
Yunjeh Ko, Jong-Woo Won*, Jin-Sang Hwang*, and Oh Hyeong Kwon† 
Department of Polymer Science and Engineering, Kumoh National Institute of Technology, Gumi, Gyeongbuk 39177, Korea
*BNTM Corporation, Chilgok, Gyeongbuk 39850, Korea
금오공과대학교 고분자공학과, *비엔티엠
Reproduction, stored in a retrieval system, or transmitted in any form of any part of this publication is permitted only by written permission from the Polymer Society of Korea.
Preliminary research on the composition and physical properties of synthetic materials is essential in the development stage of ultraviolet (UV)-cured films with excellent performance and productivity. In this study, a bifunctional urethane acrylate oligomer was synthesized by reacting polycarbonate diol with isophorone diisocyanate, and a photoinitiator was mixed with bifunctional acrylate and methacrylate monomers of various molecular weights to prepare an UV curable coating solution and UV-cured films. UV curing behavior of UV curable coating solution, thermo-mechanical properties, tensile strength and elongation of UV-cured films were evaluated on types of bifunctional acrylate-based monomers. It was confirmed that the curing rate and thermo-mechanical properties were improved as the bifunctional methacrylate monomer and the smaller molecular weight of each monomer than the bifunctional acrylate monomer. And the correlation was summarized through rubber elasticity theory.
우수한 성능과 생산성을 가지는 자외선 경화 필름의 개발단계에서 합성원료의 구성과 물성에 대한 선행연구는 필수적이다. 본 연구에서는 폴리카보네이트 디올을 이소포론 디이소시아네이트와 반응한 후 2-hydroxyethyl methacrylate를 부가하여 자외선 경화형 폴리우레탄 아크릴레이트 올리고머를 합성하고 여기에 다양한 분자량의 이관능 아크릴레이트 및 메타아크릴레이트 단량체와 광개시제를 혼합하여 자외선 경화형 코팅액을 제조하였으며 자외선 경화 거동을 확인하였다. 또한, 자외선 경화형 코팅액을 이형필름 위에 일정한 두께로 코팅하고 자외선 경화를 진행하여 자외선 경화 필름을 제조하고 필름의 인장강도와 연신율 및 열-기계적 특성을 평가하였다. 이관능 아크릴레이트 단량체에 비해 이관능 메타아크릴레이트 단량체가, 그리고 각 단량체의 분자량이 작을수록 경화속도, 인장강도 및 연신율, 그리고 열-기계적 물성이 향상되는 것을 확인하였으며, 고무탄성이론을 통하여 상관관계를 정리하였다.
The curing rate and thermo-mechanical properties of ultraviolet-cured films were investigated by varying bifunctional urethane acrylate oligomers on photo-reactive methacrylate and acrylate monomers. Then, the correlation between crosslinking density and characteristics of the films was summarized through rubber elasticity theory.

Keywords: methacrylate monomer, ultraviolet curing, curing kinetics, tensile strength, crosslink density.
본 연구는 2020년 중소벤처기업부 산학협력 거점형 플랫폼(R&D) 사업(과제번호: S3017724)의 지원에 의해 수행되었으며, 이에 감사드립니다.
저자들은 이해상충이 없음을 선언합니다.
자외선 경화 기술은 열경화 기술과 비교하여 빠른 경화속도에 따른 에너지 절약 및 생산성 증가, 무용제, 저온, 저점도 공정에 기인한 친환경, 저비용 등의 장점으로 최근 코팅, 전자기기 및 반도체 부품, 접착제, 3D 프린팅 및 잉크 등 다양한 분야로 적용 범위가 확대되고 있다.1-7 자외선 경화형 수지 조성물은 반응성 올리고머, 광반응성 단관능 및 다관능 아크릴레이트 단량체 및 광개시제 등으로 구성된다.8,9 반응성 올리고머는 자외선 경화 제품의 물성을 좌우하는 핵심 성분으로 경화반응에 의해 경화 필름의 물성을 좌우하는 역할을 하며, 말단에 메타아크릴레이트 관능기를 가지고 있어 단량체와의 반응을 통하여 가교구조를 형성한다.10 아크릴레이트계 소재는 중합이 가능한 불포화 이중결합을 포함하고 있기 때문에 열경화 뿐만 아니라 광경화에 의한 중합이 용이하다. 우레탄 아크릴레이트, 에폭시 아크릴레이트, 폴리에스터 아크릴레이트, 폴리에테르 아크릴레이트, 실리콘 아크릴레이트 등이 주로 사용되고 있으며 국내에서 약 30만 톤 이상의 수요를 가지는 고분자 원료이다. 이 중에서도 우레탄 아크릴레이트 올리고머는 우레탄의 우수한 기계적 물성, 유연성과 아크릴레이트의 내후성과 투명성을 동시에 가지며 반응성도 상대적으로 높아 생산 속도 면에서 상당한 이점을 가지고 있다.11-16 이는 자외선 경화에 의한 높은 가교밀도에 의한 것으로 보고되어 있다. 합성단계에서 디올 및 폴리올과 디이소시아네이트의 종류 및 조성 그리고 합성 방법에 따라 다양한 구조와 최종제품에서의 물성 제어 및 설계가 가능하여 접착제, 도료, 방수제, 코팅제 등의 여러 분야에서 가장 널리 사용되고 있다.17,18 특히, 최근에는 전자기기의 급속한 현대화에 따라 모니터 화면에 부착하여 기기의 성능을 보완해 줄 수 있는 고성능 필름의 제품생산에 많이 활용되고 있다. 또한 필름의 내충격성, 내마모성, 내화학성을 보유한 소재로의 광범위한 적용이 가능하다.
전자기기에 적용되는 필름소재의 성능을 보장하기 위해서는 광학적 및 열-기계적 성질의 최적화 생산공정이 요구된다. 광반응성 아크릴레이트 단량체는 우레탄 올리고머의 점도를 조절하거나 가교제로서 경화 필름의 물성을 조절하는 역할을 하며, 단량체의 관능기 수, 분자량 및 화학구조에 따라 경화속도 및 가교밀도가 결정되어 자외선 경화 필름의 성능을 좌우한다.19 그러므로, 광반응성 경화 필름의 경화속도 및 열-기계적 성질과 광반응성 올리고머 및 아크릴레이트계 단량체와의 상관관계를 명확히 확립함으로써 대량생산에서의 공정상의 정밀도를 확보할 수 있다.
본 연구에서는 자외선 경화 필름의 성능 및 생산성을 증대시키고자 하였으며, 폴리카보네이트 디올(polycarbonate diol, PCD)을 이소포론 디이소시아네이트(isophorone diisocyanate, IPDI)와 반응하여 폴리우레탄 아크릴레이트 올리고머를 합성한 후, 다양한 분자량 및 구조의 이관능 아크릴레이트 또는 이관능 메타아크릴레이트 단량체를 배합하여 자외선 경화 필름을 제조하고, 각 필름의 경화속도, 경화율, 열-기계적 특성과 인장강도 및 연신율의 변화에 대해 고찰하였다.
시약 및 재료. 이관능 우레탄 아크릴레이트 올리고머는 폴리카보네이트 디올(PCD, T5651, weight average molecular weight(Mw)=1000, Asahi Kasei, Japan)과 이소포론 디이소시아네이트(IPDI, Aldrich, USA), 반응 촉매로 dibutyltin dilaurate (DBTDL, Aldrich, USA), 열안정제로 butylated hydroxytoluene (BHT, Aldrich, USA), 반응성 희석제로 isobornyl acrylate (IBOA, TCI, Japan)를 사용하여 올리고머 중간체를 합성하고, 마지막으로 2-hydroxyethyl methacrylate(2-HEMA, Aldrich, USA)를 적용하여 아크릴레이트 반응기 도입에 의한 합성을 진행하였다. 이관능 메타아크릴레이트 단량체의 화학 구조식 및 분자량(molecular weight, MW)에 따른 경화 필름의 물성을 확인하기 위해 동일한 구조를 가진, 아크릴레이트 및 메타아크릴레이트 관능기 사이의 탄소수가 각각 4개, 6개, 9개인 단량체를 구입하여 사용하였다. 이관능 아크릴레이트 단량체는 tetramethylene glycol diacrylate(A4, TCI, Japan), hexamethylene glycol diacrylate(A6, TCI, Japan), nonamethylene glycol diacrylate(A9, TCI, Japan)를, 이관능 메타아크릴레이트 단량체는 tetramethylene glycol dimethacrylate(MA4, TCI, Japan), hexamethylene glycol dimethacrylate(MA6, TCI, Japan), nonamethylene glycol dimethacrylate(MA9, TCI, Japan)를 사용하였으며, 단량체의 화학 구조식을 Table 1에 정리하였다. 광개시제로는 DAROCUR® TPO(Ciba Specialty Chemicals, Japan)를 사용하였으며, 모든 시약들은 추가적인 정제 없이 사용하였다.
우레탄 아크릴레이트계 올리고머의 합성 및 분석. 올리고머의 합성 절차를 Figure 1에 나타내었다. 4구 비이커형 반응기에 폴리카보네이트 디올(PCD, 215 g)과 희석제(IBOA, 258 g), 그리고 촉매(DBTDL, 0.05 g) 및 열안정제(BHT, 0.54 g)를 투입한 후 온도를 60 ℃로 승온하면서 1시간 동안 균일하게 혼합하였다. 그 후 반응기의 내부 온도를 85 ℃로 승온하고 온도가 안정화된 시점에서 IPDI를 20분 동안 천천히 dropping하면서 우레탄 prepolymer를 2-HEMA 합성하였다. 이후 반응기의 온도를 85 ℃로 유지하면서(10.3 g)를 첨가하여 우레탄 prepolymer 말단에 메타아크릴레이트 반응기를 도입하였다. 반응 중간에 Fourier transform infrared spectroscope (FTIR, Nicolet 6700, Thermo Scientific, USA) 분석을 통해 -NCO 특성피크가 완전히 사라짐을 확인한 후 반응을 종료하여 올리고머를 합성하였다. 측정조건은 해상도 0.2 cm-1, scan 수 16회, scan 범위 600-4000 cm-1로 설정하였다. 합성된 올리고머는 gel permeation chromatography(GPC, THF solvent, Alliance e2695, Waters, USA)를 이용하여 수평균 분자량(number average molecular weight, Mn), 중량평균 분자량(Mw) 및 polydispersity index(PDI)를 측정하였다.
자외선 경화형 수지와 필름의 제조 및 경화거동 분석. 합성된 올리고머 30 g에 Table 1에 나타낸 이관능 아크릴레이트 또는 이관능 메타아크릴레이트 단량체를 각각 0.014 mol과 광개시제 1 wt%를 혼합하여 자외선 경화형 수지를 제조하였다. 이관능 메타아크릴레이트가 과량 배합되면 자외선 경화속도가 증가하여 단량체의 구조 및 분자량에 대한 영향이 미미할 수 있어, 이관능 단량체의 함량을 0.014 mol로 고정하였다. 자외선 경화 필름은 자외선 경화형 수지를 25 μm 두께의 PET 이형필름 위에 baker type film applicator를 이용하여 100 μm 두께로 코팅하고, metal halide 자외선 램프(M1500/EO, UVSMT, Korea)를 사용하여 4000 mJ/cm2의 광량으로 경화시켜 제조하였다. 각 단량체의 종류 및 분자량에 따른 광경화 거동을 photocalorimetric accessory(Omnicure S2000, Lumen Dynamics, USA)가 장착된 differential scanning calorimeter(DSC, Q200, TA Instruments, USA) - photo-DSC를 이용하여 측정하였다. 경화된 필름의 경화율(degree of cure) 분석을 통하여 다양한 물성의 원인을 도출할 수 있었다. 경화율은 경화전의 올리고머 특성피크와 경화 후의 특성피크의 흡수강도를 비교하여 산출할 수 있으며, FTIR을 이용하여 정량적으로 분석하였다.
자외선 경화 필름의 열-기계적 특성 평가. 배합된 이관능 아크릴레이트 또는 이관능 메타아크릴레이트 단량체의 구조 및 분자량에 따른경화된 필름의 모듈러스는 ASTM D4065에 준하는 방법으로 30-160 ℃ 구간에서 주파수 1 Hz, amplitude 20 mm, 승온 속도 5 ℃/min의 조건으로 dynamic mechanical analyzer(DMA, Q800, TA Instruments, USA)를 이용하여 tensile mode로 측정하였다.
자외선 경화 필름의 인장강도 및 연신율 평가. 경화된 필름의 인장강도는 universal testing machine(UTM QM100TC, QMESYS, Korea)을 이용하여 평가하였다. 시편의 크기는 길이 70 mm, 너비 10 mm, 두께 100 mm로 제작하여 상온(25 ℃) 및 고온(170 ℃)에서 300 mm/min의 인장속도로 측정하였다.
|
Figure 1 Synthetic process of polycarbonate based bifunctional urethane acrylate oligomer. |
우레탄 아크릴레이트 올리고머의 합성. 폴리카보네이트 디올(PCD)과 이소포론 디이소시아네이트(IPDI)로부터 합성된 올리고머의 FTIR 스펙트럼을 비교하였으며, 그 결과를 Figure 2에 나타내었다. 합성된 올리고머의 FTIR 스펙트럼에서 카르보닐기(C=O stretching, urethane)에 해당하는 1720 cm-1의 피크가 관찰되었으며, 1526 cm-1에서는 생성된 우레탄 결합의 N-H bending 피크가 관찰되었다. 또한, 올리고머의 말단에 치환된 아크릴레이트 및 메타아크릴레이트의 피크가 1636 cm-1, 1327 cm-1, 814 cm-1에서 관찰되어 말단에 아크릴레이트계 관능기가 도입된 이관능 우레탄 올리고머가 합성되었음을 확인할 수 있었다.20-23 GPC로 측정한 올리고머의 Mn은 22712 g/mol, Mw은 37153 g/mol, 그리고 polydispersity index(PDI)는 1.636이었다.
자외선 경화형 수지의 경화 거동. 합성된 올리고머에 배합된 광경화성 이관능 단량체의 종류 및 분자량에 따른 자외선 경화형 수지의 경화 거동을 확인하기 위해 photo-DSC를 측정하였으며, 그 결과를 Figure 3과 4에 나타내었다. 이관능 아크릴레이트 단량체(tetramethylene glycol diacrylate, A4)와 이관능 메타아크릴에이트 단량체(tetramethylene glycol dimethacrylate, MA4)가 포함된 자외선 경화형 수지의 자외선 경화 거동을 비교하여 측정한 결과(Figure 3), 메타아크릴레이트 단량체의 경화속도가 아크릴레이트 단량체에 비해 우수하였는데, 이는 메타아크릴레이트 단량체의 1차 라디칼 생성 속도가 동일한 구조의 아크릴레이트 단량체에 비해 월등히 빨라 반응속도가 증가한 것으로 판단된다.24,25 Figure 4는 분자량이 다른, 동일한 구조의 이관능 메타아크릴레이트 tetramethylene glycol dimethacrylate(MA4)와 nonamethylene glycol dimethacrylate(MA9)를 배합한 자외선 경화형 수지의 경화거동을 나타내었다. 동일한 구조의 단량체인 경우, 단량체의 분자량이 작을 때 반응 속도가 더 빠르게 나타났다. 동일한 구조의 단량체는 말단의 관능기 수가 고정되어 있어 분자량이 커질수록 단위 분자당 반응할 수 있는 관능기의 밀도가 감소할 뿐 아니라, 분자량이 커질수록 단량체의 이동 용이성이 감소하므로 반응속도가 감소하는 것으로 판단된다.18,26
자외선 경화 필름의 경화율. 자외선 경화를 통해 경화 필름을 제조한 후 경화된 필름의 FTIR 측정을 통해 경화 정도를 파악하였으며, 그 결과를 Figure 5에 나타내었다. 제조된 경화 필름은 올리고머가 도입된 메타아크릴레이트의 특성 피크인 1636 cm-1, 1327 cm-1, 814 cm-1에서의 흡수 강도가 현저히 감소함에 따라 자외선 경화 반응이 진행되었음을 확인하였다.26,27 필름의 경화율(degree of cure)은 경화된 필름에서의 치환된 아크릴레이트 및 메타아크릴레이트에서 보이는 흡수 피크 1636 cm-1의 강도를 계산하여 Table 2에 나타내었으며, 내부 기준(internal standard) 피크로는 1250 cm-1에서 나타나는 C-O 피크를 선택하였다.

여기서 A0 및 At는 자외선 경화 전/후의 1636 cm-1의 피크 세기를, 그리고 B0 및 Bt는 자외선 경화 전/후의 내부 기준 피크의 세기를 의미한다. 필름의 경화율은 메타아크릴레이트 단량체 그룹이 아크릴레이트 단량체 그룹보다 높은 값을 보였으며, 동일한 구조의 단량체의 경우는 분자량이 작을수록 높은 경화율을 보임을 확인하였다.
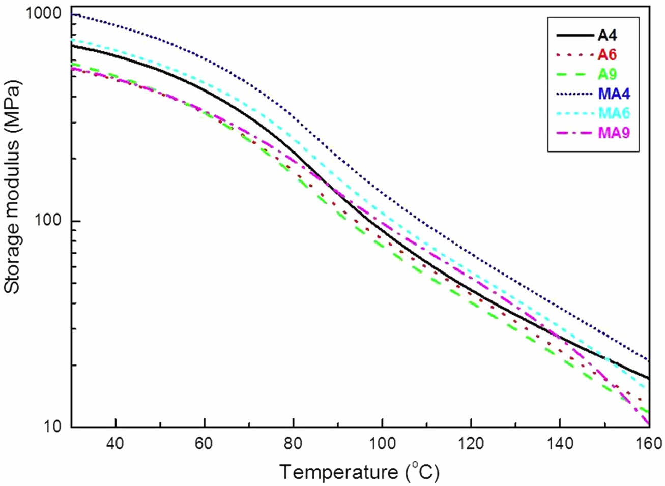
자외선 경화 필름의 모듈러스. 배합된 아크릴레이트 및메타아크릴레이트 단량체의 분자량 변화에 따른 자외선 경화 필름의 열-기계적 특성을 확인하기 위해 모듈러스 분석을 진행하였으며, 그 결과를 Table 3 및 Figure 6에 나타내었다. 30-160 oC 범위 사이의 온도에서 일관적으로 아크릴레이트 단량체가 적용된 경화 필름 대비 메타아크릴레이트 단량체가 적용된 경화 필름의 모듈러스가 모두 높은 값을 보였으며, 동일한 구조의 단량체를 사용한 경화 필름의 경우는 분자량이 작은 단량체를 적용한 경화 필름의 모듈러스가 더 높은 값을 보였다. 특히, MA4 단량체를 사용한 경화 필름은 30 oC에서 다른 단량체를 사용한 경화 필름보다 약 1.5-2배의 모듈러스를 보여주었으며, 온도가 높아질수록 모듈러스 값의 격차가 좁아지는 경향을 확인할 수 있었다. 이와 같이, 배합된 단량체에 따른 경화 필름의 열-기계적 성질은 앞서 분석한 경화율에 의존하는 것으로 판단된다.
자외선 경화 필름의 인장강도 및 연신율. 필름의 인장강도와 연신율 분석은 자외선 경화도에 중요한 단서를 제공한다. 상온(25 oC) 및 고온(170 oC)에서의 자외선 경화 필름의 인장강도 및 연신율을 측정하였으며, 그 결과를 Figure 7 및 Figure 8에 나타내었다. 인장강도의 경우, 메타아크릴레이트 단량체를 적용한 필름이 아크릴레이트 단량체를 적용한 필름보다 상온 및 고온에서의 인장강도가 높게 측정되었으며, 동일한 구조의 단량체를 적용한 경우는 분자량이 작은 단량체를 적용한 필름이 상온 및 고온에서의 인장강도가 높게 측정되었다. 반면, 연신율의 경우는 인장강도의 경우와 반대로 아크릴레이트 단량체와 분자량이 큰 단량체를 적용한 필름에서 높게 측정되었다.
앞서 서술한 자외선 경화 필름의 모듈러스, 인장강도 및 경화율의 열-기계적 특성변화를 보이는 이유는 메타아크릴레이트 단량체를 적용한 필름 및 동일한 구조의 분자량이 작은 단량체를 적용한 필름이 신속한 경화 속도와 높은 경화율을 보여 경화밀도가 증가할 것이라고 예상이 가능하며, 이에 따라 인장강도는 증가하는 반면 연신율은 감소하는 것으로 판단된다.이와 같은 예상결과를 명확히 검증하고자고분자의 경화밀도 및 경화점 사이의 평균 분자량을 고무탄성이론(rubber elasticity theory)의 유도식을 이용하여 계산하였다.28,29

여기서 v는 경화밀도(mol/cm3), Mc는 경화점 사이의 평균 분자량(g/mol)이며, Er은 elastic modulus(Pa), R은 기체 상수(8.314 J/K·mol), T는 Kelvin 온도(K), 그리고 d는 경화된 필름의 밀도(g/cm3)를 의미한다.
상기의 고무탄성이론에 의해 계산된 경화밀도(n) 및 경화점 사이의 평균 분자량(Mc)을 Table 4에 정리하였다. Table 4의 결과로부터, 앞서 예상하였듯이 메타아크릴레이트 단량체를 적용한 경우 및 동일한 구조의 분자량이 작은 단량체를 적용한 경우의 자외선 경화 필름이 더 높은 경화밀도와 더 작은 경화점 사이의 분자량을 가진 것으로 확인되었다. 이러한 결과는 Won 등이 보고한 자외선 경화형 감압 점착 필름에서의 배합된 단량체 구조와 분자량에 따라 경화밀도가 달라지고, 이는 인장강도, 연신율 및 열안정성에 영향을 주는 분석결과와 일치한다고 사료되며, 자외선 경화 필름의 성능 및 생산안정성을 확보해 줄 수 있을 것으로 기대된다.7
|
Figure 2 FTIR spectra of PCD and synthesized polycarbonate based bifunctional urethane acrylate oligomer. |
|
Figure 3 UV curing behavior of UV curable resin according to monomer structures; acrylate monomer (tetramethylene glycol diacrylate, A4) versus methacrylate monomer (tetramethylene glycol dimethacrylate, MA4). |
|
Figure 4 UV curing behavior of UV curable resin according to molecular weights of methacrylate monomer; tetramethylene glycol dimethacrylate (MA4) versus nonamethylene glycol dimethacrylate (MA9). |
|
Figure 5 FTIR spectra of synthesized urethane acrylate oligomer and cured films according |
|
Figure 6 Storage modulus of cured films according to chemical structures and molecular weights of photo-reactive acrylate (A4, A6, A9) and methacrylate (MA4, MA6, MA9) monomers. |
|
Figure 7 Tensile strength and elongation of cured films at 25 oC according to monomer types. |
|
Figure 8 Tensile strength and elongation of cured films at 170 oC according to monomer types. |
|
Table 3 Storage Modulus of Cured Films According to Chemical Structures and Molecular Weights of Photo-Reactive Acrylate (A4, A6, A9) and Methacrylate (MA4, MA6, MA9) Monomers |
|
Table 4 Calculated Molecular Weights between Crosslink Points (Mc) and Crosslink Density by Rubber Elasticity Theory |
PCD과 IPDI를 사용하여 자외선 경화형 폴리우레탄계 이관능 올리고머를 합성하고, 다양한 분자량의 이관능 아크릴레이트 또는 메타아크릴레이트 단량체와 광개시제를 혼합하여 자외선 경화형 수지를 제조하였다. 제조된 자외선 경화형 수지는 이형필름 위에 코팅하고 자외선 경화를 진행하여 필름형태로 성형하였다. 첨가된 이관능 단량체의 구조 및 분자량에 따른 경화 필름의 특성 변화를 평가 및 고찰하였으며, 이관능 단량체의 관능기가 메타아크릴레이트인 경우가 아크릴레이트인 경우에 비해 우수한 경화속도, 경화율 및 인장강도를 보였으며, 연신율은 아크릴레이트 관능기의 경우가 우수하게 나타났다. 이는 메타아크릴레이트 관능기를 가진 단량체를 사용한 경우가 경화밀도가 높고, 경화점 사이의 평균 분자량이 작은 경화 필름을 형성함에 따른 것으로 확인되었다. 동일한 관능기를 가진 단량체의 경우는 단량체의 분자량이 작을수록 우수한 경화속도, 경화율 및 인장강도를 보였으며, 연신율은 분자량이 큰 단량체가 높게 측정되었다. 이는 분자량이 작은 단량체가 적용된 경화 필름이 경화밀도가 높고 경화점 사이의 평균 분자량이 작은 경화 필름을 형성함에 따른 것으로 확인되었다. 본 연구를 통해 규명된 광반응성 배합원료의 구성에 따른 특성변화 연구결과는 자외선 경화 필름의 성능 및 생산성 안정에 기여할 수 있을 것으로 기대된다.
This Article2023; 47(3): 332-339
Published online May 25, 2023
Services
Correspondence toDepartment of Polymer Science and Engineering, Kumoh National Institute of Technology, Gumi, Gyeongbuk 39177, Korea