
Ui-Chan Nam# , Bo-Kyoung Park# , Tae-Joon Park, Sung-Il Yoon, Jae-Hoon Kim*, and E-Joon Choi† 
Department of Polymer Science and Engineering, Kumoh National Institute of Technology, Gumi 39177, Korea
*Department of Electronic Engineering, Hanyang University, Seoul 04761, Korea
금오공과대학교 고분자공학과, *한양대학교 전자공학과
Reproduction, stored in a retrieval system, or transmitted in any form of any part of this publication is permitted only by written permission from the Polymer Society of Korea.
In order to apply electro-optical properties of liquid crystals (LC) to practical devices, uniform alignment of directors is an essential requirement. Recently, it has been reported that introducing a reactive mesogen (RM) can improve the anchoring energy for surface alignment. So far, studies on the azimuthal anchoring energy of the planar alignment mode related to rod-like RMs have been mainly reported. In this study, the effect of introducing an asymmetric bent-core RM, i.e., a hockey stick-shaped RM, on the polar anchoring energy of vertical alignment (VA) mode was investigated. The structure of the obtained RM was identified using 1H NMR, FTIR spectroscopy and elemental analysis. Their mesomorphic behavior was characterized by differential scanning calorimetry (DSC) and polarized microscope (POM). The VA-mode cell was fabricated by spin-coating a mixture of RM and VA agents, injecting LC with a negative dielectric constant, and photocuring by UV-irradiation, and the electro-optical properties were evaluated.
액정(LC)의 전기광학적 특성을 실용 장치에 적용하기 위해서는 방향자의 균일한 배향이 요구된다. 최근 LC 소자에서 배향막의 표면고정에너지를 향상시키기 위하여 반응성 메조겐(RM)을 도입한 보고가 있었다. 지금까지 막대형 RM의 도입에 따른 수평배향 모드의 방위각 고정에너지에 미치는 영향에 관한 연구가 주류를 이루었다. 본 연구에서는 비대칭적 굽은핵 RM-유사선형 하키스틱형 RM-의 도입이 수직배향(VA) 모드의 편극 고정에너지에 미치는 영향을 조사하였다. 합성한 RM 분자들의 구조는 1H NMR 및 FTIR 분광분석법과 원소분석법을 사용하여 결정하였다. 시차주사열량분석기(DSC)를 사용하여 열전이 거동을 조사하고, 편광현미경(POM)을 사용하여 광학조직을 관찰하였다. 하키스틱형 RM과 폴리이미드(PI)계 수직배향제의 혼합물을 스핀코팅시켜 VA 셀을 제작하였으며, 음의 유전률 상수를 갖는 LC를 주입하고 광경화를 실시하여 VA-모드 셀을 제작한 후 전기광학적 특성을 평가하였다.
The effect of introducing a hockey stick-shaped reactive mesogen (RM) on the polar anchoring energy of vertical alignment (VA) mode was investigated. The VA-mode cell was fabricated by spin-coating a mixture of RM and VA agents, injecting a negative liquid crystals (LC), and photocuring, and the E/O-properties were evaluated. We found that introducing the asymmetric bent-core RM can improve the anchoring energy for surface alignment.

Keywords: reactive mesogen, hockey stick-like mesogen, vertical surface alignment, nematic liquid crystal, polar anchoring energy.
이 연구는 금오공과대학교 대학 연구과제비로 지원되었음(2021-2022).
저자(들)는 이해상충이 없음을 선언합니다.
다음과 관련된 실험 과정에 대한 정보(중간단계 생성물의 합성법 및 분광분석 실험결과). 이 자료는 다음 사이트에서 얻을 수 있습니다(http://journal. polymer-korea.or.kr
PK_2023_047_03_309_Supporting_Information_template.pdf (455 kb)
Supplementary Information
액정(LC)은 탄성변형(Fréedericksz transition)과1 같은 전기광학적 효과를 극대화시키기 위하여서는 방향자(director)가 기판표면의 배향막에 의하여 정밀하게 배향되어야 한다. 방향자의 배열 방향이 기질 표면에 대해 수평인 경우를 수평배향(planar alignment)이라 하고, 수직인 경우를 수직배향(vertical alignment)이라 부른다. 실제적으로 LC의 균일한 배향을 달성하려면 러빙 또는 광배향 기술을 사용하여 방향자가 원하는 방향으로 배열하도록 코팅, 베이킹, 마찰 또는 UV 노출, 장기 경화 및 세척과 같은 방법으로 기판 표면을 처리하는 추가 공정이 필요하다. LC 배향 기술은 배향막을 얻는 공정에 따라 접촉식과 비접촉식으로 나눌 수 있다. 접촉식은 러빙 롤러(rubbing roller)가 고분자 기재에 직접 접촉하여 나노-홈(micro-groove)이 형성되어 배향막의 표면 특성을 나타내게 하는 기법으로 비용 효율성과 강한 고정에너지(hard anchoring) 특성으로 인해 널리 사용되어 왔다.2,3 그러나 이러한 러빙 공정은 정전기, 오염 및 균일성 측면에서 약점을 갖는다. 비접촉식은 Langmuir-Blodgett 필름, 자외선(UV) 및 이온빔 노출과 같이 마찰 공정 없이 균일한 배향을 얻기 위한 접근 방식이다. 이와 관련하여 레이저 간섭, 전자빔 및 원자력 현미경(AFM) 리소그래피 기법을 사용하여 주기적인 홈이 있는 이방성 표면의 제조 기법이 보고되었다.4-7 이러한 방식은 상대적으로 복잡한 프로세스 및 약한 고정에너지(week anchoring) 특성을 보이는 난점이 있었다.8,9
표면고정에너지(surface anchoring energy)는 정적 조건에서 LC 분자의 배열 안정성과 동적 조건에서 스위칭 거동과 관련이 있기 때문에, 실제 전기광학적 응용에 필요한 LC상의 표면배향(surface alignment) 현상을 이해하는 데 있어 매우 유용한 개념이다.10–13 따라서 많은 연구자들이 표면고정에너지를 향상시키는 방법을 연구∙보고하였다.14-21 한편, 표면고정에너지는 표면자유에너지에 대한 Rapini-Papoular 모델을 기반으로 두 가지 유형으로 분류된다.22 하나는 기판 표면에서 멀어지는 LC 분자의 평면 외 운동으로 정의되는 편각 표면고정에너지(polar surface anchoring energy)이고, 다른 하나는 LC 분자의 평면 내 운동으로 정의되는 방위각 표면고정에너지(azimuthal surface anchoring energy)이다.
반응성 메소겐(reactive mesogen, RM)은 중앙의 메조겐 구조 단위와 연결된 지방족사슬의 말단에 광중합반응이 가능한 작용기를 보유한다. 따라서 RM을 사용하면 접촉식에서 필요한 러빙 공정 없이도 상대적으로 낮은 점도의 LC상태에서 광경화를 시켜 비접촉식으로 균일한 배향을 달성할 수 있다.23 최근 방위각 표면고정에너지를 증가시키기 위해 LC와 UV 경화성 RM을 혼합하여 사용하는 방법이 연구되었다.24-27 이때 RM과 수평배향 재료인 폴리이미드(PI)간의 상호 작용이 보고되었다.24 다른 연구의 예로써 RM과 PI계 배향제의 혼합물에 UV를 조사시켜 만든 고분자 나노-홈 구조물의 비등방성 모폴로지를 복제하는 방식으로 LC의 다중-도메인 정렬을 제어하는 방법이 보고되었다.25 이와같이, 지금까지의 연구에 적용된 기존의 RM은 모두 막대형(rod-like) 메소겐기를 갖는 구조였으며, 굽은핵(bent-core) 메소겐기를 도입한 신규성 RM에 관한 연구는 부족하였다.26-27
본 연구에서는 비대칭적 굽은핵 메소겐기를 채용하여 RM의 구조 변화가 LC 장치의 편극 표면 배향 특성에 미치는 영향을 조사하였다. 이를 위하여 Figure 1에 나타낸 바와 같이, 선경사각(pre-tilt angle)를 보유하도록 유사(pseudo) 선형의 하키스틱형(hockey stick-shape) 메소겐 구조를 도입하고, 음의 유전율을 갖도록 분자의 한 쪽 말단에 불소치환기를 도입하고, 광경화가 가능하도록 분자의 다른 쪽 말단에 acrylate기를 갖는 유연격자를 도입하여 신규성 RM을 설계∙합성하였다. 이때 하키스틱형 메소겐의 말단 페닐기에 치환된 F-원자의 치환 위치를 1,2- 및 1,3-di-치환 및 2,3,4- 및 1,3,5-tri-치환으로 변화시키면서 4종의 하키스틱형 RM을 합성하였다. 합성한 RM 분자의 구조를 1H NMR 및 FTIR 분광분석법 및 원소분석법을 통하여 결정하였다. 열적 특성은 시차주사열량분석기(DSC)를 사용하여 조사하였으며, 광학조직은 편광현미경(POM)을 사용하여 관찰하였다. PI계 수직 배향제와 합성한 RM의 혼합물을 ITO 기판 표면에 스핀코팅 후 광경화를 진행하여 VA-mode cell을 제작하고 그의 편각 표면 배향 특성을 평가하였다.
|
Figure 1 Molecular structure of hockey stick-shaped RMs. |
시약 및 재료. Resorcinol, 3-hydroxybenzaldehyde, sodium chlorite, sodium phosphate monobasic monohydrate 및 N,N'-dicyclohexylcarbodiimide(DCC)는 Sigma-Aldrich사(미국)의 제품을 4-dimethyl aminopyridine(DMAP), 2,3-difluorophenol, 2,4-difluorophenol, 3,4,5-trifluorophenol, 2,4,6-trifluorophenol, 4-hydroxybenzoic acid, 6-chloro-1-hexanol, 4-benzyloxybenzoic acid, p-toluenesulfonic acid, hydroquinone 및 10% palladium carbon은 TCI사(일본)의 제품을, acrylic acid는 Junsei사(일본)의 제품을, KI는 (주)삼전화학(한국)의 제품을 그대로 사용하였다. 그외 용매류는 (주)대정화학공업(한국)의 제품을 사용하였다. 용매의 건조를 위하여 사용한 magnesium sulfate는 Sigma-Aldrich사의 제품을 사용하였다. Flash column chromatography는 Merck사(독일)의 0.040 -0.063 mm silica gel을 사용하여 수행하였다.
RM의 특성평가. Scinco사(한국)의 NICOLET 6700 FT/IR 분광분석기와 Bruker사(미국)의 Biospin 400 MHz 1H NMR을 사용하여 반응 중간단계 및 최종 생성물의 구조를 분석∙조사하였다. NMR 실험에서는 Sigma-Aldrich의 아세톤-d6를 사용하여 테트라메틸실란(TMS) 또는 사용한 용매의 중수소화되지 않은 피크를 기준으로 하여 화학적 이동도 값을 구하였다. ThermoFisher사(미국)의 Flash 2000 원소분석기를 사용하여 측정한 최종 생성물의 탄소/수소 조성비를 이론적으로 계산한 탄소/수소 조성비와 비교∙분석하였다. 합성한 RM의 열적 거동은 Netzsch사(독일)의 DSC 200 F3 DSC를 사용하여 질소기류 하에서 RM-I 및 RM-II에 대하여 각각 1 ℃/min 및 10 ℃/min 속도로 측정하였다. Mettler사(스위스)의 FP82HT 온도조절장치가 부착된 Carl Zeiss사(독일)의 Axioskop 40 Pol POM을 사용하여 결정 및 액정상의 광학조직을 관찰하였다.
RM-Ia의 합성. 본 연구에서는 Scheme 1에 나타낸 합성경로를 따라 RM-I 및 RM-II를 합성하였다. 질소기류 분위기하 상온에서 4a(1.00 g, 2.70 mmol), 4-(6-(acryloyloxy) hexyloxy) benzoic acid28 (0.79 g, 2.70 mmol), DCC(0.56 g, 2.70 mmol), DMAP(0.04 g, 0.27 mmol)를 이염화메탄(DCM) 100 mL에 넣고 24시간 동안 교반시켰다. 반응 종료 후 여과하여 urea를 걸러내고, 증류수로 3회 씻어 잔여 urea를 제거하였다. 용매를 감압증류시키고, DCM을 단일 전개용매로 사용하여 컬럼크로마토그래피를 실시하였다. 이후 용매를 감압증류시켜 얻은 조생성물을 CHCl3/CH3OH를 용매/비용매 쌍으로 사용하여 재침전시켜 백색의 고체 분말을 얻었다. 수득률: 17.6%; IR (KBr pellet, cm-1): 3080(aromatic CH), 2946, 2871(aliphatic CH), 1739(conj. C=O), 1606, 1513(aromatic C=C), 1443, 1413 (CH2 bend), 1250, 1202, 1158, 1058(C-O 및 C-F); 1H NMR (400 MHz, acetone-d6, δ in ppm): 8.34-8.31 (d, 2H, ArH), 8.18-8.15(d, 4H, ArH), 7.77-7.75(t, 2H, ArH), 7.55-7.51(d, 2H, ArH), 7.34-7.30(t, 3H, ArH), 7.15-7.11(d, 2H, ArH), 6.36-6.31, 5.87-5.83(d, 2H, CH2=CH), 6.19-6.11(m, 1H, CH2=CH), 4.21-4.16(m, 4H, OCH2), 1.90-1.85(m, 4H, OCH2CH2), 1.76-51 (m, 4H, OCH2CH2CH2).
Scheme 1. Synthetic route to RMs; regents and conditions: (i) 4-(benzyloxy)benzoic acid, DCC, DMAP, CH2Cl2, r.t. 24 h; (ii) resorcinol in
THF, NaClO2 and NaH2PO4 in H2O, r.t. 24 h, N2 atmosphere; (iii) di- or tri-fluorophenol, DCC, DMAP, CH2Cl2, r.t. 24 h; (iv) 10% Pd/C,
H2, THF, r.t. 12 h; (v) 4-[6-(acryloyloxy)hexyloxy]benzoic acid, DCC, DMAP, CH2Cl2, r.t. 24 h; (vi) 4-(benzyloxy)benzoic acid, DCC, DMAP,
CH2Cl2, r.t. 24 h; (vii) 10% Pd/C, H2, THF, r.t. 6 h; (viii) 4-[6-(acryloyloxy)hexyloxy]benzoic acid, SOCl2, pyridine, CH2Cl2, 80oC 5 h, N2
atmosphere.
RM-Ib의 합성. Quantities: 4b(1.00 g, 2.70 mmol); 4-(6-(acryloyloxy)hexyloxy)benzoic acid28 (0.79 g, 2.70 mmol); DCC(0.56 g, 2.70 mmol); DMAP(0.04 g, 0.27 mmol). 합성 방법은 ‘RM-Ia의 합성’에서 기술된 바와 같다. 수득률: 13.8%; IR(KBr pellet, cm-1): 3074(aromatic CH), 2952, 2866(aliphatic CH), 1732(conj. C=O), 1607, 1511(aromatic C=C), 1412(CH2 bend), 1259, 1200, 1172, 1065(C-O 및 C-F); 1H NMR(400 MHz, acetone-d6, δ in ppm): 8.34-8.31(d, 2H, Ar-H), 8.18-8.14(d, 4H, Ar-H), 7.76-7.73(t, 2H, Ar-H), 7.54-7.49(d, 3H, ArH), 7.27-7.25(m, 1H, ArH), 7.15-7.11(m, 3H, ArH), 6.37-6.31, 5.87-5.83(d, 2H, CH2=CH), 6.19-6.11(m, 1H, CH2=CH), 4.21-4.16(m, 4H, OCH2), 1.90-1.85(m, 4H, OCH2CH2), 1.76-1.51(m, 4H, OCH2CH2CH2).
RM-IIa의 합성. 건조 질소로 충진한 플라스크에 4-(6-(acryloyloxy)hexyloxy)benzoic acid28 (1.75 g, 5.90 mmol)를 넣고, flame drying으로 수분을 완전히 제거한 후, SOCl2 20 mL를 첨가시켰다. 이후 상온에서 교반하면서 pyridine 0.05 mL를 천천히 적가하였다. 이어서 온도를 80 ℃까지 높여 5시간 동안 환류∙교반시켰다. 반응종료 후 여분의 SOCl2를 감압증류하여 제거한 후, 6c(3.00 g, 5.90 mmol)와 건조 DCM 50 mL를 첨가시켰다. 여기에 pyridine 0.2 mL를 천천히 적가시켜 hydroxyl 반응물을 완전히 용해시킨 후, 상온에서 48시간 동안 반응을 더 진행시켰다. 반응 종료 후 pyridine을 증류수로 추출하여 제거하고, DCM을 단일 전개용매로 사용하여 컬럼크로마토그래피를 실시하였다. 이후 용매를 감압증류시켜서 얻은 투명한 액상 잔유물을 동결건조시켜 백색의 고체 생성물을 얻었다. 수득률: 50.3%; IR(KBr pellet, cm-1): 2948(aliphatic CH), 1753, 1719(conj. C=O), 1601(vinyl C=C), 1510(aromatic C=C), 1473(CH2 bend), 1199, 1169(C-O), 1018, 1002(C-F); 1H NMR(400 MHz, CDCl3, δ in ppm): 8.31-8.26(m, 4H, ArH), 8.15-8.01(m, 4H, ArH), 7.55-7.52(m, 2H, ArH), 7.41-7.37(m, 4H, OCH2), 6.99-6.92(m, 4H, ArH), 6.41-6.36(m, 1H, CH=CH2), 6.14-6.07(m, 1H, CH=CH2), 5.82-5.79 (m, 1H, CH=CH2), 4.18-4.15(m, 4H, OCH2).
RM-IIb의 합성. Quantities: 4-(6-(acryloyl oxy)- hexyloxy) benzoic acid28 (1.75 g, 5.90 mmol); 6d(3.00 g, 5.90 mmol). 합성 방법은 ‘RM-IIa의 합성’에서 기술된 바와 같다. 수득률: 43.2%; IR(KBr pellet, cm-1): 2948(aliphatic CH), 1753, 1719 (conj. C=O), 1601(vinyl C=C), 1510(aromatic C=C), 1473 (CH2 bend), 1199, 1169(C-O), 1018, 1002(C-F), 1H NMR (400 MHz, CDCl3, δ in ppm): 8.31-8.26(m, 4H, ArH), 8.15-8.01(m, 4H, ArH), 7.55-7.52(m, 2H, ArH), 7.41-7.37(m, 4H, OCH2), 6.99-6.92(m, 2H, ArH), 6.86-6.78(m, 2H, ArH), 6.41-6.36(m, 1H, CH=CH2), 6.14-6.07(m, 1H, CH=CH2), 5.82-5.79(m, 1H, CH=CH2), 4.18-4.15(t, 2H, OCH2), 4.07-4.03(t, 2H, OCH2).
전기광학적 측정. 수직배향제로 JSR사(일본)의 AL60702를 사용하였다. 음(-)의 유전율 이방성을 갖는 네마틱 액정으로서 Merck사의 MLC-6608(Δn: 0.083, Δε: -4.1, Tni: 90 ℃)을 사용하였다. VA cell 제작시 스페이서를 기판위에 산포시켜 cell gap이 3.31 μm가 되도록 하였다. Stanford research사(미국)의 DS345 function generator를 사용하여 1 kHz square wave AC(교류) 전계를 인가시켰다. Oriel사(미국)의 6293 lamp를 이용하여 365 nm에서 20 mW/cm2의 세기로 자외선을 조사시켜 광경화를 실시하였다. Nikon사(일본)의 POM을 사용하여 AC 전압 인가 유무에 따른 광학조직의 변화 양상을 관측하였다.
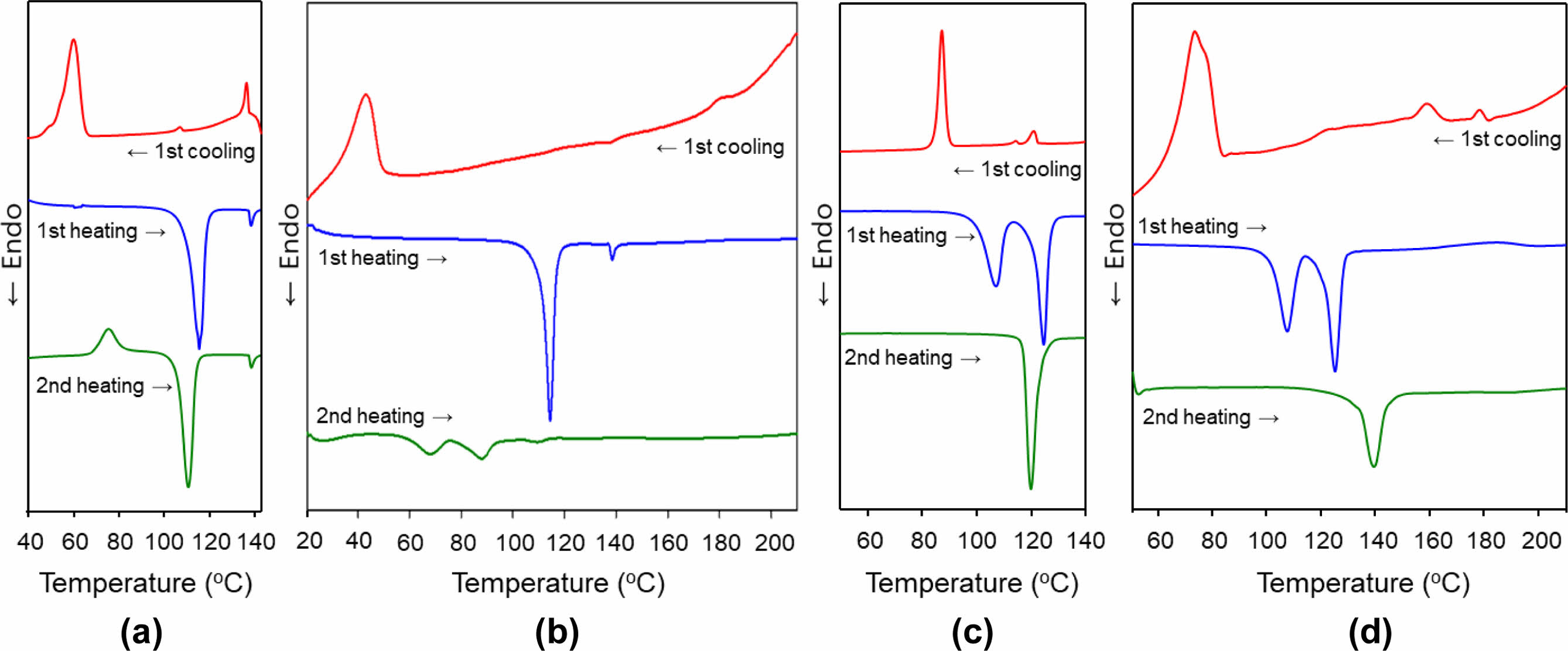
하키스틱형 RM의 열전이 거동. Figure 2 및 3에 DSC상에서 1차가열→1차냉각→2차가열 스캔시 얻어진 RM-I 및 RM-II의 열분석도를 나타내었다. Table 1 및 2에 DSC상에서 결정한 열전이온도(T) 및 엔탈피변화(△H) 값을 정리하여 나타내었다. Figure 2(a)에 말단 페닐기의 2,3-위치에 불소가 이치환된 RM-Ia의 DSC 열분석도를 나타내었다. 이때 DSC상에서 열전이온도 및 경화반응 온도를 조사하기 위하여 1 ℃/min 승온속도로 250 ℃까지 측정하였다. 결과로써 Figure 2(a)에서 알 수 있듯이 1차 가열시 두가지 흡열피크와 두가지 발열피크를 보였다. 먼저 약한 흡열피크(7.1 kJ/mol)를 가장 낮은 온도(85 ℃)에서 보인 후, 연이어 예리한 발열피크를
보이고나서, 더 높은 온도(100 ℃)에서 강한 흡열피크(55.6 kJ/mol)를 보였다. 이는 고체-고체 전이온도(Tk-k) 직후 결정화가 발생하고, 더 높은 온도에서 녹는점(Tm)이 측정되는 것으로 설명될 수 있다. 부차적으로 가장 높은 온도(150 ℃ 부근)에서 뚜렷한 발열(95.6 kJ/mol)이 관측되었다. 이는 용융상태에서 가열시 RM-Ia분자의 말단에 존재하는 비닐기의 중합에 의해 경화가 발생했음을 의미한다. Figure 2(b)에 페닐기의 2,4-위치에 불소가 이치환된 RM-Ib의 DSC 열분석도를 나타내었다. 1차 가열시 79 ℃에서 Tm에 해당하는 흡열피크(51.0 kJ/mol)를 나타내었다. 또한 150 ℃ 부근에서 뚜렷한 발열(87.9 kJ/mol)이 관측되었다. 이 역시 RM-Ib 분자 말단의 비닐기의 중합에 의해 경화가 발생했음을 의미한다.
한편, DSC상에서 경화 미발생 온도 범위(110 ℃) 까지 1차 가열후 냉각시 RM-I은 아무런 열량변화를 보이지 않았다. 2차 가열시에는, RM-Ia는 80 ℃에서 상대적으로 broad한 흡열피크(45.3 kJ/mol)를 나타내었다. 그러나 RM-Ib는 아무런 피크를 나타내지 않았다. 이는 1 ℃/min의 속도로 가열 및 냉각하여도 RM-I은 용융상태에서 결정화가 쉽사리 일어나지 못하며, 250 ℃까지 가열시에는 중합반응이 발생하여 열전이 거동이 영향을 받게 됨을 의미한다.
RM-II의 경우에도 측정온도 범위를 2가지로 나누어 DSC scan을 실시하였다: 첫째, 열경화가 예상되는 온도보다 낮은 온도(145 ℃)까지 scan을 실시(Table 1 및 Figure 3(a, c) 참조); 둘째, 열경화가 예상되는 온도보다 높은 온도(250 ℃)까지 scan을 실시(Table 2 및 Figure 3(b, d) 참조). 단, RM-II는 RM-I과 달리 DSC의 승온(냉각)속도를 10 ℃/min로 하여 주었다.
Figure 3(a)에서 알 수 있듯이 F원자가 페닐옥시기의 3,4,5-위치에 삼치환된 RM-IIa는 1차 가열 시 2개의 흡열피크를 나타내었다. Table 1에서 115 ℃에서 나타난 강한 흡열(ΔHm = 45.8 kJ/mol)은 Tm에 해당하며, 138 ℃에서 나타난 약한 흡열(ΔHi = 1.4 kJ/mol)은 등방성액체화온도(Ti)로 정의되었다. 연이어 냉각 시에는 3개의 발열 피크가 나타났다. 136 ℃에서 Ti를 가역적으로 보였으며, 107 ℃에서 메소상1-메소상2 간의 전이온도(Ts-s)를 비가역적으로 보인 후, 60 ℃에서 결정화온도(Tc)를 과냉각(supercooling)으로 보였다. 2차 가열 시에는 Tm과 Ti가 각각 110 ℃와 138 ℃에서 나타났다. 따라서 RM-IIa는 가열시에 한가지 메소상을 형성하고, 냉각시에는 두가지 메소상을 형성하되, 한가지 메소상은 단방성(monotropic)으로 형성함을 알 수 있었다.
Figure 3(c)에 페닐옥시기의 2,4,6-위치에 불소가 삼치환된 RM-IIb의 DSC 열분석도를 보여주었다. 1차 가열 시 다중 녹음 현상을 보여 Tk-k 및 Tm에 해당하는 2개의 흡열피크(ΔH)를 107 ℃와 124 ℃에서 각각 24.5 kJ/mol 및 31.0 kJ/mol의 크기로 나타내었다. 냉각 시에는 3개의 발열 피크를 나타내었다. Ti 및 Ts-s를 각각 120 ℃ 및 114 ℃에서 비가역적으로 나타냈으며, 과냉각 현상으로 인해 Tc를 87 ℃에서 나타내었다. 2차 가열시에는 오직 Tm만 120 ℃에서 나타났다. 따라서 RM-IIb는 단방성으로 2가지 메소상을 형성함을 알 수 있었다.
Figure 3(b, d)에는 RM-II를 열중합이 가능한 온도 범위(20~250 ℃)에서 가열→냉각→가열시 얻어지는 DSC 열분석도를 보였으며, 그 분석결과를 Table 2에 나타내었다. Figure 3(b)에서 RM-IIa는 1차 냉각시 Ti, Ts-s 및 Tc에 해당되는 발열 피크를 각각 182, 137 및 43 ℃에서 나타냈다. 이어서 2차 가열시 Tk-k, Tm 및 Ti가 각각 68, 88 및 110 ℃에서 나타났다. Figure 3(d)에서 RM-IIb는 1차 냉각시 Ti, Ts-s 및 Tc에 해당되는 발열 피크가 178, 158 및 73 ℃에서 각각 나타났다. 2차 가열시에는 오직 Tm만이 140 ℃에서 나타났다. 이처럼 RM-II의 경우는 RM-I의 경우와 달리 열경화에 해당하는 발열 피크를 DSC 열분석도 상에서 정의할 수 없었다. 한편 이와 같이 250 ℃까지 가열 스캔하는 경우, 앞서 145 ℃까지 가열 스캔하는 경우에 비해 열전이 피크의 형태가 무뎌지고 그 크기 (엔탈피 값)에 큰 변화가 발생하였지만, 열전이 종류와 그 수는 달라지지 않았다. 이러한 결과는 DSC상에서 가열시 열경화 반응이 진행되어 분자량이 증가하더라도, 그 메소상의 특성은 분자량 증가에 무관하게 동일하게 유지되어짐을 의미한다.
하키스틱형 RM의 광학조직. DSC로 결정한 열전이 온도를 기준으로 직교 POM을 사용하여 RM을 관찰할 때 얻어진 광학조직을 Figure 4에 나타내었다. 이때 승온 및 냉각 속도는 DSC 측정과 동일 조건으로 하여 주었다. POM으로 관측된상전이 온도는 DSC 분석 결과와 일치하였다. RM-Ia 및 Ib는 가열 및 냉각시 오직 결정상에 해당하는 광학조직(crystal texture)만 나타내었다(Figure 4(a)참조). RM-IIa의 등방성 액체를 냉각시 형성되는 메소상을 130 및 100 ℃에서 관찰하면 각각 Figure 4(b) 및 (c)에서 보여준 스멕틱상에 해당하는 광학조직(smectic texture)을 나타내었다. 또한 가열시 100 ℃에서 고체상을 관찰하면 crystal texture를 보이고, 130 ℃에서 메소상을 관찰하면 smectic texture를 나타내었다(Figure 4(d, e) 참조). RM-IIb의 등방성 액체를 냉각시 얻어지는 메소상은 118 및 110 ℃에서 스멕틱상의 전형적인 광학조직인 focal conic(Figure 4(f)) 및 fan texture(Figure 4(g))를 각각 나타내었다. 그러나 가열시에는 오직 crystal texture만을 나타내었다. 부가적으로 RM-IIa를 열경화가 발생되리라 예상되는 온도보다 더 높은 온도(230oC)까지 1차 가열후, 냉각하면서 160 ℃와 130 ℃에서 관찰하면 모두 banana-shaped LC의 B-phase와 유사한 smectic texture를 나타내었다(Figure 4(h) 및 (i) 참조). RM-IIb를 230 ℃까지 1차 가열 후 연이어 냉각하면서 170 및 143 ℃에서 관찰하면 각각 Figure 4(j) 및 (k)에 보여준 smectic texture를 나타내었다. 연이어 2차 가열시 100 ℃에서 Figure 4(l)에서 보여준 crystal texture만 나타내었다. 이러한 POM의 결과는 가열에 의하여 발생하는 아크릴레이트기의 중합반응에 기인하여 시료의 분자량이 증가하더라도 형성되는 메소상의 종류나 다양성에는 변화가 없음을 의미하는 것이다. 한가지 흥미로운 결과는 RM-IIa의 경우는 열경화전보다 열경화후에 보다 더 발달된 광학조직을 보이나, 반면 RM-IIb의 경우는 열경화후에 오히려 덜 발달된 광학조직을 보이게 된다는 점이다.
요약하자면, DSC 및 POM의 실험 결과로부터 RM-Ia 및 Ib는 녹음전이만 보이는 비액정성 물질임을 알 수 있었다. 반면, RM-IIa는 가열시 한가지 스멕틱상을, 냉각시 두가지 스멕틱상을 형성하였다. 또한 RM-IIb는 가열시 메소상을 형성하지 못하였으나, 냉각시에는 두가지 스멕틱상을 형성하였다. 따라서 RM-IIa는 한가지 스멕틱상을, RM-IIb는 두가지 스멕틱상을 단방성으로 형성하는 smectogen이라고 결론지을 수 있었다.
수직배향 셀의 제작 및 배향성 평가. Figure 5에 도식화하여 나타낸 공정을 따라 VA-mode cell을 제작하고 그 전기광학적 특성을 조사하였다. 본 연구에서 VA cell를 올바로 제작하기 위해서는, 우선적으로 기판 표면의 PI/RM-복합 배향막의 광학적 균일성의 확보가 전제되어야 한다. 따라서 이를 위해 합성한 RM-I 및 II의 함량을 PI계 수직배향제(JSR사, AL 60702) 대비 2 w%로 하여 제조한 혼합물 용액을 24 h 동안 교반시켜 미리 준비하였다. 또한 ITO 기판을 가로 2.0 cm, 세로 2.5 cm로 제도하여 절단 후 용매로 깨끗이 세척하여 별도로 준비하였다. 이렇게 준비한 ITO 기판 표면위에 먼저 준비한 PI/RM 혼합물 용액을 사용하여 스핀코팅을 실시하였다. 이때 얻어지는 박막의 두께를 균일하게 하기 위하여 1000 및 3000 rpm으로 각각 10 및 20초 동안의 두 단계 조건으로 스핀코팅을 실시하였다. 이렇게 얻어진 박막에서 용매를 제거하기 위하여 100 ℃에서 10분 동안 가열한 후, 이미드화를 진행하기 위하여 180 ℃에서 1시간 동안 가열하였다. 그후 최대 투과도를 감안하여 스페이서를 사용해 cell gap을 3.31 μm로 하여 주었다. 이때 배향막 자체의 광학적 균일성 평가를 위하여 LC를 주입하지 않은 채, UV(λ= 365 nm)를 30분 동안 조사시켜 광경화를 진행하여 VA cell을 제작하였다.
Figure 6에 편광자와 검광자를 직교시켜주거나 혹은 검광자 없이 편광자만 사용할 때 얻어진 VA cell의 POM 사진을 나타내었다. Figure 6의 좌측 두 컬럼(a, c, e, g)에 나타낸 POM 사진들로부터 알 수 있듯이, 한개의 편광자를 사용하여 명(bright) 상태를 관찰시 RM-I 및 II의 혼합물은 모두 상분리되는 부분이 거의 없이 전체적으로 균일하게 혼합되어 코팅되어 졌음을 알 수 있었다. 또한 Figure 6의 우측 두 컬럼(b, d, f, g)에 나타낸 POM 사진들과 같이 편광자와 검광자를 교차시켜 암(dark)상태를 관찰시 우수한 black 시인성을 나타내었다. 이는 만일 미미한 상분리가 있더라도 불균일성이 매우 미미하여 광학적 결함을 거의 주지 못함을 의미한다.
일반적으로 LC cell에서 배향막의 불균성은 빛샘 현상을 초래할 수 있어 실제 전자디스플레이에 적용시 광학특성을 저하시키는 요인이 될 수 있다. 본 연구에서는 모든 암상태에서의 어둡기 정도에 차이가 거의 없었으며, 또한 모든 명 상태에서의 밝기 정도에 차이가 거의 없었다. 이에 더하여 전체적으로 보아, 명상태와 암상대의 명암대비(contrast)가 뚜렷함을 알 수 있었다. 이처럼 비편광된 광원의 빛이 하나의 편광자를 통과하면 명상태를 보이고 직교된 편광자를 통과하면 암상태를 보이는 현상은 수직배향이 성공적으로 이루어져서 위상지연이 없음을 의미한다. 따라서 이러한 표면 특성평가의 결과를 토대로 본 연구에서 합성된 불소치환기를 갖는 하키스틱형 RM이 혼합된 복합 수직배향막은 그 전기광학적 특성 평가에 적합하게 제작되어 졌다고 확증할 수 있었다. 한편, 실용적인 측면에서 보면 이는 실제 VA 모드에 적용하기 적합한 코팅성을 보유하고 있음을 시사하는 것이다.
Figure 7에 하키스틱형 RM이 수직배향의 표면고정효과에 미치는 영향에 대한 이해를 돕기 위한 개념도를 보여주었다. Figure 7(a)에서 보여주었듯이 먼저 PI/VA 혼합물을 만들어 코팅하고, 가열에 의한 이미드화 반응에 의해 배향막을 만들어 주면, PI 수직배향제 뿐만 아니라 하키스틱형 RM도 함께 거의 90o의 편각(polar angle)으로 배향되어질 수 있다. 이러한 추정은 앞서 Figure 6(b)에서 직교 편광자를 사용하는 경우 굽은형 메소겐성 화합물인 하키스틱형 RM이 복굴절성을 전혀 나타내지 못해 암상태가 관찰된다는 결과로부터 실험적으로 입증될 수 있었다. 또한 이렇게 제작한 VA cell에서 하나의 편광자만 사용할 때 완벽한 명상태가 얻어지지 않았고, 편광자의 편광 방위각을 45o로 회전하여도 밝기에 거의 차이를 보이지 않았다. 이는 제작한 셀에서 배향제나 RM의 장축이 거의 완벽하게 수직 배향하지만, 하키스틱형 메소겐의 RM의 단축은 그렇지 못하며, 편각이 90o에서 벋어나 어느 정도의 각도를 가지게 되더라도 방위각 방향으로의 배향성은 전혀 없음을 의미한다.
VA-mode Cell의 전기광학적 성질. RM/PI-복합계 수직배향막에 의한 편각 표면고정에너지에 미치는 영향을 현상학적으로 알아보기 위하여, 먼저 앞에서 기술한 방법으로 광경화 이전단계까지의 공정을 거쳐 VA cell을 제작하였다. 여기에 유전율상수가 음인 LC(Merck, MLC-6608: Δn = 0.083; Δε = -4.1; Tni = 90 ℃)를 Tni보다 높은 온도에서 등방성 액체 상태로 주입하였다. 이후 네마틱상이 형성되도록 상온까지 방치하고, 이 상태에서 10 V의 전압을 인가하면서 UV(λ = 365 nm)를 30분 동안 조사시켜 광경화를 진행하였다. 이렇게 제작한 VA-mode cell의 전기광학적 특성을 알아보기 위하여 1 kHz의 구형파(square wave) 교류 전압을 10 V로 인가하면서 비활성 상태(off state: 전압이 없는 상태)와 활성 상태(on state: 전압이 인가된 상태)에 따라 발생하는 네마틱상의 광학조직의 변화를 상온에서 POM을 통해 관찰하였다. Figure 8에 UV 광경화의 실시 여부(전/후) 및 AC 전압의 인가 여부(on/off)에 따라 지속적으로 변화되는 네마틱상의 광학조직를 보여주었다. Figure 8에서 광경화에 무관하게 모든 VA-mode cell은 비활성 상태(전기장 off)에서 완전한 암 상태를 나타냈으며, 반면 활성 상태(전기장 on)에서는 네마틱상의 전형적인 schlieren texture를 나타내었다. 광경화전 RM-I 복합계 셀에 전압을 연속해서 on/off 하여 주면, 연속적으로 광학조직이 변하였다. 이때 off-상태(V = 0)의 호메오트로픽(homeotropic) 광학조직에서 on-상태(V = 10 V)의 schlieren 광학조직으로 안정화되기까지 걸린 시간은 RM-Ia 및 Ib 복합계 셀의 경우 각각 50 및 32초로 나타났다. 광경화 실시후 복합계 셀에 교류전압을 연속해서 on/off하여 주면, 더 발달된 schlieren texture가 나타났다. 이때 광학 조직이 안정화되기까지 걸린 시간은 RM-Ia 및 Ib 복합계 셀의 경우 각각 450 및 240밀리초로 나타났다. 이는 광경화 전에 비하여 광경화 후 전기장 on/off 에 따른 광학조직의 회복 시간이 상대적으로 짧아졌음을 의미한다.
광경화전 RM-II 복합계 셀에 연속해서 전압을 on/off 하여 줄 때 RM-IIa 및 IIb 복합계 셀이 안정화되기까지 걸린 시간은 각각 49 및 56초로 나타났다. 광경화 실시 후 복합계 셀에 교류전압을 연속해서 on/off 하여 줄 때 더 발달된 schlieren texture가 나타났으며, 광학조직이 안정화되기까지 걸린 시간은 RM-IIa 및 IIb 복합계 셀의 경우 각각 1.1초 및 800밀리초로 나타났다. 이는 광경화 전에 비하여 광경화 후 전기장의 on/off에 따른 광학조직의 회복 시간이 상대적으로 더 짧아졌음을 의미한다.
요약하자면, 1 kH, 10 V 구형파 교류 전압을 연속적으로 on/off 하여 줄 때 광경화 전과 비교하여 광경화 후에는 모든 RM/PI-복합계 셀에서 더 발달된 schlieren texture를 나타냄을 알 수 있었다. 또한 광경화 전과 비교하여 광경 후에는 상대적으로 빠르게 schlieren texture가 회복되고 안정화되어짐을 알 수 있었다. 이러한 전기광학적 실험 결과로를 토대로 본 연구에서 제작한 모든 VA-mode cell에서 RM/PI 복합계 배향막은 기존 배향막 대비 네마틱 음의 LC에 대한 편각 표면 고정효과를 충분히 향상시킬 수 있었다고 결론지을 수 있었다.
Figure 7(b)에 하키스틱형 RM이 LC의 편각 표면고정에너지에 미치는 영향에 대한 이해를 돕기 위한 개념도를 보여주었다. 복합계 셀내에서 유전률 이방성이 음인 LC(Δε= -4.1)는 전압을 비인가하는 경우(field-off 상태), PI/RM 복합계 배향제를 코팅하여 제작한 수직배향 기질표면에 의하여 완벽하게 기판에 수직하게(homeotropic) 배열하게 된다. 그러므로 위상지연이 전혀 발생하지 않아 서로 직교시킨 두 장의 편광자 사이에서 셀을 통과하는 빛이 차단되어 완전히 암 상태(Figure 8, V = 0 컬럼)가 얻어진다. 주목할 점은 이때 하키스틱형 RM도 함께 수직으로 배향하게 된다는 사실이다. 이는 비대칭 불소치환 하키스틱형 메소겐 구조가 RM 분자의 장축이 편각 표면고정에너지를 향상시키는데 유리하게 작용하는데 기인한다. 한편, 문턱 값보다 높은 전압이 인가되면(field-on: V > Vth) LC 분자가 기판에 대해 경사진 배향 상태가 되어 복굴절 효과가 생기게 되므로 입사광의 편광 방향이 회전하게 되어 타원 편광이 발생함으로써 빛이 검광자를 투과할 수 있게 된다. 다시 주목할 점은 이때 하키스틱형 RM도 함께 경사진 배향 상태가 된다는 사실이다. 이러한 활성 상태(on state: V = 10)에서 UV(λ = 365 nm)를 조사시켜 광경화를 진행하면 하키스틱형 RM 분자의 경사진 배향 상태를 고정시킬 수 있게 된다. 그래서 이후 비활성 상태(off state: V = 0)로 하여 주더라도 RM 분자의 경사진 배향 상태가 그대로 유지되기 때문에 선경사각(pre-tilt angle)을 반영구적으로 보유할 수 있게 된다. 이러한 근거로 광경화 후에는 선경사를 보유한 RM 분자 배열에 의하여 전압 on/off에 따른 LC의 구현 속도가 빨라진다고 추정할 수 있겠다.
|
Figure 2 DSC thermograms of RM-I (scan rate = 1°C/min): RMIa (a): Of the two 2nd heating curves, the lower one was recorded separately after preheating to 110°C; RM-Ib (b). |
|
Figure 3 DSC thermogram of RM-II recorded over two different scan temperature ranges (scan rate = 10 ℃/min): (a, b) RM-IIa; (c, d) RM-IIb. |
|
Figure 4 Optical textures taken at given temperature (magnification: x200). As-prepared sample: RM-Ia: on heating at (a) 91 ℃; RM-IIa: on cooling at (b) 130 ℃; (c) 100 ℃; on heating at (d) 100 ℃; (e) 130 ℃; RM-IIb: on cooling at (f) 118 ℃; (g) 110 ℃; thermally cured sample: RM-IIa: on cooling at (h) 160 ℃; (i) 130 ℃; RM-IIb: on cooling at (j) 170 ℃; (k) 143 ℃; on heating at (l) 120 ℃. |
|
Figure 5 Schematic illustration of the fabrication of VA-mode cell |
|
Figure 6 POM images of VA cell without LC. Under a polarizer: (a) Ia; (c) Ib; (e) IIa; (g) IIb. Under crossed polarizers: (b) Ia; (d) Ib; (f) IIa; (h) IIb. |
|
Figure 7 Schematic representation of (a) VA cell: alignment of hockey stick-shaped RM; (b) VA-mode cell: alignment of LCs with (-) dielectric constant; formation of pretilt angles by UV curing at 10 V. |
|
Figure 8 POM images of VA-mode cells taken before and after UV curing (λ = 365 ℃; t = 30 min; V = 10 V): the (-) LC (Merck, MLC6608: Δn = 0.083; Δε = -4.1; Tni = 90 ℃) was injected, and the square wave AC (10 V; 1 kHz) was applied. POM images were taken in off (V = 0 V) and on (V = 10 V) states; also included is a change in optical texture taken during the switching process (0 V → 10 V). |
|
Table 1 Transition Temperatures (T, ℃) and Enthalpies (ΔH, kJ/mol) for As-prepared RMs |
aAbbreviations: 1-H: 1st heating; 1-C: 1st cooling; 2-H: 2nd heating; bThe values in parenthesis represent the crystallization temperature (Tc) and enthalpy change (ΔHc), respectively; cFor a monotropic smectic phase, transition temperature (Ts-s) and enthalpy change (ΔHs-s). |
|
Table 2 Transition Temperatures (T, ℃) and Enthalpies (ΔH, kJ/mol) After Preheating to 250 ℃ |
aAbbreviations: 1-H: 1st heating; 1-C: 1st cooling; 2-H: 2nd heating. bThe values in parenthesis represent the crystallization temperature (Tc) and enthalpy change (ΔHc), respectively. cFor a monotropic smectic phase, transition temperature (Ts-s) and enthalpy change (ΔHs-s). |
본 연구에서는 하키스틱형 RM과 PI계 수직배향제의 혼합물로부터 복합수직배향막을 제조하고, 하키스틱형 RM의 도입이 편각 고정에너지에 미치는 영향을 평가하였다. 이를 위해 별도의 러빙 공정이나 전극 패터닝 과정 없이 광경화를 실시하여 VA-mode cell을 제작하고 그 전기광학적 특성을 평가하였다.
본 연구에서는 메소겐기의 말단 페닐기에 2(di) 또는 3(tri)-불소 원자가 치환된 하키스틱형 RM을 설계∙합성하였다. FTIR 및 1H NMR 분광분석법과 원소분석법을 실시하여 최종 생성물이 원하는 구조로 합성되었음을 알 수 있었다. 분자 구조적 관점으로 살펴보면, Figure 9에서 알 수 있듯이, 하키스틱형 RM은 메소겐의 한쪽 말단에 불소치환기를 가져 음의 유전율 이방성이 예상되는 유사-선형의 액정성 구조라 할 수 있다. RM-I은 하키스틱형 메소겐의 장축에 3개의 benzoate group을 가지며, 단축에 위치한 말단 페닐기에 이불소 원자가 비대칭적으로 치환되어 있다. 한편, RM-II는 하키스틱형 메소겐의 장축에 4개의 benzoate group을 가지고, 단축인 말단의 페닐기에 대칭적으로 삼불소 원자가 치환되어 있다. RM-I의 경우 비대칭적으로 굽혀진 메소겐의 장축이 충분이 길지 못하여 메소상을 형성하지 못하였으나, RM-II의 경우 메소겐의 장축의 길이대축비(aspect ratio)가 충분히 커서 C2v 방향으로 분자 packing이 가능해져서 스멕틱상을 형성할 수 있었다. 흥미로운 사실은 RM-II 분자에서 F-원자가 2,3,4-위치로 삼치환이 몰려 있는 IIa 구조가 1,3,5-위치로 삼치환이 분산되어 있는 IIb 구조에 비해 메소상 형성에 유리하게 작용했다는 점이다.
보통 VA mode의 경우 비활성 상태에서 수직 배향되어 있는 분자는 전압 인가 시 어느 쪽으로도 기울어질 수 있다. 이때 선경사각을 부여할 경우 원리상 액정분자는 어느 한쪽으로 선택적으로 기울어질 수 있게 되어 유리하다. 본 연구에서는 이러한 원리를 감안하여 막대형 메소겐(예, Merck사 RM257) 대신에 선경사각을 나타내기에 구조적으로 유리한 하키스틱형 메소겐을 채용하였다(Figure 9(a) 참조). 비대칭적으로 불소 원자가 치환된 하키스틱형 메소겐의 경우 그 구조적 특성상 본성적으로 음의 유전율 이방성을 가져 메소겐의 장축이 수직으로 배향되더라도 메소겐의 단축은 경사를 가질 수 있게 된다(Figure 9(b) 참조).
본 연구에서는 먼저 하키스틱형 RM과 PI 계열 수직배향제의 혼합물로부터 VA cell을 제조하고 그 표면배향 특성을 평가하였다. 결과로써 이러한 복합계 수직배향제에 의하여 하키스틱형 메소겐의 주축이 광학적으로 균일하게 수직배향되어 질 수 있음을 알 수 있었다. 단, 메소겐의 단축은 방위각 방향으로의 배향성은 없었으며 90o에서 벋어난 편극각도를 가졌다. 이러한 VA cell에 유전율 이방성이 음인 LC을 주입하여 VA-mode cell을 제작하고 광경화의 실시 여부에 따른 전기광학적 특성을 조사하였다. 결과로써 비활성 상태에서 RM/PI 복합배향막은 (-)LC를 homeotropic하게 수직배향 시킬 수 있었다. Vth보다 높은 전압을 인가시 (-)LC가 수직에서 벗어나 90o보다 작은 편극 각도를 갖고 기울어 졌다. 전압을 인가한 상태에서 UV를 쪼여 광경화를 실시하면 하키스틱형 RM의 메소겐 unit가 기울어진 상태로 고정되어 영구적으로 선경사각을 보유하게 할 수 있었다.
결론적으로, 하키스틱형 RM의 메소겐은 유사선형 구조라 수직배향제와 함께 사용할 때 편극 표면고정에너지의 감쇄를 가져오지 않으면서도, 비대칭적으로 굽은 구조라 선경사각을 부여할 수 있었다. 또한 실제 cell 제작에 있어서는 광경화를 사용할 수 있어 공정을 단순화시킬 수 있었다. 실용적인 측면에서 RM/PI 복합 수직배향제는 VA-mode cell에 적용시 빛샘이 없이 선경사각에 의해 응답성을 개선하는데 활용 가능하다.
|
Figure 9 A schematic diagram of vertical alignment reflecting the molecular structure attached to the surface of ITO coated glass substrate: (a) RMs; (b) a typical LC with negative dielectric constant. |
This Article2023; 47(3): 309-319
Published online May 25, 2023
Services
Correspondence toDepartment of Polymer Science and Engineering, Kumoh National Institute of Technology, Gumi 39177, Korea