
Major in Polymer Science and Engineering, Kongju National University, 1223-34 Cheonan way, Cheonen 31080, Korea
*Korea Automotive Technology Institute, 303 Pungse-ro, Pungse-myeon, Dongnam-gu, Cheonan-si, Chungnam 31214, Korea
공주대학교 신소재공학부 고분자공학전공, *한국자동차연구원 강소특구연구단
Reproduction, stored in a retrieval system, or transmitted in any form of any part of this publication is permitted only by written permission from the Polymer Society of Korea.
A non-isothermal crystallization behavior and dynamic rheological properties were evaluated to examine the effect of expanded graphite (EG) content and fabrication method on the crystallization process and flow properties of nylon 6/EG composite. The melting temperature did not change significantly when EG was added, but the crystallization temperature showed a significant increase. Avrami analysis was performed to analyze crystallization behavior. As the content of EG increased, it was shown that the shear thinning behavior increased along with the increase in the complex viscosity of the nylon 6/EG composite. It is evaluated that it can be processed under conditions similar to nylon 6 during the polymer processing.
나일론6에 팽창 그라파이트(expanded graphite, EG)가 혼합된 나일론6/EG 복합체의 결정화 과정과 흐름성에 미치는 EG 함량 및 복합체 제조방법을 고찰하기 위해 비등온 결정화 거동과 동적유변학적 특성을 평가하였다. EG의 첨가 시 용융 온도는 큰 변화가 나타나지 않았으나, 결정화온도에서는 큰 폭의 증가를 나타내었다. 결정화 거동 분석을 위해 Avrami 분석을 진행하였다. EG의 함량이 증가할수록 나일론6/EG 복합체의 복소 점도 증가와 함께 면찰담화(shear thinning) 현상이 증가함을 보여주었고, 전단 박하의 증가는 높은 전단속도 영역에서 복소점도의 증가 폭을 감소시켜 복합체의 성형 가공 시 나일론6와 유사한 조건에서 가공이 가능할 것으로 평가된다.
A non-isothermal crystallization behavior and dynamic rheological properties were evaluated to examine the crystallization process and flow properties of nylon 6/EG composite. Avrami analysis was performed to analyze crystallization behavior. As the content of EG increased, it was shown that the shear thinning behavior increased along with the increase in the complex vis-cosity of the nylon 6/EG composite.

Keywords: crystallization, expanded graphite, nylon6, rheological properties, Avrami analysis.
본 연구는 산업통상자원부의 소재부품기술개발사업(과제번호:20012979)과 환경부의 폐자원에너지화 전문인력 양성사업의 지원으로 수행된 것입니다.
저자들은 이해상충이 없음을 선언합니다.
최근 자동차에 전장부품의 사용이 증대되면서 전자파차폐와 더불어 방열 성능이 요구되는 부품의 범위가 증가하고 있다. 자동차에 사용되는 전자소자가 고집적화 될수록 전력 밀도 증가로 인하여 더 많은 열이 발생하고, 소자의 기능저하, 오작동, 열화 등으로 전자장치의 성능, 수명 및 신뢰성에 매우 심각한 영향을 미치고 있다.1,2 이와 같은 문제를 해결하기 위한 한 방편으로 열을 배출시키는 방열 소재 기술이 지속적으로 연구되고 있다. 방열 소재로는 주로 금속 재료가 많이 사용되어 왔는데, 최근에는 성형이 용이하고 제조 비용이 저렴하며 내부식성 등의 장점과 더불어 경량화 측면에서 유리한 고분자/틴소필러 복합소재에 대한 연구가 진행중에 있다.3 고분자/탄소필러 복합체는 탄소섬유, 그래핀, 그라파이트, 탄소나노튜브 등의 탄소 소재를 고분자에 용융상태에서 혼합하는 것으로 적용하는 용도에 따라 함량이 최대 50 wt%까지 다양하게 존재한다.
열가소성 수지 중 나일론6(Polyamide 6, PA6)은 우수한 열 안정성, 낮은 유전상수 및 높은 인장강도로 자동차 부품 중 내열성이 요구되는 부분 및 전자기기에 주로 사용되고 있다. 나일론6은 지방족 아미드 계열의 고분자로 전기적 특성 및 방열 특성이 열세하기 때문에 전장부품에 사용하기 위해서는 위에서 언급한 나일론6/탄소필러 복합체의 제조 및 적용에 대한 연구가 필요하고, 이에 대한 연구는 비교적 많이 진행되어 왔다.4-7
나일론6/탄소필러 복합체의 경우 탄소필러의 첨가에 의해서 열적특성과 흐름성이 변화하기 때문에 사출성형 시 가소화, 충진 및 보압 그리고 냉각 과정에 대한 공정 변수 조절이 요구된다. 이를 위해서는 나일론6/탄소필러 복합체의 결정화거동과 유변학적 특성에 대한 고찰이 필요하다.
탄소 기반 재료에는 흑연(graphite), 그래핀(graphene), 탄소나노튜브(carbon nanotube, CNT), 탄소섬유(carbon fiber) 등이 있으며, 이들을 충진제로 사용한 복합체 연구가 진행되어 왔다.8-10 탄소 필러 중 팽창흑연(expanded graphite, EG)은 고유의 높은 열전도도(약 300 W/mK)를 갖으며, 다른 탄소 기반 충진제에 비해 가격이 저렴하다. 층간 간격이 있는 흑연 시트로 구성된 고유한 구조로 효과적인 3차원 열전도 네트워크를 형성하고, 높은 종횡비를 가진 마이크로 필러는 입자 간 거리를 줄여 우수한 열 경로로 열전도를 향상시킬 수 있다.11
본 연구실에서는 나일론6에 EG를 50 wt%까지 첨가하면서 열전도도와 기계적 물성 변화에 대해 고찰하였다.12 열전도도와 기계적 물성은 자동차 부품 소재로 적용 가능한 수준까지의 물성 확보가 가능한 것으로 확인되었으나, 흐름성과 열적 특성에 있어서 변화가 발생하는 것을 확인하였고 이에 대한 추가적인 연구의 필요성을 인지하였다. 일반적으로 고분자/탄소섬유 복합소재를 자동차 부품 소재에 적용하기 위해서는 사출성형 공정을 이용한다. 사출성형 공정에서 흐름성은 매우 중요하며, 특히 무기 필러가 다량 함유된 경우에는 꼭 고려되어야 하는 변수이다. 더불어 사출성형에서 냉각과정은 사출성형 공정 중에서 시간이 가장 많이 소유되는 부분으로 생산성 향상을 위해 최적화가 필요하며 이를 위해서는 결정화 거동에 대한 고찰이 필수적이다.
따라서 본 연구에서는 나일론6에 탄소 필러로 EG를 혼입하여 나일론6/EG 복합체를 이축압출기를 이용하여 제조하고, 제조한 복합체의 열적특성을 DSC(differential scanning calorimetry)를 이용하여 분석하였다. DSC의 비등온 결정화 피크를 이용하여 Avrami 분석을 통해 결정화 거동을 분석하였다. 또한 EG 함량에 따른 PA6/EG 복합체의 유변학적 특성에 대해서도 고찰하였다. 결정형태 및 유변학적 특성에는 마스터배치 및 주/부 투입구를 이용하여 제조한 복합체를 추가로 사용하였다.
재료. 본 연구에서는 열전도성 복합체를 제조하기 위해 열가소성 수지인 나일론6은 태광산업사(Korea)의 TK2451 grade를 사용하였고, 복합체의 전도성 충진제 EG는 네오인더스사(Korea)의 순도 99.02%, 비중 0.12 g/cm3, 입도 80 mesh(³70%)를 사용하였다. Figure 1에 산처리 등에 의해 제조되는 팽창흑연의 구조를 나타내었다.
복합체 제조 및 성형방법에 따른 시편제작. 나일론6과 탄소필러는 80 ℃ 오븐에서 12시간 이상 건조한 후, 필러 함량 및 종류에 따라 이축압출기(Twin extruder, 바우테크사 A-19, L=760 mm, D=19 mm, L/D=40, Korea)를 이용하여 260/260/260/260/250/240 ℃, 250 rpm 조건에서 EG를 10~50 wt%까지 변량하면서 나일론6/EG 복합체를 제조하였다. 또한 기존 연구결과 기계적 물성에 최적을 나타낸 EG의 함량 40 wt%에 대해서는 주 투입구와 부 투입구로 구분하여 복합체를 제조하였고 마스터배치(master-batch, MB)도 적용하여 같이 비교하였으며, M40/S0, M0/S40, MB로 구분하여 표기하였다.
분석 및 측정. 시차주사열량계(DSC, Perkin Elmer사 DSC4000, USA)를 사용하여 시편 4~6 mg을 취해 50~300 ℃@N2 온도범위에서 승온 및 냉각 속도 10 ℃/min 조건에서 측정하였다. 나일론6와 복합체의 결정형태를 살펴보기 위해 가열판(hot stage, LINKAM사 TP92, UK)이 장착된 편광현미경(polarizing optical microscope, POM, Olympus사 BX41, JP)을 이용하여 20배의 배율로 관찰하였다. 나일론6와 EG 10%가 투입된 복합체는 300-260 ℃ 범위에서 10 ℃/min, 260-250 ℃ 범위에서 1 ℃/min의 냉각과정에서 결정상태를 관찰하였다. X-선 회절장치(X-ray diffraction, XRD Rigaku사 MiniFlex600, JP)를 이용하여 CuKa(radiation with λ = 0.15406 nm)으로 2θ 10-90°, 5°/min 조건으로 측정하였다. 유변학적 특성을 확인하기 위해 고분자 복합체의 복소점도는 유변측정기(Rheometer, Anton paar사 MCR302e, Austria)를 이용하여 290 ℃에서 1.3 mm gap간격으로 parallel plate를 이용하여 frequency 0.01-100 Hz, strain 0.01% 조건으로 측정하였다.
|
Figure 1 Structure of expanded graphite. |
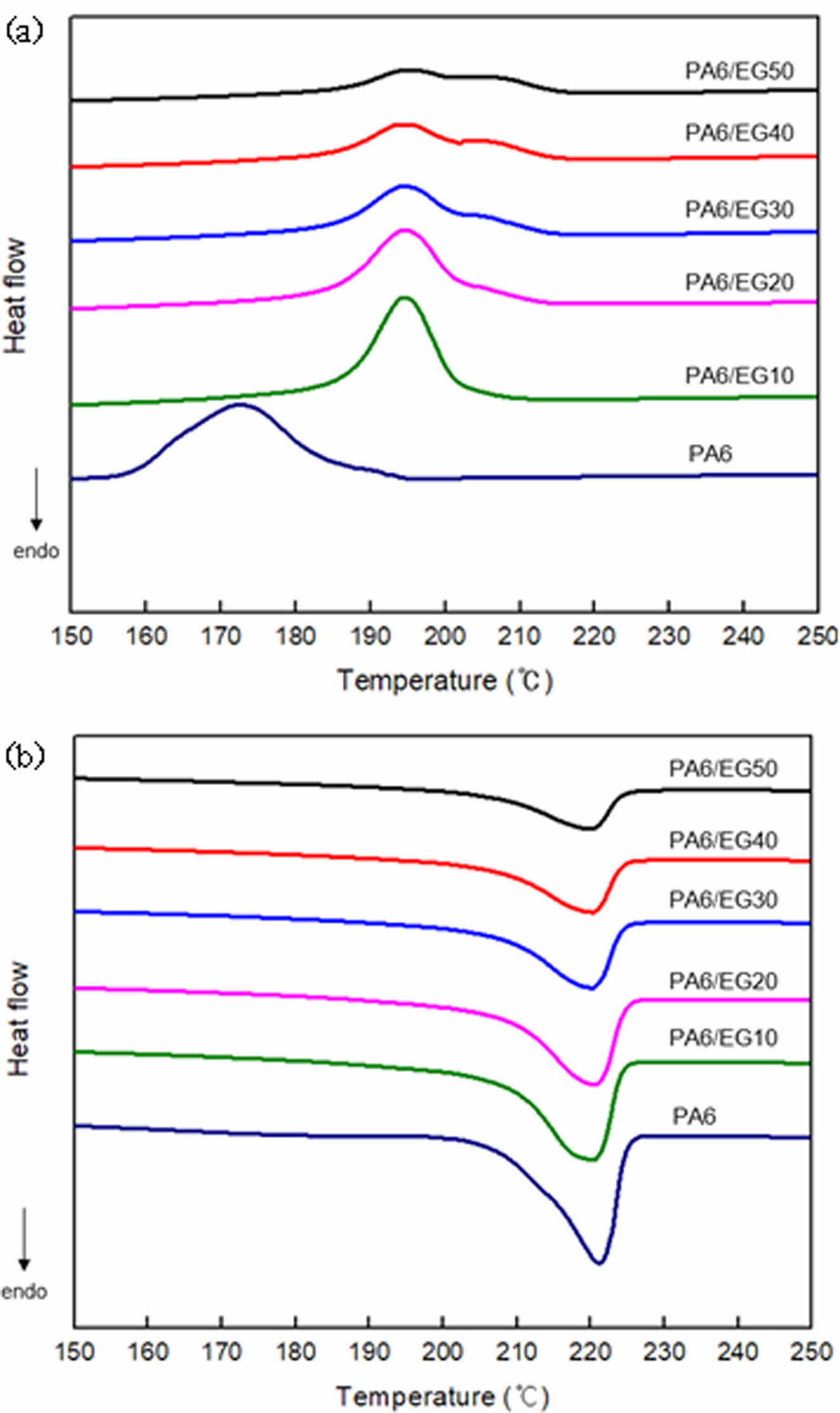
EG 함량에 따른 나일론6/EG 복합체의 열적 특성을 고찰하기 위해 DSC 측정 결과를 Figure 2에 나타내었다. 용융온도(Tm)의 경우 EG가 첨가되어도 큰 변화는 없지만 결정화 온도(crystallization temperature, Tc)는 나일론6의 경우 168.4 ℃에서 관찰되었고, 10-50 wt%의 EG가 첨가된 나일론6/EG 복합체는 193 ℃ 부근에서 관찰되어, 대략 25 ℃의 증가를 나타내었다. 이는 무기 소재인 EG가 투입되면서 불균일 핵제(nucleating agent)로 작용하여 핵 생성을 일으키며 결정을 가속화 시킨 것으로 판단된다.13 이와 같은 결정화온도에 대한 변화는 사출성형 시 금형에서의 냉각 조건 설정에 중요하기 때문에 결정화 거동에 대한 추가적인 분석이 필요하다.
비등온 결정화 거동에 대한 동력학적 분석을 위해 아래 형태의 Avrami 식에 적용하였으며, 비등온 결정화 거동은 Herrero14와 Cebe15에 의해 제안되었다. 아래와 같이 식 (1)-(3)의 과정을 통해 분석이 가능하다.

Avrami 식은 일차 결정화의 선형 결정성장 속도를 해석한 것으로 X(t)는 상대결정화도, n은 Avrami 지수, k는 시간에 따른 결정화 속도상수를 의미한다. 비등온 상태를 고려해주기 위해 식 (2)와 같이 냉각속도 c를 도입하여 결정화 속도 상수를 보정해주었으며, 식 (2)를 식 (1)의 Avrami 식에 대입하여 비등온 결정화 거동에 대한 해석이 가능하다.
Figure 3은 DSC 냉각곡선으로부터 Avrami 분석을 진행한 결과이다. Avrami 방정식의 경우 일반적으로 결정화가 진행되면 구정 사이의 충돌과 부피축소 등이 발생하여 결정화 초기에 잘 맞는 수식으로 알려져 있기 때문에 결정화 초기 부분을 중심으로 계산한 결과를 Figure 3 표시하였고, 결정화 속도와 Avrami 지수를 Table 1에 요약하였다. Avrami 지수 n은 결정성장의 기하학적인 모양을 나타내며, 결정핵 생성이 균일하게 일어날 때, n = 2인 경우에 1차원적으로서 선형결정을 형성하며, n = 3인 경우에 2차원적 결정 성장으로 판상의 lamella 결정을 보이며, n = 4인 경우에 구정처럼 3차원의 결정성장을 보인다. Avrami 지수가 2.5-2.9 사이의 값을 보여주는데 이는 나일론6과 복합체의 성장조절이 주로 계면에서 일어나고 성장형태는 주로 원반형으로 진행되고 있으며 산발적 핵생성이 발생한다고 추측할 수 있다.16
나일론6과 복합체의 결정형태를 살펴보기 위해 가열판이 장착된 편광현미경을 이용하여 나일론6과 EG 10%가 투입된 복합체의 냉각과정에서의 결정 형태를 관찰하여 Figure 4에 나타내었다. 나일론6과 복합체 모두에서 구정의 전형적인 특성인 동심원 또는 Maltese cross(구정내 분자배향의 이방성에 의해 나타나는 것으로, 구정 자체는 구상대칭이지만 라멜라는 이방성을 가지고 있기 때문에 나타나는 것으로 형태가 몰타 십자가와 유사해 붙여진 이름임) 등이 거의 나타나고 있지 않아 구형 보다는 원반형의 결정 구조를 나타내는 것으로 판단된다. 복합체의 경우 EG 투입에 의해서 검정 부분이 많이 보이고 있기는 하지만 전체적으로 결정 형태에 있어서 나일론6과 큰 차이는 없는 것으로 해석된다.
EG의 첨가에 따른 나일론6/EG 복합체의 결정 형태를 확인하기 위해 XRD를 측정하였고, Figure 5에 나타냈었다. 나일론6의 결정은 아미드기 간 수소결합에 의해 지배적이며 역평형하게 배열되는 α형 결정과 평행하게 배열되는 γ형 결정이 있다. γ형 결정은 아미드기 평면과 메틸렌기의 지그재그(zigzag)면과 동일한 평면이 되고 분자쇄는 α형 결정보다 조금 줄어들게 된다. α형과 α형 결정의 존재율은 밀도에 따라 달라지며, X-선 회절의 경우 a형 결정은 2θ = 24° 및 20°에서 나타나며, g형 결정은 2θ = 21°의 회절피크를 나타낸다고 보고되어 있다.17 복합체 제조방법에 관계 없이 나일론6/EG 복합체에서는 EG의 첨가로 인해 EG가 불균일 핵제 역할을 하며 a결정이 지배적으로 관찰되는 것으로 보여진다.18 나일론6/EG 복합체 결정성 피크는 2θ = 26.04°, 54.26°에서 (002), (004)의 흑연 결정면에 대한 고유의 회절 피크가 나타나는 것으로 확인되었다.
나일론6/EG 복합체의 흐름성을 확인하기 위해 동적유변물성 측정기를 이용하여 유변학적 특성을 측정하였다. Figure 6은 주 투입구에 EG의 함량을 10-50 wt%로 변경하며 제조한 복합체의 주파수에 따른 탄성률(a)과 복소점도(complex viscosity)(b)를 나타낸 것이다. EG의 함량이 증가함에 따라 복소점도가 큰 폭으로 증가함을 알 수 있으며, 무기물의 첨가에 따라 면찰담화(shear thinning) 현상도 같이 증가함을 알 수 있었다. 일반적으로 고분자의 면찰담화 현상은 고분자의 분지 형태 또는 탄성 특성의 무기물 필러 첨가 등에 의해 증가하는 현상을 보이며 이는 실제 사출성형 영역인 고전단속도 또는 높은 전단속도에서 용융 점도의 감소를 가져오기 때문에 고분자 성형 시 유리하게 작용한다.19-23
Table 2는 EG 함량에 따른 1 Hz에서의 복소점도, 면찰담화 정도를 나타내는 지수법칙 계수(n) 등을 나타낸 것이다. Table 2에서 볼 수 있듯이 EG 함량이 높을수록 낮은 주파수에서 복수점도가 큰 폭으로 증가하지만 면찰담화가 증가하여 고 주파수 영역에서의 복소점도 증가폭은 상대적으로 적게 나타나 사출성형 시 사출성형 조건에는 큰 변화가 없을 것으로 판단된다.
Figure 6에 나타나는 복소점도의 증가는 무기물의 첨가에 따른 탄성 특성의 증가에 의해 유추된 것으로 판단되어 탄성 특성에 대한 추가적인 분석을 위해 저장탄성률(storage modulus, G')과 손실탄성률(loss modulus, G'')을 도식화하여 Figure 7에 나타내었다. G''-G' plot에서 왼쪽으로 그래프가 이동하는 것은 탄성특성의 증가를 의미하는 것이며, EG의 함량이 증가할수록 탄성이 증가하는 것을 알 수 있다. 또한 G''-G' plot의 기울기는 고분자의 분자구조에 따라 변화하는 값으로 Table 2에서 나타내듯이 EG의 함량 변화에 따라 큰 차이를 보이지 않는 것을 확인할 수 있다.
유변학적 특성을 이용하여 고분자 분자구조, 공중합체 또는 유-무기 하이브리드 등의 특성을 확인할 때 실제 점도(real viscosity, η' = G''/frequency)와 가상 점도(imaginary viscosity, η'' = G'/frequency)의 도식을 이용한다.20,23 실수부 점도와 선형 또는 균일상 고분자의 경우 반원 형태에 가까운 그래프를 보이는 반면 분지형, 불균일(공중합체 등) 또는 고점도일 때 반경이 크게 나타나는 것이 일반적으로 알려져 있다.20 Figure 8은 나일론6/EG 복합체의 실제점도와 가상점도 그래프를 나타낸 것이다. 나일론6(Figure 8 내의 작은 그림)의 경우 작은 반원의 형태를 보여 균일상 거동을 보이는 반면 EG의 함량이 증가할수록 반원의 형태가 깨지면서 점점 커지는 형태를 보이고 있다. 이는 EG가 첨가됨에 따라 불용의 무기물이 나일론6 용융체에 첨가되면서 균일상 구조에서 벗어나기 때문으로 해석할 수 있다.
다음은 기존 연구결과에서 열전도도 및 기계적 물성을 고려하였을 때 최적의 값을 나타낸 EG 40 wt%에 대해 EG를 마스터 배치(MB) 형태로 투입한 시료, 압출기의 주 투입구에만 EG를 투입한 시료(M40/S0) 그리고 부 투입구에 EG 투입한 시료(S0/S40)에 대한 실제점도와 가상점도 그래프를 Figure 9에 나타내었다. MB의 경우가 반원에 가장 가깝게 나타났으며 주 투입구, 부 투입구 순으로 반경에서 멀어지는 것으로 나타났다.
이는 MB의 경우 분산 특성이 가장 우수하여 EG의 특성이 최소화되기 때문으로 판단된다. 다음은 나일론6/EG 복합체의 Van Gurp-Palmen 분석 결과를 살펴보기 위해 복합 탄성률(complex modulus)과 위상차를 계산하여 Figure 10에 나타내었다. Van Gurp-Palmen 분석을 이용하면 필러 입자의 분산성과 탄성 특성 사이의 관계를 확인할 수 있다. 완전 점성체의 위상차는 p/2, 완전 탄성체의 위상차는 0으로 위상차가 작을수록 탄성체에 가까운 특성을 갖게 된다. MB, M40/S0, M0/S40로 갈수록 위상차가 0에 가까운 값으로 접근하는 것을 볼 수 있고, 이는 분산이 상대적으로 열세하기 때문에 탄성 특성이 증가하는 것으로 해석할 수 있다. 또한 작은 입자 사이즈의 잘 분산된 EG는 윤활 역할을 하며, 큰 사이즈의 입자는 분자의 강성 지점으로 작용해 용융 탄성을 향상시키기 때문이다. 비록 부 투입구에 EG가 투입된 시료의 점도가 증가하기는 하지만 증가되는 폭이 크지 않았다. 점도의 증가는 사출가공 시 흐름성이 약화되어 여러 문제를 야기할 수 있는 가능성이 있지만, 사출성형과 같은 고분자 가공시 큰 영향을 미치는 수준은 아닌 것으로 판단된다.
|
Figure 2 DSC cooling (a) and heating curves (b) of nylon 6/EG composites |
|
Figure 3 Avrami analysis of nylon 6/EG composites |
|
Figure 4 POM images nylon 6 (left) and nylon 6/EG10 composites (right) at 250 ℃ of 1℃/min. |
|
Figure 5 X-ray diffraction of nylon 6 and nylon 6/EG composites |
|
Figure 6 (a) Moduli; (b) complex viscosities of nylon 6/EG composites as a function of frequency. |
|
Figure 7 G''-G' plot for nylon 6/EG composites with different EG content. |
|
Figure 8 Real-imaginary viscosity plot for nylon 6/EG composites with different EG content. |
|
Figure 9 Real-imaginary viscosity plots for MB, M40/S0, and M0/ S40 composites. |
|
Figure 10 Van Gurp-Palmen plot for MB, M40/S0, and M0/S40 composites. |
|
Table 1 Crystallization, Melting Temperature and Avrami Parameters of Nylon 6/EG Composites |
나일론6에 EG를 첨가할 경우 결정화 거동 및 흐름성이 변하기 대문에 사출성형의 가소화 과정, 금형조건 등에 영향을 줄 수 있기 때문에 이에 대한 체계적인 연구가 필요하다. 나일론6/EG 복합체의 결정화온도는 큰 폭으로 상승하였으나, 비등온 결정화실험에 대한 Avrami 분석결과 결정화 과정에는 큰 변화가 없는 것으로 확인되었으며 원반형의 결정구조가 형성됨을 편광현미경을 이용하여 확인하였다. 나일론6의 g형 결정 구조와는 달리 나일론6/EG 복합체에서는 EG의 불균일 핵제 역할로 인해 a결정이 지배적으로 관찰되는 것으로 확인되었다. 흐름성과 관련한 유변학적 특성 측정결과 EG가 첨가될수록 복소점도는 큰 폭으로 증가하였으나, 면찰담화 현상 또한 증가하는 것으로 확인되었다. 면찰담화 현상의 증가는 고분자 성형시 유리한 것으로 알려져 있다. 유-무기 하이브리드 복합화에 따른 탄성 특성의 증가가 실제 점도-가상점도 그래프와 위상각 결과로부터 확인되었다. 유변학적 특성을 종합하였을 때 나일론6 대비 나일론6/EG 복합체의 사출성형성에 큰 차이는 없을 것으로 판단된다.
This Article2023; 47(2): 164-170
Published online Mar 25, 2023
Services
Correspondence toMajor in Polymer Science and Engineering, Kongju National University, 1223-34 Cheonan way, Cheonen 31080, Korea