
Major in Polymer Science and Engineering, Kongju National University, Cheonan 31080, Korea
공주대학교 신소재공학부 고분자공학전공
Reproduction, stored in a retrieval system, or transmitted in any form of any part of this publication is permitted only by written permission from the Polymer Society of Korea.
The adhesive properties between polyethylene terephthalate (PET) film and conductive paste are important in securing durability of hazardous chemical detection sensors. Silane-modified cellulose nano fiber (CNF) was prepared using (3-Aminopropyl)triethoxysilane and the adhesive performance of the conductive paste to which the Si-CNF binder and the ethyl cellulose binder were applied was confirmed through a cross-cut test. Ethyl cellulose showed adhesive performance of 3B-4B level, whereas the paste applied with 2 wt% of Si-CNF showed adhesive property of 4B level. As a result of measuring water reactivity and acid reactivity, it was confirmed that Si-CNF has sufficient potential as a binder for conductive paste.
유해화학물질 감지 센서의 내구성 확보에 있어 polyethylene terephthalate(PET) 필름과 전도성 페이스트 사이의 접착특성이 중요하다. 실란 개질 셀룰로오스 나노섬유(cellulose nano fiber, CNF)가 (3-Aminopropyl)triethoxysilane를 이용하여 제조되었으며, Si-CNF 바인더와 에틸셀룰로오스 바인더가 적용된 전도성 페이스트의 접착성능을 cross-cut 시험을 통해 확인하였다. 에틸셀룰로오스는 3B-4B 수준의 접착성능을 보이는 반면 Si-CNF 2 wt% 적용된 페이스트의 경우 4B 수준의 접착특성을 나타내었다. 물 반응성과 산 반응성을 측정한 결과 Si-CNF의 경우 전도성 페이스트의 바인더로서 가능성이 충분함을 확인할 수 있었다.
Silane-modified cellulose nano fiber (CNF) was prepared using (3-Aminopropyl)triethoxysilane (APS), and the adhesive performance of the conductive paste to which the Si-CNF binder and the ethyl cellulose binder were applied was confirmed through a cross-cut test. Ethyl cellulose showed adhesive performance of 3B level, whereas the paste applied with 2 wt% of Si-CNF showed adhesive property of 4B level.

Keywords: adhesive property, binder, conductive phase, cellulose nano fiber, cross-cut.
이 논문은 이 논문은 2023년 공주대학교 학술연구지원사업의 연구지원과 2023년도 교육부의 재원으로 한국연구재단의 지원을 받아 수행된 지자체-대학 협력기반 지역혁신 사업의 결과입니다.
저자들은 이해상충이 없음을 선언합니다.
화학물질 제조업체 및 반도체 산업에는 유해화학물질 사용이 많고, 이들이 유출될 경우 환경오염 또는 인명피해를 유발할 수 있기 때문에 누액 및 유출을 감지할 수 있는 센서가 요구된다.1,2 일반적으로 유해화학물질 센서는 고분자 필름 위에 전도성 페이스트를 코팅하여 유해 화학물질이 센서 물질 층에 흡착될 때 전도도의 변화를 통해 감지하는 방식을 사용한다.3 현재 산업 현장에서 사용하는 유해화합물질 센서의 기재 필름으로 폴리에틸렌테레프탈레이트(polyethylene terephthalate, PET) 필름이 가장 많이 사용되고 있으며, 센싱 소재로는 전도성 고분자 또는 탄소필러 등이 혼합된 형태의 전도성 페이스트가 사용되고 있다. 이와 같은 센서가 유해화학물질 사용 현장에 적용할 때 산업현장의 고온/고습, 진동, 센서 접촉 등의 문제로 PET 필름 위에 코팅된 전도성 페이스트가 분리되는 문제가 자주 발생하는 것으로 파악되고 있다.4
이는 유기소재인 PET 필름과 무기 필러가 함유된 전도성 페이스트 사이의 접착특성이 열세하기 때문으로 파악되며 해결방안 중 하나가 PET와 전도성 페이스트 접착력을 개선할 수 있는 바인더 적용 연구 및 응용 등이 진행되었다. 특히, 폴리비닐알콜, 에틸셀룰로오스 또는 Na-CMC(sodium, carboxymethyl cellulose)를 전도성 페이스트 또는 고체전지 전극에서의 바인더로 적용하는 연구가 진행되었다.5,6 폴리비닐알콜, 에틸셀룰로오스 또는 CMC 등을 바인더로 적용한 페이스트/PET 필름의 경우 현장적용 시 일부 개선은 되지만 충분한 내구성 확보가 어려운 것으로 확인되었다. 따라서 새로운 형태의 바인더 적용 연구가 필요하며, 환경측면에서 자연에서 얻을 수 있는 셀룰로오스 계열 소재에 대한 고려가 추천될 수 있다.
셀룰로오스는 자연에 풍부하게 존재하는 바이오매스로부터 얻을 수 있으며 글루코스(glucose)가 연속적으로 결합한 구조로 이루어져 있다. 결정 구조와 비결정 구조로 연결되어 있으며 이러한 결합이 모여 마이크로피브릴(microfibril)이라는 구조체를 형성한다. 최근 동 소재를 분리하여 셀룰로오스 나노섬유 (cellulose nanofiber, CNF)를 제조하는 연구가 진행되고 있으며, 자연에서 얻을 수 있는 소재이면서 생분해성, 화학적, 열적 안정성 등의 장점을 가지고 있어 다양한 분야에서 응용 연구가 활발히 진행되고 있다.7,8 본 연구에서는 이와 같이 친환경의 천연 소재인 CNF에 대한 에틸 셀룰로오스 바인더 대체 가능성을 검토하고자 하였다. CNF는 나노화 및 다수의 수산기에 의한 뭉침이 발생하기 때문에, 바인더로 사용 시 CNF 분산이 중요하고 이를 위해 소수화 과정이 필요하다. 셀룰로오스계 섬유의 소수화에 관한 연구로 Bulota 등은9 산성 무수물에 의한 셀룰로오스의 아세틸화에 대하여 고찰하였고, Navarro 등은10 butyl 4-(boc-aminomethyl) phenyl isothiocyanate에 의한 카보닐화에 대하여 고찰하였다. 또한 섬유 매트릭스의 계면을 변형시키는 데 가장 효과적인 실란 커플링제에 대한 연구들이 진행되었으며, 이는 실란에 존재하는 탄화수소 사슬이 섬유의 습윤성을 개질하기 때문으로 보 고되고 있다.11-14 본 연구실의 기존 연구 결과에 따르면, (3-aminopropyl) triethoxysilane(APS)의 경우 개질 효과가 가장 우수하게 나타났으며, 개질 공정의 열처리 경화 과정(curing step)을 거치면서 셀룰로오스 표면에 존재하는 수산기와 실란올의 수산기 사이의 화학적 그래프팅을 촉진하여 실란 사이의 자기 축합 반응을 상대적으로 감소시킴에 따라 대상 소재와의 상용성이 증가하는 것을 확인하였다.15 따라서 본 연구에서는 실란 커플링제 중 APS에 의해 개질된 CNF를 사용하여 바인더로서 대체 가능성을 고찰하고자 하였다.
바인더가 혼합된 전도성 페이스트를 제조하기 위해서는 호모믹서 및 고압분산기 등의 공정이 요구되는데, 이 때 고 전단(high shear) 또는 발열에 의한 온도 변화 등으로 용액 평형이 깨져 뭉침 또는 침전 등의 문제가 발생할 수 있기 때문에 용매의 선정이 중요하다. 기존 바인더인 에틸 셀룰로오스의 경우 2-에톡시에탄올을 용매로 사용하고 있는데, 실란 처리된 CNF(Si-CNF)를 동일 용매에 적용 시 고압분산기 과정에서 상분리가 발생하여 용매 시스템 뱐경에 대한 연구가 추가로 필요하였다.
따라서 본 연구에서는 Si-CNF를 1 wt% 슬러리를 이용하여 제조하고, 극성 지수가 다른 용매 10종을 적용하여 Si-CNF의 분산성을 평가하였으며, 탄소 필러 페이스트 공정에 대해 연구를 진행하였다. Si-CNF를 바인더로 적용하여 탄소필러 등이 포함된 전도성 페이스트를 제조할 때 응집되는 현상이 방지하기 위해 위에 언급한 용매 변경과 함께 분산제 적용 연구를 진행하였다. 위와 같이 제조된 전도성 페이스트의 기본적인 특성을 평가하고, PET 필름에 코팅한 후 Cross-Cut 시험을 통해 접착특성 개선 정도를 확인하였고, 바인더 대체 가능성을 검토하였다.
재료. 실란 처리된 CNF는 CNNT(Korea)사의 1 wt% CNF slurry와 Sigma-Aldrich(USA)의 (3-Aminopropyl)triethoxysilane (APS) 실란커플링제를 사용하여 제조하였다. 양이온 및 비이온 계면활성제는 Sigma-Aldrich(USA)의 hexadecyltrimethyl ammonium bromide(HDTMA)와 sorbitan monostearate(Span-60)를 각각 사용하였다. Chloroform(CF, 비중 1.49)은 Samchun Chemical(Korea), 2-ethoxyethanol(2-EE, 비중 0.93), toluene, benzene, ehtylacetate(EA), ethanol(EtOH), methanol(MeOH), tetrahydrofurane(THF)는 Sigma-Aldrich(USA) 제품을 추가정제 없이 용매로 사용하였다. 카본블랙(carbon black, CB)은 Alfa Aesar(USA)사의 acetylene black(50% compressed, 99.9+% S.A. 75 m/g, bulk density 80-120 g/L, CB)를 사용하였으며 그래핀 나노플레이트(graphene nanoplatelets, GNP)는 중국 A Co.의 순도 90 wt% 이상, 크기 2-16 μm, 전기저항 0.15 Ω·cm 이하, 밀도 0.6 g/cm3인 제품을 사용하였다. 폴리아닐린(polyaniline, PANI)은 Sigma-Aldrich(USA)사 제품을 사용하였다. 에틸 셀룰로오스(ethyl cellulose)는 Pharma Solutions(미국)사의 ETHOCEL(점도 4cP, 비중 1.1, 5 wt% in 톨루엔/에탄올, 48% ethxyl)을 사용하였다. 2차 바인더로는 Samyoung Ink사의 CAT-10(폴리이소시아네이트계, 75±2%, 경화제)과 TM-585-60K-S(폴리에스테르, 고형분 60±2%, 주제) 제품을 사용하였고, 함량은 10 wt%로 고정하였다. 기재 필름인 PET 필름은 SK의 일반그레이드 제품을 사용하였다.
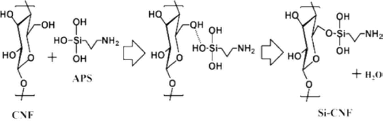
CNF의 실란 처리 및 CNF의 미립화. CNF의 실란처리 시 실란처리제의 양은 기존 연구 결과에서16 적정 함량으로 얻은 1 wt% 기준으로 진행하였다.에탄올 80 wt% 혼합용액에 APS 1 wt%를 넣어 1시간 동안 교반하여 실란커플링제의 가수분해를 진행하였고, 에탄올 혼합용액에 1 wt% CNF slurry를 혼합하여 2시간 동안 추가 교반을 통해 CNF에 실란 처리를 진행하였다. 이후, 실란 처리된 CNF slurry의 용매를 제거하기 위해 트레이에 붓고 50 ℃ 대류오븐에서 24시간 동안 건조한 후 120 ℃에서 2시간 동안 열처리하여 경화하였다. 실란 처리된 CNF를 오븐에서 건조 시 얻은 필름형태의 시료를 미립화하기 위하여 micro mill(Poly MIX PX-MFC 90D, Switzerland)과 planetary ball mill(Fritsch Pulverisette 5, Germany)을 이용해 분쇄하였다. Planetary ball mill은 쇠구슬(steel ball)을 CNF 무게 대비 15배로 하여 600 rpm에서 1시간 진행하였다. Figure 1은 CNF에 APS가 화학반응하는 메카니즘을 나타낸 것이다.
전도성 페이스트 제조. Si-CNF와 비교를 위해 에틸셀룰로오스 27 mL(질량으로 환산 시 1.49 g), CB 2 g, GNP와 폴리아닐린 각각 5 g, 2-ethoxyethanol 68 mL를 호모 믹서를 이용해 1시간 동안 7000 rpm으로 혼합한 후에 고압분산기를 이용하여 전도성 페이스트를 분산시켜주고 암모니아를 소량 첨가하여 도핑된 전도성 페이스트를 제조하였다. 또한, Si-CNF 용해에 최적의 특성을 보인 클로로포름에 Si-CNF를 각 0.5, 1.0, 1.5, 2.0 wt% 첨가하고, Si-CNF와 1:1 비율로 비이온 분산제인 Span 60®를 첨가한 후 24시간 동안 교반하였다. Si-CNF 용액 32 mL(2 wt% Si-CNF를 질량으로 환산 시 0.992 g), 클로로포름 63 mL, CB 2 g, GNP와 폴리아닐린 각 5 g을 호모믹서를 이용하여 1시간 동안 7000 rpm으로 혼합하고, 페인트 쉐이커를 이용하여 페이스트 내의 입자를 분산시켜주고 고압분산기를 이용하여 재 분산시킨 후 암모니아를 이용하여 도핑시켜 전도성 페이스트를 제조하였다. 두 시료 모두 2차 바인더인 에스터 10.0 wt%를 첨가하여 호모믹서로 혼합 후 경화제는 제조사의 추천 배합비, 주제 대비 18:2.2비율로 첨가하였다.
측정. Si-CNF 화학구조 분석을 위해 적외선 분광기(FTIR, Perkin Elmer, Spectrum Two, USA)를 이용하였고, 열중량분석기(TGA)는 TA Instruments사(USA)의 TGA Q50을 이용하였으며, 승온 속도를 10 ℃/min으로 하여 상온에서 800 ℃의 온도범위에서 질소분위기에서 실시하였다. 접착 특성을 비교하기 위해 PET 필름 위에 전도성 페이스트를 핸드 롤코터(RK Esiproofer, UK)를 이용하여 코팅한 후 Cross-cut 시험기(CC1000, TQC KOREA)를 이용하여 코팅 면을 직각의 격자무늬로 절단한 후 접착테이프를 붙인 뒤 90 초 이내에 180o 각도로 균일하게 뜯어내어 박리된 표면 상태를 확인하여 ASTM D3359 기준에 따라 등급을 구분하였다. 표면 저항 측정에는 Loresta-GP(MCP-T600, Mitsubishi Chemical Analytech, Japan)을 이용하여 바인더 함량별로 전기적특성에 미치는 영향을 확인하였다. 센서의 물반응성 측정은 Digital Multimeter (DT4281, Japan)를 이용하였으며, 센서에 물을 도포하기 전과 후의 저항 값을 측정하여 저항 변화량을 확인하였다. 센서의 검출속도 및 반응성은 Digital Multimeter(FLUKE101, Japan)을 이용하였으며, 센서 표면에 유해화학물질 1 mL 도포 전 후의 저항 값을 측정하여 저항 변화량을 확인하였다.
|
Figure 1 Reaction Mechanism between APS and CNF. |
실란 처리에 따른 CNF 표면의 화학적 변화를 고찰하기 위하여 FTIR을 측정하였고, 그 결과를 Figure 2에 나타내었다. Abdelmouleh 등에17,18 의하면 실란 처리된 셀룰로오스에 열처리를 적용하면 1200 및 1135 cm-1 부근에서 Si-O-Cellulose와 Si-O-Si 신축진동이 나타나는 것으로 해석하였으며, Figure 2에서 이들 피크가 확인되었다. 또한, 925 cm-1에서 -OH 결합을 800-720 cm-1에서 Si-C와 Si-O-Si 결합 등을 포함하는 폴리실록산 졸의 기타 반응기가 나타나는 것을 확인하였으며, 1560 cm-1 부근에서 아미노기(-NH2)를 확인할 수 있었다. Figure 3
제조한 Si-CNF 분말을 기존 바인더인 에틸셀룰로오스와 같은 용매인 2-에톡시에탄올에 24시간 동안 70 ℃에서 교반시켜 혼합한 후 방지하면 2-에톡시에탄올/Si-CNF 용액에서 층 분리가 발생하였다(Figure 4의 2-EE 참조). 층 분리 문제를 해결하기 위해서 극성 지수(polar index)가 다른 용매와 분산제(계면활성제)에 대한 실험을 추가로 진행하였다. 우선은 에틸셀룰로오스와 용매 시스템을 동일하게 하기 위해서 2-에톡시에탄올에 분산제를 적용하는 실험을 진행하였고, Figure 2는 양이온과 비이온 분산제 각각에 대해 바인더와 분산제의 혼합비를 1:2 비율(이는 혼합비율 실험시 1:1의 경우 분상상태가 유지되지 않았고, 1:2 이후에는 큰 차이가 없어 1:2를 최적 혼합비로 함)로 용액을 제조한 후 30분이 경과한 후 용액의 상태를 비교한 결과이다. 30분이 경과하였을 때 양이온 분산제를 첨가한 용액에서는 침전되어 층 분리가 발생한 반면, 비이온 분산제를 첨가한 용액은 30분 경과후에도 전체적으로 분산상태를 유지하는 것을 보여주었다.
Si-CNF와 비이온 계면활성제의 혼합비를 1:2로 고정하고, 극성 지수가 다른 용매에 대해 24시간 혼합 후 분산상 유지여부를 관찰하였으며 Figure 4에서 보여주는 것과 같이 클로로포름에 대해서 용액 상태가 유지됨을 확인하였다. 증류수의 경우도 분산상이 유지되어 전도성 페이스트의 제조에 사용하였지만 호모믹서와 고압반응기 공정에서 응집에 의한 회전불가로 클로로포름만 접착성능 개선 시험에 최종적으로 사용하였다.
Si-CNF 함량에 따라 제조한 페이스트의 표면저항성을 측정한 결과를 Figure 5에 나타내었다. 기존 에틸셀룰로오스 바인더 적용 페이스트 보다 표면저항이 전체적으로 높은 경향을 보이고 있다. 이와 같은 결과는 향후 센서 반응성에 영향을 줄 수 있기 때문에 전도성 필러의 재조합 실험이 필요한 것으로 판단하였고 GNP와 CB의 함량 변경에 따른 표면저항 변화를 측정하였다. 폴리아닐린의 양은 고정하고 GNP와 CB의 배합비를 아래 Table 1과 같이 변경하였다. 바인더 함량이 2 wt% 이상에서 표면저항이 증가하는데, 이는 바인더 함량이 낮은 부분에서는 필러의 분산이 개선되다가 2 wt% 이상에서는 분산 효과보다는 바인더 첨가에 의한 전도성 감소 효과가 우세하기 때문으로 해석된다.
Figure 6은 탄소필러 배합에 따른 표면저항 값을 나타낸 것이다. 기존 전도성 페이스트 배합인 GNP5CB2의 경우 대략 104 수준의 표면저항을 보여주는 반면 GNP와 CB의 총량이 고정된 상태에서 CB의 양이 증가할수록 표면저항이 5×103 수준으로 감소하는 것을 확인할 수 있으며 이와 같은 결과는 Si-CNF 바인더 적용에 따른 센서 반응성을 일정 수준 개선해줄 수 있을 것으로 판단되다. CB의 함량이 증가할수록 전기적특성이 개선되는 이유는 면적이 비교적 큰 GNP 사이에서 다리 역할을 하는 CB 입자가 많아짐에 따라 전도성 네트워크 형성에 유리하기 때문으로 해석할 수 있으며, 이는 탄소필러의 혼합사용 시 필러간 브리징(bridging) 효과에 따른 전기적특성이 개선되는 기존의 연구결과와 일치하는 현상이다.19-21 GNP5 CB2의 표면저항 오차 범위가 크게 나타나는데, 이는 GNP의 분산이 CB의 분산보다 어렵고 동일한 페이스트 제조 조건에서 GNP의 함량이 증가할수록 필러의 분산이 열세하여 측정 시편간 표면저항 오차가 증가하기 때문으로 해석된다.
표면저항 변화에 추가하여 Si-CNF 바인더의 첨가는 전도성의 감소를 야기할 수 있고 이와 같은 전도성의 감소는 센서의 반응성(반응에 따른 저항 변화 값)에 문제를 나타낼 수 있기 때문에 바인더 함량별 페이스트를 이용하여 제조한 PET 코팅 시편에 대해 25% 황산에서 반응성(저항 변화율) 시험을 진행하여 Table 1에 나타내었다. CB의 함량이 증가함에 따라 반응성은 증가하였고, CB 함량이 3이후에는 큰 변화가 없는 것으로 확인되었다. 반응성은 다음과 같이 저항변화율을 이용하여 계산하였으며, 여기서 Rt=0는 시간 0에서의 저항 값을, Rt는 시간 t에서의 저항 값을 의미한다.

Figure 7은 Si-CNF 함량에 따라 제조된 전도성 페이스트가 코팅된 시편의 Cross-Cut 시험 후 사진을 보여주는 것이다.
Cross-Cut 시험의 정량화를 위해 ASTM D3359에서는 method B를 통해 접착등급을 0B에서 5B로 구분하여 평가하고 있으며 Table 2에 요약하였다.
Table 2의 기준을 적용하면, 0.5 wt%의 경우 대략 2B, 1,0과 1.5 wt%의 경우 3B 또는 4B 수준이며, 2.0 wt%의 경우 4B-5B 정도를 보여주고 있다. 유해화학물질 센서가 현장에 적용되기 위해서는 4B 수준의 접착성능이 요구되며, Si-CNF 함량이 1.5 wt% 수준부터 4B를 만족하는 것으로 확인되었으며, 값을 Table 3에 요약하여 나타내었다. Figure 8은 Si-CNF 2 wt%와 에틸셀룰로오스의 Cross-cut 시험 결과를 나타낸 것으로 Si-CNF 2 wt%의 접착 성능(4B)이 에틸셀룰로오스(3B-4B)의 접착성능보다 우수함이 확인되었다. 유해화학물질 센서를 현장에 적용할 때 Table 3에 제시한 산성물질과의 반응성 이외에도 물 반응성(센서에 물을 도포하기 전과 후의 저항 값을 측정하여 저항 변화량을 확인하고, 식 (1)을 이용하여 반응성 계산)이 중요한 인자 중 하나이다. 물 반응성이 중요한 이유는 공기중의 습기 또는 청소 수 등에 의해 센서가 작동하지 않아야 하기 때문이다. Table 3에서 에틸셀룰로오스의 물 반응성은 2.55% 수준이며, Si-CNF의 경우 물 반응성이 2.70-3.23 수준으로 에틸셀룰로오스 대비 다소 높은 수준이나 반응성이 산물질과의 반응성 대비 매우 낮은 수준으로 감도 조정을 통해 물반응성을 배제시키는데 큰 문제가 없을 것으로 판단된다.
Figure 9는 기존 에틸셀룰로오스 바인더와 Si-CNF 바인더가 적용된 전도성 페이스트의 열안정성을 고찰하기 위해 열중량분석기를 측정한 결과를 나타낸 것이다. 에틸셀룰로오스 바인더 기반 페이스트의 경우 무게 손실이 약 5%일 때의 온도가 200-210 ℃ 사이에서 나타난 반면, Si-CNF 바인더 기반 전도성 페이스트는 251 ℃로 높게 나타남을 알 수 있다. 열분해온도의 증가는 유해물질 센서가 설치되는 고온의 공장환경에서 유리하게 작용될 것으로 판단된다.
|
Figure 2 FTIR spectra of ethylcellulose, CNF and Si-CNF. |
|
Figure 3 Si-CNF dispersion within the solution with different surfactant type. |
|
Figure 4 Si-CNF dispersion within the solution at various solvent. |
|
Figure 5 Surface resistance of conductive paste as a function of SiCNF content. |
|
Figure 6 Surface resistance of conduction paste as a function of CB content. |
|
Figure 7 Cross-cut test as a function of Si-CNF content. |
|
Figure 8 Cross-cut test of ethylcellulose (left) and Si-CNF (right) binder. |
|
Figure 9 TGA results for ethylcellulose and Si-CNF binder. |
|
Table 3 Cross-cut Grade and Reactivity of the Conducting Materials as a Function of Si-CNF Content |
Si-CNF를 아민계 실란 커플링제를 이용하여 Si-CNF를 제조하였고, FTIR의 Si-C와 Si-O-Si 신축진동 피크를 통해 개질을 확인하였다. Si-CNF의 분산 안정성 확보를 위해 계면활성제와 용매 변경시험을 진행하였고, 비이온 계면활성제와 클로로포름이 최적 분산 시스템으로 선정되었다. 에틸셀룰로오스 대비 Si-CNF 바인더 적용 페이스트의 전기적 특성이 다소 낮게 나타나 이를 개선하기 위해 GNP 대비 CB 함량이 증가할수록 브릿징 효과에 의해 전기적 특성이 증가함을 확인하였다. Cross-cut 시험결과 에틸셀룰로오스는 3B-4B 수준의 접착성능을 보이는 반면 Si-CNF 2 wt% 적용된 페이스트의 경우 4B-5B 수준의 접착특성을 나타내었다. 물 반응성과 산 반응성을 측정한 결과 Si-CNF의 경우 전도성 페이스트의 바인더로서 가능성이 충분함을 확인할 수 있었다.
This Article2024; 48(1): 46-52
Published online Jan 25, 2024
Services
Correspondence toMajor in Polymer Science and Engineering, Kongju National University, Cheonan 31080, Korea