
Department of Chemical Engineering, Kyonggi Unviersity, 154-42, Gwanggyosan-ro, Yeontong-gu, Suwon 16227, Korea
경기대학교 화학공학과
Reproduction, stored in a retrieval system, or transmitted in any form of any part of this publication is permitted only by written permission from the Polymer Society of Korea.
In order to improve the flame retardancy of the rigid polyurethane foam, expandable graphite having different particle sizes and expansion rates was added to synthesize a rigid polyurethane foam. Urethane and isocyanurate ring was confirmed using fourier transform infrared spectroscopy (FTIR), and the heat resistance of the foam was analyzed using thermogravimetric analysis (TGA). The effect of expandable graphite on the mechanical properties of polyurethane foam was confirmed by measuring the compressive strength. The flame retardancy was analyzed through the UL94 V test, limited oxygen index (LOI), and measurement of the weight loss due to combustion. Although expandable graphite did not affect the compressive strength and heat resistance of polyurethane foam, in the flame retardant test, it was confirmed that the volume of char produced increased as the particle size and expansion rate of expandable graphite increased. Thus the flame retardant performance was improved.
경질 폴리우레탄 폼의 난연성을 개선하기 위해 입자크기와 팽창률이 다른 팽창흑연을 첨가하여 경질 폴리우레탄 폼을 합성하고 물성을 분석하였다. Fourier transform infrared spectroscopy(FTIR)를 사용하여 생성된 우레탄과 이소시아누레이트 링 결합을 확인하였으며, thermogravimetric analysis(TGA)를 이용해 폼의 내열성을 분석하였다. 팽창흑연이 폴리우레탄 폼의 기계적 물성에 미치는 영향은 압축강도 측정을 통해 확인하였다. 난연성은 UL94 V test와 한계산소지수(LOI) 및 연소에 따른 질량 손실률 측정을 통해 알아보았다. 팽창흑연이 폴리우레탄 폼의 압축강도와 내열성에 영향을 미치지는 않았으나 난연 시험에서 팽창흑연의 입자크기와 팽창률이 증가함에 따라 생성되는 char의 부피가 증가하여 난연성능이 개선되는 것을 확인할 수 있었다.
In order to improve the flame retardancy of the rigid polyurethane foam, expandable graphite having different particle sizes and expansion rates was added to synthesize a rigid polyurethane foam. There was no change in the compressive strength and heat resistance of polyurethane foam depending on the type of expandedable graphite, and the flame retardancy was improved as the particle size and expansion rate of expandable graphite increased.

Keywords: polyurethane foam, expandable graphite, flame retardancy.
본 연구는 2020년도 경기대학교 교내연구 지원에 의하여 수행되었음.
저자들은 이해상충이 없음을 선언합니다.
1849년 독일의 Wurtz와 Hoffman이 이소시아네이트와 폴리올의 반응을 이용한 우레탄의 합성을 발표하였고,1 1937년 Otto Bayer에 의해 고분자 화합물인 폴리우레탄(PU)의 상업적인 이용이 시작되었다.2,3 폴리우레탄 폼은 사용되는 폴리올과 이소시아네이트에 따라 연질 폴리우레탄 폼과 경질 폴리우레탄 폼으로 구분할 수 있다. 연질 폴리우레탄 폼은 open cell 구조로 이루어져 있으며 낮은 밀도, 흡음성, 통기성 및 복원성 등의 특징을 갖는다. 연질 폼은 주로 자동차 내장재, 가구용 쿠션 및 포장재, 매트리스 등에 사용된다.4-6 경질 폴리우레탄 폼은 closed cell 구조로 이루어져 있으며 낮은 열전도도와 우수한 기계적 강도가 특징이다. 경질 폼은 주로 파이프, 자동차 부품, 건축물 및 냉장고의 단열재로 널리 사용된다.7,8 경질 폴리우레탄 폼은 우수한 단열재료이지만 열적 안정성이 낮아 화재 발생시 일산화탄소(CO), 사이안화수소(HCN) 등의 독성 가스를 방출하기 때문에 사용이 제한되고 있다.9
경질 폴리우레탄 폼에 polyisocyanurate(PIR) 구조를 도입하여 PIR-PUR 폼으로 개질하면 폼의 난연성을 향상시킬 수 있다.10 PIR은 이소시아네이트 3분자가 결합하여 형성되는 고리 구조의 화합물이다. 우레탄 결합은 250-350 ℃ 부근에서 분해가 일어나는 반면 PIR 결합은 400 ℃ 이상에서 분해가 일어난다.11,12 따라서 PIR 함량이 높을수록 폴리우레탄 폼 내에 존재하는 고리 구조 함량이 증가하여 열 안정성이 증가한다.13 NCO index를 증가시키고 삼량화 촉매를 첨가하면 PIR구조를 비교적 많이 함유한 PIR-PUR 폼을 합성할 수 있다.14 하지만, PIR 구조의 도입만으로 독성 가스의 방출량을 감소시키고 난연성을 향상시키는 것은 한계가 있다.
폴리우레탄 폼 합성에서 주로 사용되는 유기계 난연제는 할로겐계와 인계 난연제가 있다. 할로겐계 난연제는 난연성이 우수하지만 환경문제를 초래할 수 있기 때문에 사용이 제한되고 있다.15 인계 난연제는 기상과 고상에서 동시에 난연 효과를 일으킨다. 기상에서는 인 함유 라디칼의 라디칼 포획 작용이 일어나고 고상에서는 char 형성이 용이하게 일어난다.15,16
팽창흑연(expandable graphite), aluminum hydroxide(ATH), ammonium polyphosphate(APP), melamine cyanurate(MC)등 무기계 난연제는 주로 유기계 난연제와 함께 폴리우레탄 폼 합성 시스템에 적용된다.17-24 무기계 난연제는 흡열반응을 통한 고분자 재료의 열분해 감소 효과를 통해 난연 효과를 일으킨다.25 무기계 난연제 중 팽창흑연은 탄소층 사이에 H2SO4, HNO3 등의 산을 투입한 층간 화합물이다.26 팽창흑연은 가열 시 화합물 내에서 산화-환원 반응이 일어나면서 기체가 발생하고 층간 부피가 증가하여 팽창된 char층이 생성된다.27 Shi는 팽창흑연으로부터 생성된 char가 가연성 기체 및 산소를 차단하는 역할을 수행하여 한계산소지수(LOI)와 열 안정성이 증가하는 결과를 얻었다.28 Modesti는 팽창흑연과 triethyl phosphate(TEP)를 첨가한 PIR-PUR 폼을 합성하였다. 그 결과 팽창흑연과 TEP의 시너지 효과로 인해 산소지수(OI)가 높아지고 열 방출 속도가 감소하여 난연성이 향상되는 결과를 얻었다.27 Li는 다양한 크기의 팽창흑연을 첨가하여 반경질 폴리우레탄 폼을 제조하고 기계적 물성 및 난연성에 미치는 영향을 연구하였다.29 팽창흑연의 입자크기가 증가할수록 생성되는 char의 부피가 증가하여 폼의 난연성이 향상될 수 있다.29-31 하지만, 일정 크기 이상이 되면 흑연 입자가 cell을 파괴하여 기계적 물성이 약화되고, 단위부피당 입자 수가 감소하여 팽창흑연이 폼의 난연성에 기여하는 능력이 저하된다.30 따라서 팽창흑연의 입자크기 뿐만 아니라 팽창률에 따른 난연성 연구를 진행하여 폼의 기계적 물성 및 난연성을 적절하게 유지할 수 있는 시스템 개발이 필요하다. 본 연구에서는 입자크기 및 팽창률이 다양한 팽창흑연을 첨가하여 PIR-PUR 폼을 제조하고 흑연의 입자크기와 팽창률에 따른 폼의 기계적 물성 및 난연성의 변화에 대해 분석하였다.
재료. 폴리올은 OH-value가 282.8 KOH/g인 한국 롯데케미칼㈜의 PIA base의 polyester polyol을 사용하였다. 이소시아네이트는 NCO%가 31.0%인 독일 BASF사의 M50을 사용하였다. 실리콘 계면활성제는 독일 Evonik사의 B8462를 사용하였다. 인계 난연제는 중국 Jiangsu Yoke Technology사의 triethyl phosphate(TEP)를 사용하였다. 미국 Air products사의 amine계 촉매 pentamethyldiethylenetriamine(PC-5)를 발포 촉진 촉매로 사용하였으며, 30% diethylene glycol + 70% potassium octoate(K-15)는 삼량화 촉매로 사용하였다. 발포제는 미국 Honeywell사에서 제조된 trans-1-chloro-3,3,3-trifluoropropene (HFO-1233zd(E))를 사용하였다. 팽창흑연은 Sigma-Aldrich 및 독일 AMG Graphite(Graphit Kropfmühl)사의 제품을 구입하였으며 팽창흑연에 대한 자세한 정보는 Table 1에 나타내었다.
폴리우레탄 폼 합성.폴리올, 계면활성제, 난연제, 촉매, 팽창흑연을 동일한 양으로 2L PE컵에 첨가한 뒤, 기계적 교반기를 이용해 1000 rpm으로 2분간 premixing한다. 발포제는 손실되는 양을 고려하며 혼합액에 넣고 mixing하여 정량을 맞춰주었다. 발포제를 넣은 혼합액에 이소시아네이트를 첨가하고 3000 rpm으로 15초간 mixing하여 경질 폴리우레탄 폼을 합성하였다. 또한 팽창흑연의 유무에 따른 폼의 물성 비교를 위해 동일한 방법으로 팽창흑연을 첨가하지 않은 neat 폴리우레탄 폼를 합성하였다. 합성한 폼은 상온에서 24시간 동안 경화시켰다.
밀도. 합성한 PUF의 겉보기 밀도는 ASTM D 1622-03에 준하여 측정하였다. 각 종류마다 30×30×30 mm 크기의 정육면체로 자른 샘플을 3개씩 준비한 뒤 질량과 부피를 측정하였다. 각 샘플의 질량을 부피로 나눠 밀도를 계산하고 평균값을 구했다. 본 실험에서 샘플의 밀도는 모두 45±1 kg/m3로 측정되었다.
구조 분석. 독일 Bruker사의 Platinum ATR이 부착된 ALPHA fourier transform infrared spectroscopy(FTIR)를 이용해 합성한 PUR-PIR 폼 내에 생성된 결합을 분석하였다.
압축강도. 한국 ㈜티앤돌프사의 Universal testing machine을 이용하여 ASTM D 1621-00에 따라 압축강도를 측정하였다. 50×50×50 mm 크기 샘플 3개의 압축강도를 측정하고 평균값을 구하였다.
Scanning Electron Microscopy(SEM). 일본 JEOL사의 JSM-7610F PLUS를 이용하여 합성한 폼의 cell morphology를 확인하였다. 백금코팅기를 이용해 진공 하에서 샘플의 표면을 백금(Pt)으로 코팅하여 전처리 한 뒤 분석을 진행하였다.
Thermogravimetric Analysis(TGA). 미국PerkinElmer사의 TGA4000을 사용하여 폼의 내열성을 분석하였다. 질소 분위기 하에서 40 ℃부터 700 ℃까지 가열하였으며 승온 속도는 10 ℃/min으로 설정하였다.
Vertical Burning Test(UL 94 V TEST). 플라스틱 제품의 연소성을 알아볼 수 있는 UL 94 수직 연소테스트는 ASTM D 3801-00에 준하여 진행하였다. 샘플의 크기는 13×13×125 mm로 각 종류마다 5개씩 준비하였다. 삼발이형 부탄가스 어댑터를 이용하여 불꽃의 크기는 2 cm, 불꽃이 나오는 입구로부터 샘플까지의 거리는 1.5 cm로 조절하였다. 각 샘플은 10초씩 2회 접염하였다.
한계산소지수(Limited Oxygen Index, LOI). 시료가 지속적으로 연소되기 위한 최소한의 산소농도를 알아내어 PUF의 난연 성능을 평가하였다. LOI 테스트는 한국 ㈜페스텍의 산소지수시험기(FT-LOI-404)를 이용하였고, ASTM D 2863-00에 따라 진행하였다. 샘플의 크기는 10×10×130 mm로 제작하였다.
질량손실측정. 동일한 크기의 불꽃을 일정 시간 동안 가해 시료가 연소했을 때의 질량 손실률을 비교하기 위한 테스트를 진행하였다. 샘플의 크기는 30×30×100 mm로 제작하였다. 삼발이형 부탄가스 어댑터를 이용하여 샘플에 가하는 불꽃의 크기는 3 cm, 불꽃이 나오는 입구로부터 샘플까지의 거리는 2 cm로 조절하였다. 각 샘플은 10분간 연소하였으며 연소 전과 연소 후 질량을 측정하여 질량손실률을 계산하였다.
팽창흑연 종류에 따른 폴리우레탄 폼의 구조 분석. PIR-PUR 폼은 PIR 생성량이 많을수록 폼의 내열성 및 난연성이 개선될 수 있다. 따라서 팽창흑연 첨가에 따른 우레탄 및 이소시아누레이트 링의 생성량을 확인하기 위해 FTIR 분석을 진행하였고, Figure 1에 나타내었다. 합성 과정에서 인계 난연제인 TEP의 양을 동일하게 첨가했으므로 TEP의 P-O 결합을 나타내는 1020 cm-1의 흡광도 값을 이용해 정규화하였다. 우레탄과 이소시아누레이트 링의 C=O stretching에 의한 1710 cm-1 부근의 peak와 이소시아누레이트 링의 C-N stretching에 의한 1410 cm-1 peak를 통해 폴리우레탄 폼에 생성된 우레탄과 이소시아누레이트 링의 생성량을 비교하였다. 모든 샘플에서 peak의 세기가 비슷하게 나타나 팽창흑연의 첨가가 PUR과 PIR 결합의 형성에 영향을 미치지 않는다는 것을 알 수 있다.
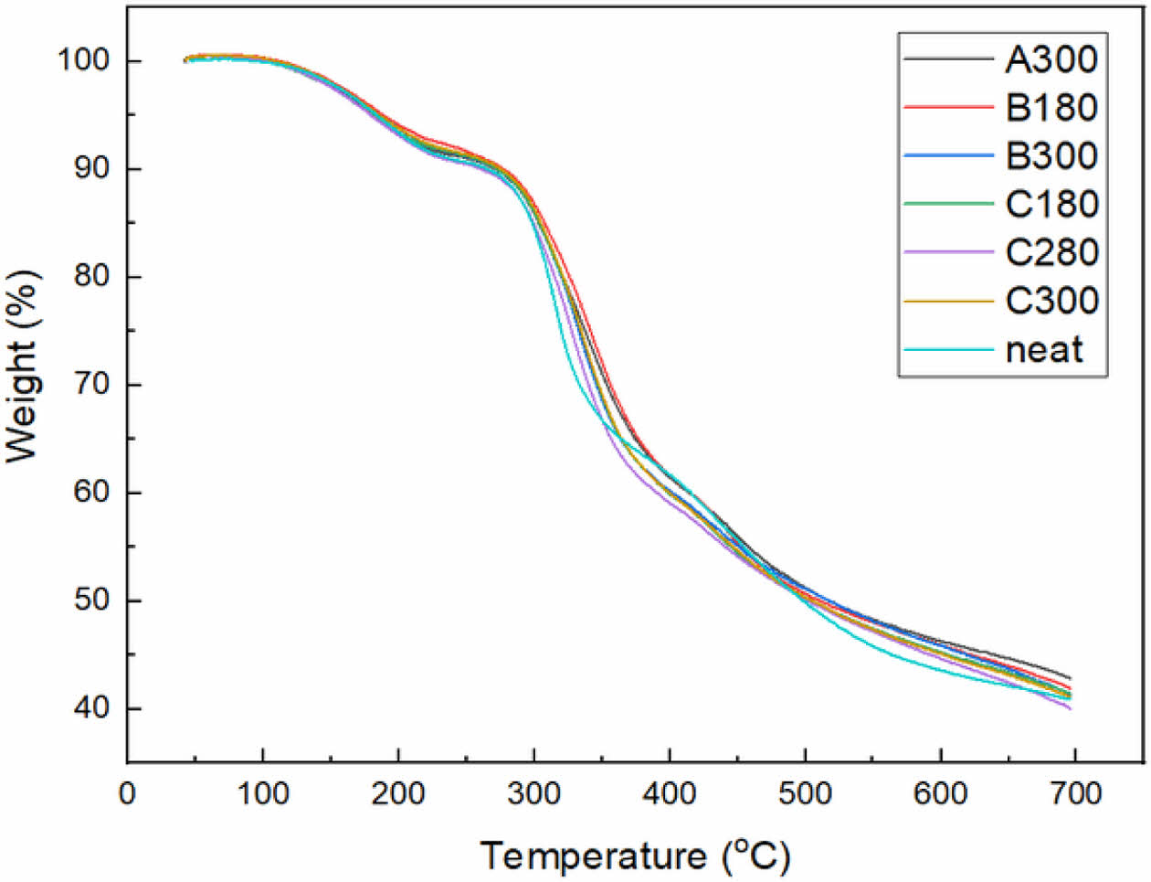
팽창흑연 종류에 따른 폴리우레탄 폼의 내열성. 합성한 폼의 내열성을 비교하기 위한 TGA 결과는 Figure 2와 Table 2에 나타내었다. 100 ℃ 부근에서 나타나는 첫번째 질량 감소는 수분과 TEP의 기화에 의한 것이며 모든 샘플에 대해 동일한 양을 첨가했기 때문에 그래프가 거의 일치하는 것을 알 수 있다. 이후 270 ℃와 400 ℃ 부근에서 일어나는 분해는 각각 우레탄과 이소시아누레이트 링 결합의 분해에 의한 것이다.11,12 우레탄 결합의 분해가 시작되는 지점의 온도 Tw=90%는 260-280 ℃ 범위에서 나타났으며, 이소시아누레이트 링 결합의 분해가 시작되는 지점의 온도 Tw=60%는 390-420 ℃ 범위에서 나타났다. 690 ℃까지 가열했을 때의 char 잔류량은 40-43%로 모든 샘플이 비슷하게 나타났다. FTIR 분석을 통해 팽창흑연 첨가에 따른 우레탄 및 이소시아누레이트 링 생성량의 차이가 거의 나타나지 않는 것을 확인할 수 있었으며 이에 따라 합성한 폴리우레탄 폼의 내열성이 비슷하게 나타난 것이다.
팽창흑연 종류에 따른 폴리우레탄 폼의 기계적 물성 분석. 합성한 폴리우레탄 폼의 압축강도 측정결과는 Figure 3에 나타내었다. 팽창흑연을 첨가하지 않은 폼의 압축강도가 가장 높게 측정되어 기계적 강도가 우수한 것을 확인할 수 있었다. Figure 4에서 합성한 폴리우레탄 폼의 기공의 형태를 보면 팽창흑연을 첨가한 폼의 기공의 크기가 비교적 불균일 하고 기공의 벽이 많이 파괴된 것을 확인할 수 있다. 기공의 크기가 불균일하고 벽이 불안정할수록 하중이 고르게 분산되기 어렵기 때문에 팽창흑연이 첨가된 폼의 압축강도가 더 낮게 측정된 것이다. 하지만, 팽창흑연 입자크기에 따른 압축강도는 비슷하게 나타났다. 따라서 180-300 μm 사이의 팽창흑연 입자크기 변화는 폼의 기계적 물성에 영향을 미치지 않는 것으로 판단할 수 있다.
팽창흑연 종류에 따른 폴리우레탄 폼의 난연성 분석. 팽창흑연 종류에 따른 폴리우레탄 폼의 난연성을 알아보기 위하여 UL94 V test 및 LOI 측정을 진행하였다. UL94 V test 결과는 Table 3에 나타내었다. 모든 샘플이 1차 및 2차 점화에서 불이 붙지 않고 V-0 등급으로 평가되었다. 따라서 자세한 분석을 위해 UL94 V test 후 연소한 폼의 모습을 비교하였고 테스트 전과 후에 각 종류마다 5개 시료의 질량을 측정해 연소에 의해 손실되는 질량의 평균을 계산하였다. Figure 5에서 neat 폼은 팽창흑연을 첨가한 폼들에 비해 탄화된 영역이 넓게 나타났다. UL94 V test 후 neat 폼은 평균 12.9%의 질량 손실이 일어났지만 팽창흑연을 첨가한 폼은 6-9%의 질량 손실이 일어나 약 3-6%가 개선되는 것을 확인할 수 있었다. 이는 팽창된 흑연의 char층이 열과 산소를 차단하는 역할을 수행하여 폼의 연소성을 저하시키기 때문이다. 또한 팽창흑연 입자크기에 따른 폼의 연소 정도를 비교했을 때 입자크기가 180 μm인 B180과 C180의 질량 손실률은 각각 7.89%와 8.61%로 입자크기가 280-300 μm인 폼에 비해 더 많은 질량 손실이 일어났다. 입자크기가 클수록 생성되는 char의 부피가 커져 열 차단막 역할을 수행하는 능력이 우수해지는 것이다.
Figure 6은 LOI 측정 결과이며 팽창흑연 입자크기가 작을수록 한계산소지수가 높아지는 경향성이 나타났다. 팽창흑연을 동일한 중량으로 첨가했을 때 입자크기가 작을수록 첨가되는 입자의 수가 증가하여 폼 표면에서 흑연이 차지하는 면적이 넓어지게 된다. 이때 폼 표면이 연소되기 위해서 필요한 산소의 양이 증가하여 LOI 값이 높아지는 것이다. LOI 테스트에서 각 샘플이 지속적으로 연소되는 모습을 관찰했을 때 팽창흑연의 입자크기 및 팽창률이 큰 샘플은 폼의 표면 위주로 불꽃이 빠르게 전파되는 양상이 나타났지만 입자크기가 작은 샘플은 불꽃이 폼 내부로 타고 들어가며 연소가 비교적 천천히 진행되었다. Figure 7에서 LOI 테스트 후 샘플의 단면을 비교했을 때 팽창흑연 입자크기가 클수록 내부로 침투하는 열이 감소하여 연소가 적게 일어난 것을 확인할 수 있다. 이는 흑연의 입자크기가 클수록 연소 시 생성되는 char 층의 부피가 증가하고 열과 공기 중의 가연성 가스 및 산소를 차단하는 효과가 커지기 때문이다.
팽창흑연 입자크기 및 팽창률에 따라 폼이 손실되는 정도를 자세하게 분석하기 위해 UL94 V test에서 불꽃 및 시료의 크기, 연소 시간을 증가시켜 테스트를 진행하였다. 연소 전과 연소 후 질량을 측정하고 질량손실률을 계산하여 Figure 8에 나타내었다. 또한 연소 후 탄화층의 두께를 비교하기 위해 연소 방향으로 폼의 절단하여 Figure 9에 나타내었다. 팽창흑연의 입자크기에 따른 연소 정도는 B180, B300 및 C180, C280, C300을 통해 비교할 수 있다. 입자크기가 작을수록 연소시 열이 폼 내부에 깊숙이 침투하여 질량손실률이 높았으며, 탄화된 층의 두께도 두껍게 나타나는 것을 알 수 있다. 팽창률에 따른 폼의 연소 정도는 입자크기가 동일한 A300, B300, C300을 통해 비교할 수 있다. 팽창률이 가장 적은 A300에서 탄화된 영역이 가장 크고 질량손실률이 높게 나타났으며 팽창률이 가장 큰 B300에서는 탄화된 영역이 비교적 작게 나타났다. 따라서 입자크기 및 팽창률이 클수록 폴리우레탄 폼의 난연성능이 향상됨을 확인할 수 있었다.
|
Figure 1 FTIR spectra of foams with expandable graphite. |
|
Figure 2 Thermogravimetric analysis of foams with expandable graphite. |
|
Figure 3 Compressive strength of foams with expandable graphite. |
|
Figure 4 Cell morphology of foams with expandable graphite. |
|
Figure 5 Foams according to type of expandable graphite after UL94 V test. |
|
Figure 6 LOI result according to type of expandable graphite. |
|
Figure 7 Cross section of foams according to type of expandable graphite after LOI test. |
|
Figure 8 Weight loss percent of foams with expandable graphite |
|
Figure 9 Cross section of foams with expandable graphite after weight loss test. |
폴리우레탄 폼의 난연성을 향상시키기 위해 무기계 난연제인 팽창흑연을 첨가하여 경질 폴리우레탄 폼을 합성한 후 입자크기 및 팽창률에 따른 폼의 난연성과 기계적 물성을 분석하였다.
FTIR 분석을 통해 팽창흑연이 폴리우레탄 폼 합성 과정에서 우레탄 및 이소시아누레이트 링의 생성을 방해하지 않아 결합의 생성량이 비슷한 것을 확인하였다. 이에 따라 TGA 분석에서는 PIR 생성 및 팽창흑연에 의한 폼의 내열성이 변화가 나타나지 않았다. 압축강도 측정을 통해 팽창흑연 첨가 시 폼의 기공이 불균일하게 생성되고 기공 벽이 훼손되어 기계적 강도가 감소하지만, 팽창흑연 종류에 따른 기계적 강도의 변화는 나타나지 않는 것을 확인하였다.
LOI 테스트에서는 팽창흑연의 입자크기가 작을수록 폴리우레탄 폼의 표면에 분포된 팽창흑연 입자 수가 증가하여 LOI 값이 증가하는 경향성이 나타났다. 하지만 UL94 V test와 질량손실률 측정에서는 입자크기와 팽창률이 증가할수록 질량손실률 및 탄화되는 영역이 감소하였다. 따라서 팽창흑연의 입자크기 및 팽창률이 증가할수록 가열 시 생성되는 char의 부피가 증가하여 열 차단막 역할을 효과적으로 수행하고 이에 따라 폴리우레탄 폼의 난연성이 향상됨을 확인하였다.
This Article2023; 47(4): 540-546
Published online Jul 25, 2023
Services
Correspondence toDepartment of Chemical Engineering, Kyonggi Unviersity, 154-42, Gwanggyosan-ro, Yeontong-gu, Suwon 16227, Korea