어 이러한 현상을 보이는 것으로 추측된다.
Figure 5(e)와 (f)는 Figure 5(a)와 (b)에서 얻어진 시편을 질소 분위기 하에서 350 oC까지 순차적으로 열처리 하여 폴리이미드 공중합체로 전환시킨 후에 측정한 전자주사현미경의 결과이다. 열경화 전 HEMA-PSPI55 공중합체를 이용한 조성물의 형상화 결과로 얻어진 선 패턴의 선 폭과 두께는 각각 25.8과 6.1 μm였으며, 이를 열경화 후 측정한 결과 각각 23.4와 5.6 μm로, 선 폭은 9.3%와 두께 방향으로는 8.2%가 수축한 것을 확인할 수 있었다. 또한, 열경화 전 HEMA-PSPI73 공중합체를 이용한 조성물의 형상화 결과로 얻어진 선 패턴의 선 폭과 두께는 각각 24.1과 5.6 μm였으며, 이를 열경화 후 측정한 결과 각각 21.1과 4.9 μm로, 선 폭은 8.2%와 두께 방향으로는 12.5%가 수축한 것을 확인할 수 있었다. 이러한 결과는 고분자의 주사슬에 페놀릭 -OH를 많이 갖는 광감성 폴리(아믹 에스테르) 공중합체는 용해도와 형상화 및 열처리에 의한 이미드화에 의하여 좋지 못한 영향을 미치는 것을 확인할 수 있었다. 하지만 고분자 주사슬에 페놀릭 -OH가 70%를 포함하는 감광성 고분자도 350 oC의 고온의 열처리 후에도 일정 필름의 두께를 유지함을 확인하여 고온의 적층형 소자 제작의 재료로 적합한 것으로 판단된다.7
|
Figure 1 Chemical structure and synthesis scheme of poly(amic ester) and polyimide copolymers. |
|
Figure 2 1H NMR spectra of synthesized poly(amic ester) copolymers: (a) HEMA-PSPI73; (b) HEMA-PSPI55. |
|
Figure 3 FTIR spectra of synthesized (a) HEMA-PSPI55 poly(amic ester) copolymer; (b) HEMA-PSPI55 polyimide copolymer. |
|
Figure 4 Dissolution rate of photo-sensitive poly(amic ester) copolymers in developer. |
|
Figure 5 Photographs of patterned copolymers: (a) OM of patterned HEMA-PSPI55 poly(amic ester); (b) OM of patterned HEMA-PSPI73 poly(amic ester); (c) SEM of patterned HEMAPSPI55 poly(amic ester); (d) SEM of patterned HEMA-PSPI73 poly(amic ester); (e) SEM of patterned HEMA-PSPI55 polyimide; (f) SEM of patterned HEMA-PSPI55 poly(amic ester). |
염기성 용액인 TMAH로 현상 공정이 가능한 감광성 폴리(아믹 에스테르) 공중합체를 디안하이드라이드인 PMDA와 HEMA의 반응을 통하여 합성하고, 합성된 카복실산 그룹을 갖는 PMDA-HEMA와 디아민 단량체인 ODA와 Bis-APAF의 조성을 조절하여 합성하였다. 합성된 폴리(아믹 에스테르) 공중합체는 그 구조를 분광학적 방법으로 확인하였으며 높은 열 안정성을 가짐을 확인하였다. 합성된 폴리(아믹 에스테르) 공중합체와 감광제 및 가교제를 혼합하여 감광성 조성물을 형성하고, 이들의 용해속도와 형상화 연구를 수행하여 합성된 폴리(아믹 에스테르) 공중합체의 조성에 따라 자외선 노광 시 형상화에 영향을 받는 것을 확인하였다. 합성된 폴리 (아믹 에스테르) 공중합체의 조성 중 50%의 페놀릭 -OH를 갖는 고분자는 자외선에 노광된 부분의 2.38 wt% TMAH에 대한 용해도는 우수한 광경화 반응에 의하여 떨어지며, 노광되지 않은 부분은 2.38 wt% TMAH에 좋은 용해도를 보이며 우수한 광형상화 특성이 있음을 확인하였다. 특히 폴리(아믹 에스테르) 공중합체를 열적 이미드화 방법으로 형성된 폴리이미드의 선 폭과 두께 방향에 대한 수축률이 매우 좋아 적층형 소자를 제작에 활용할 수 있는 좋은 감광성 소재로 사용될 수 있다.
This Article2022; 46(6): 799-804
Published online Nov 25, 2022
Services
Correspondence toSchool of Chemical Engineering, Yeungnam University, 280 Daehak-ro, Gyeongsan, Gyeongbuk 38541, Korea