
A Rom Oh, Gyeong Cheol Yu*, Jeong Jin Park**, Dae Sik Kim, Kyung Min Yu, Sun Young Lee**, Jae Min Lee***, and Seung Goo Lee*,† 
Research & Development Division, Hyundai Motor Company, Hwaseong, 18280, Korea
*Department of Applied Organic Materials Engineering, Chungnam National University, Daejeon 34134, Korea
**Applied Chemistry and Biological Engineering, Chungnam National University, Daejeon 34134, Korea
***Samyang Chemical R&D center, Daejeon 34055, Korea
현대자동차 연구개발본부, *충남대학교 유기응용재료공학과, **충남대학교 바이오응용화학연구소, ***삼양사 화학연구소
Reproduction, stored in a retrieval system, or transmitted in any form of any part of this publication is permitted only by written permission from the Polymer Society of Korea.
Polypropylene (PP) composites are widely employed in automotive interior materials but are prone to surface scratches that adversely affect gloss. This study investigated the impact of crystallographic properties on the scratch resistance of PP composites with the incorporation of nucleating agents. The effects were comprehensively analyzed; scratch and mechanical properties are analyzed using techniques such as differential scanning calorimetry (DSC), X-ray diffraction analysis (XRD), confocal laser microscopy, glossmetry, and mechanical testing. Isothermal crystallization experiments revealed that β nucleating agents delayed both crystallization initiation and termination. Avrami constant, n falls within the range of 3 < n < 4, indicating three-dimensional crystal growth. Consequently, the application of β nucleating agents significantly minimizes changed in gloss properties following scratches, attributed to reduced surface roughness alterations. This study underscored the pivotal role of nucleating agents in enhancing the scratch resistance and preserving the surface quality of PP composites for automotive interiors.
자동차 내장재로 사용되는 폴리프로필렌 복합재는 표면 스크래치가 발생하기 쉬우며, 이는 광택에 악영향을 미친다. 이번 연구에서는 PP 복합재에 첨가한 핵 형성제에 따라 결정학적 특성이 스크래치 저항성에 미치는 영향을 조사하였다. 시차주사열량분석(DSC), X-선 회절분석(XRD), 공초점 레이저현미경, 광택측정기, 기계적 물성 시험 등을 사용하여 스크래치 및 기계적 특성을 종합적으로 분석하였다. 등온결정화 실험을 통해 β 핵제가 결정화의 시작과 종료를 모두 지연시킨다는 사실을 확인하였다. Avrami 상수 'n'은 3 < 'n' < 4 범위 내에 속하며, 이는 PP 복합재의 3차원 결정 성장을 나타낸다. β 핵제를 적용하면 표면거칠기 감소로 인해 스크래치 후 광택특성의 변화를 크게 최소화할 수 있었다.
The polypropylene composite with the b nucleating agent exhibited both a and b crystals, whereas the a nucleating agent composite showed only a crystals. In DSC analysis, both nucleating agents promoted three-dimensional crystal growth. Notably, the b nucleating agent resulted in lower crystallization temperature. This led to an irregular crystal structure within the PP composite, enhancing its scratch resistance, the b nucleating agent composite displayed reduced scratch roughness and improved gloss.

Keywords: nucleating agent, scratch, Avrami constant, crystallization, polypropylene composites, automobile material.
This work was supported by the Hyundai motor group, Korea.
The authors declare that there is no conflict of interest.
Polypropylene (PP) composites are extensively used in both the interior and exterior components of automobiles such as door trims, bumpers, and panels. The mechanical properties of PP composite products can be fine-tuned by adding various modifiers, including inhibitors, ultra violet (UV) stabilizers, and functional fillers.1-5
Gloss is an optical property related to the degree to which a material reflects light in the direction of specular reflection of the incident light. As shown in Figure 1, the light that is not reflected is scattered by diffraction. This is caused by defects such as surface roughness and scratch.6-9 Scattering can occur at the interface between crystalline and amorphous materials owing to the nonuniform structure of the interface inside the material. A recurring concern arises from the influence of human fingernails on PP composites, leading to an increase in gloss.10 Owing to the increasing importance of quality control standards for automotive interior materials, gloss-related issues caused by scratches present a significant challenge. Therefore, research has been conducted to enhance the mechanical properties to reduce susceptibility to scratches.
The crystallinity of the polymers significantly influences the mechanical and thermal properties of the end products.11-15 Specifically, the crystallization of polymers in the molten state depends on their structural characteristics, exerting a notable impact on their dimensional stability, injection molding process, and product transparency.16,17 Polymer crystallization involves two key stages: crystal nucleation and crystal growth. Crystal nucleation occurs more rapidly as the cooling rate of the molten polymer increases, whereas crystal growth accelerates with increasing temperature. Both the cooling temperature and cooling rate substantially influence the crystallization behavior of molten polymers.
Three crystal structures of PP are depicted: α, β, and γ. The primary crystalline phase, α-crystal PP, exhibits a monoclinic structure with a melting temperature (Tm) of 165 ℃, density of 0.946 g/cm3, high elastic modulus, and remarkable thermal stability. In contrast, β-crystal PP adopts a pseudo-hexagonal structure with a density of 0.920 g/cm3 and a lower Tm of 150 ℃. High-purity β-crystal PP can be achieved by adjusting processing conditions or adding specific nucleating agents.18,19
In this study, α and β nucleating agents were used to modify the crystalline structure of PP composites, with the aim of investigating the impact of crystallographic properties on scratch and gloss characteristics. The crystallization behaviors at both isothermal and non-isothermal temperatures were analyzed depending on the nucleating agent used. Subsequently, the scratch, surface roughness, and gloss properties of PP composites were analyzed before and after scratching. Then, these findings were compared with the mechanical properties of the PP composites.20
|
Figure 1 (a) Interaction between light and the material; (b) scattering between light and surface of material; (c) scattering in heterogeneous internal structure of material. |
Material and Sample Preparation. Materials: Impact-grade PP, with a melt index of 10 g/min, was supplied by GS Caltex (Seoul, Korea). An inorganic reinforcing agent, Talc (KC5000L, KOCH, Korea), was used. α and β nucleating agents were supplied from ADEKA (ADK STAB NA-27) and ZICO (MPM2000) in Korea, respectively.
PP Composites Preparation: PP composites were extruded using a twin–screw extruder (Changsung P&R, Korea). Specimens measuring 160 × 240 × 3 mm3 were injected with a feed rate of 60-70, an extrusion speed of 180-200 rpm, a die temperature of 230 ℃, and a mixing zone temperature of 220 ℃. The composite consisted of 80-90 wt% PP, 5-10 wt% Talc, and 0.5 wt% nucleating agent.
Analysis of PP Composites. A differential scanning calorimeter (DSC, DSC 204 F1 Phoenix, Netzsch, Korea) equipped with a cooling device was employed to analyze the crystallization behavior of the PP composites containing the nucleating agents in a nitrogen atmosphere.
In the non-isothermal crystallization experiment, the thermal history was eliminated by stabilizing the samples at 200 ℃ for 5 min. Subsequently, the second heating phase was conducted at a rate of 10 ℃/min within the temperature range of 30-200 ℃. Cooling tests were conducted within the range of 200-30 ℃, utilizing cooling rates of 5, 10, 20, 30, and 40 ℃/min.21
In the isothermal crystallization experiment, the removal of thermal history involved stabilizing the samples at 200 ℃ for 5 min with a subsequent heating rate of 10 ℃/min spanning the 0-200 ℃ range. This step was followed by a rapid cooling process to temperatures of 132, 134, 136, 138, and 140 ℃, achieved at a cooling rate of 50 ℃/min, followed by a 20-min crystallization period.22-24 In the analysis of the isothermal crystallization behavior, the Avrami equation (eqs. 1 and 2) was primarily employed to assess the primary crystallization growth rate. The assumption underlying this analysis was that polymer crystallization occurred under isothermal conditions.25,26
Xt is the relative crystallinity at time t, n is the Avrami constant, and k is the crystallization rate constant. n is the frequency of crystal nucleation over time, with values between 0 and 1.
An X-ray diffractometer (XRD, D8 Discover, Bruker, USA) was used to investigate the crystal structure of the PP composites containing nucleating agents. Cu Kα radiation was used at 40 kV and 40 mA. The scattering regions were scanned in the range of 10-35° at increments of 1 ℃/min.
A hardness tester (430 P-II, Erichsen, Germany) was used in the scratch test. The tip from Disk types was used. In this test, we created 80 scratches at a 0.5 mm scratch interval. The scratch load was set to 7 N, and the scratch speed was maintained at 40 mm/s.
Field-emission scanning electron microscopy (FE-SEM, ULTRA plus, Zeiss, Germany) was used to observe the scratched shape of the PP composite. The scratched cross-sectional area was polished and cold-mounted using epoxy resin.
A confocal laser microscope (NS-3600, Nanoscope systems, Korea) was used to analyze the surface roughness of the PP composites. Roughness was quantified by analyzing mapping images obtained through confocal laser microscopy measurements, with roughness computed as the arithmetic mean roughness (Ra).
Gloss analysis was conducted using a gloss meter (spectro-guide sphere gloss 6824, BYK, Germany) to assess the gloss of the PP composite. Gloss measurements were performed three times, both before and after scratching, and the resulting values were averaged.
Tensile tests were conducted using a tensile testing machine (Strograph AP3, Toyoseiki, Japan) following ISO 527 standards. Flexural tests were conducted according to the ISO 178 standard using a three-point bending tester (Bendograph B, Toyoseiki, Japan). Low-temperature impact properties were evaluated using a pendulum impact tester for plastic testing (HIT25P, Zwick, Germany), and low-temperature impact tests were conducted in accordance with ISO 180 standards using a low-temperature chamber impact tester (No. 258-L impact tester, Yasuda, Japan).
X-ray Diffraction Analysis. XRD analysis was performed to investigate the changes in the crystal structure of the PP composites containing nucleating agents. The XRD patterns of the PP composites are shown in Figure 2. In the specimens where α nucleating agents were applied, distinct peaks were observed at approximately 14, 17, 19, 21, 22, and 29°, corresponding to the (110), (040), (130), (111), [(131), (041)], and (220) planes of α crystals, respectively.
In the case of samples with β nucleating agents, in addition to the peaks observed in α nucleating agent-treated samples, new peaks emerged owing to the formation of β crystals. These additional peaks were observed at approximately 16 and 21°, corresponding to the (300) and (301) planes, respectively. Thus, the presence of β nucleating agents induced the formation of a β crystal structure in these specimens.
Characteristics of PP Composites with Nucleating Agents. Non-isothermal crystallization: The DSC thermogram of the PP composites is presented in Figure 3, showing various cooling rates. The addition of both α and β nucleating agents showed no difference in Tm, but faster cooling rates shifted crystallization temperature (Tc) to lower temperatures. Table 1 provides an overview of the variations in the thermal properties with respect to the cooling rate. The degree of crystallization was determined by integrating the peaks in the DSC thermograph and dividing the obtained value by the melting temperature of 100% crystalline PP in literature.15
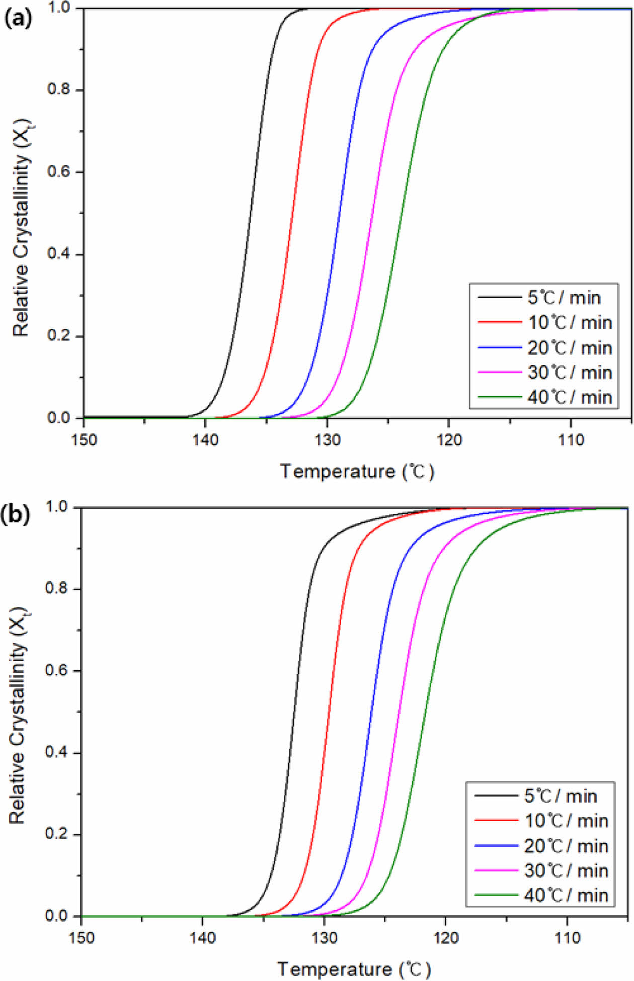
The Avrami equation was used to calculate relative crystallinity (Xt) over time. This relationship is further depicted in Figure 4, illustrating that faster cooling rates result in delayed crystallization and a prolonged duration to achieve the calorific value required for the crystallization reaction. In samples containing the β nucleating agent, both the initiation and termination of crystallization occurred at lower temperatures. This effect was caused by the presence of the β nucleating agent that promotes the formation of both α and β crystals.
Isothermal Crystallization: As shown in Figure 5, the results of isothermal crystallization were analyzed to examine the crystallization behavior of the PP composites with nucleating agents. Notably, as the crystallization temperature increased, both the initiation and termination of crystallization were delayed.27 This suggested that higher crystallization temperatures required longer durations for the crystallization reaction to proceed.
To quantify this effect, the half-crystallization time (t1/2) was determined using the relative crystallinity values, as shown in Figure 6. At crystallization temperatures ranging from 132 to 140 ℃, t1/2 values for specimens with α nucleating agents were 13, 19, 30, 47, and 75 s. In contrast, specimens with β nucleating agents exhibited t1/2 values of 25, 40, 67, 116, and 209 s. Crystallization was notably delayed in the presence of the β nucleating agent. This could be attributed to the different crystallization temperature ranges, wherein the specimen with the α nucleating agent exclusively formed α crystals, whereas the specimen with the β nucleating agent formed both α and β crystals.
The values calculated by the Avrami expression are presented in Table 2. Whereas the average value of “n” for specimens with the α nucleating agent was 3.457 and for those with the β nucleating agent was 3.781, notably, Avrami constant “n” represented three-dimensional crystal growth. Because all specimens exhibited values of “n” within the range of 3-4, irrespective of the nucleating agent used, in conclusion, all specimens underwent three-dimensional crystal growth.
Morphology. Figure 7 shows the cross-sectional images of the scratched PP composites containing nucleating agents. These images reveal not only the displacement of the material caused by the scratch tip but also a cutting phenomenon resulting in the formation of rod-shaped chips. The red circles in Figure 7 represent those chips. Although the morphologies of the chips exhibited no significant differences between the nucleating agents, variations in size were observed. The chip width and depth measurements are presented in Table 3. Notably, the application of the β nucleating agent resulted in smaller chip depths. This was the because of the formation of two crystalline phases following the addition of the β nucleating agent. Additionally, this might be attributed to the increased frictional resistance owing to the dispersion of stress at the scratch tip.
Surface Roughness. Table 4 presents the surface roughness analysis of the PP composites with nucleating agents. Notably, when the β nucleating agent was applied, the change in the surface roughness (ΔRa) was significantly smaller. This could be attributed to the formation of both α and β crystals that were smaller than α crystals. The irregularity of the crystalline structure enhanced scratch resistance.
Crystals initiated and propagated shear strain, and mechanical properties improved with increasing crystallinity. However, once a certain degree of crystallinity was reached, the crystals concentrated the stresses in tension and degraded their mechanical properties. In the case of specimens with β nucleating agents, PP composites coexisted with α crystals and caused the efficient stress transfer.
Gloss Properties. The results of the gloss test for the PP composites with nucleating agents are presented in Table 5. The initial gloss values (Gbefore) were comparable, irrespective of the nucleating agent type. However, the changes in gloss (DG) were significantly smaller in specimens treated with the β nucleating agent. This could be attributed to the concurrent formation of α and β crystals when the β nucleating agent was applied, that effectively mitigated changes in roughness caused by scratches. Higher surface roughness leads to increased diffuse reflections and consequently a lower gloss. Therefore, the addition of the α nucleating agent resulted in heightened surface roughness and a notable change in gloss. This could considerably diminish the quality of the product for consumers, as the contrast in gloss between the scratched and unscratched areas would be considerably pronounced.
Mechanical Properties. Figure 8 shows the mechanical properties of PP composites with nucleating agents. Notably, the application of β-nucleating agents resulted in increased tensile and flexural strength, whereas tensile and flexural modulus decreased. This effect was attributed to the formation of an irregular crystalline structure induced by the β-nucleating agent, enabling efficient stress transfer, and also owing to the creation of β-crystals that had a lower elastic modulus than α-crystals. With β nucleating agents, specimens coexist with α crystals, promoting effective stress transfer. Additionally, the incorporation of β-nucleating agents resulted in a decrease in tensile and flexural modulus. A slight increase was observed in impact strength (at 23 ℃) and cold impact strength (at 0 ℃) (see Figure 8(c)) that was likely attributed to the irregular crystalline structure formed by the β nucleating agent, enhancing ductility.
|
Figure 2 XRD curves of the polypropylene (PP) composites with nucleating agents. |
|
Figure 3 DSC curves of PP composites with different cooling rates: (a) heating curve PP with the α nucleating agent; (b) cooling curve of PP with the α nucleating agent; (c) heating curve of PP with the β nucleating agent; (d) cooling curve of PP with the β nucleating agent. |
|
Figure 4 Relative crystallinity (Xt) as a function of temperature with cooling rates: (a) with the α nucleating agent; (b) with the β nucleating agent. |
|
Figure 5 DSC curves of PP compounds with crystallization temperatures: (a) with the α nucleating agent; (b) with the β nucleating agent. |
|
Figure 6 Relative crystallinity (Xt) with crystallization temperatures: (a) with the α nucleating agent; (b) with the β nucleating agent. |
|
Figure 7 SEM images of the scratched cross-section on PP compounds with nucleating agents: (a) α nucleating agent; (b) β nucleating agent. |
|
Figure 8 Mechanical properties of PP compounds with nucleating agents: (a) tensile properties; (b) flexural properties; (c) Izod impact strength of PP composite with nucleating agent at 23 ℃ and at 0 ℃. |
In this study, the effects of α and β nucleating agents on the crystal and gloss properties of PP composites were analyzed. XRD analysis revealed that the addition of the α nucleating agent resulted in the formation of α crystalline phases in PP, whereas the incorporation of the β nucleating agent led to the coexistence of α and β crystalline phases.
DSC analysis was performed to determine relative crystallinity using the Avrami equation under non-isothermal conditions. The results showed that the crystallization was delayed as the cooling rate increased. Isothermal analysis indicated that the addition of the β nucleating agent delayed crystallization, requiring more time. This delay was attributed to the simultaneous presence of α and β crystalline phases, each with different crystallization temperatures.
Morphological analysis of the cross-sections of the PP composites through SEM revealed the generation of rod-shaped chips at the scratch sites. Although the morphology of the chips did not significantly differ based on the nucleating agent, the chips were smaller with the β nucleating agent. Surface roughness analysis indicated that the initial roughness did not vary, but composites with the β nucleating agent exhibited smaller changes in roughness post-scratching. These results could be attributed to the β nucleating agent promoting the formation of both α and β crystalline phases, enhancing stress transfer and lowering surface roughness. Gloss analysis demonstrated that the addition of the β nucleating agent did not significantly alter gloss before and after scratching, reducing visual differences.
Finally, the study examined the impact on mechanical properties. The inclusion of the β nucleating agent led to improvements in tensile, flexural, and impact properties, owing to easier stress transfer and increased ductility resulting from the irregular crystal structure formed.
Various analyses were performed to assess the effects of nucleating agents. Particularly, the β nucleating agent demonstrated advantages in maintaining glossiness after scratching and enhancing overall mechanical strength. Consequently, the β nucleating agent was concluded to be a superior choice for automotive interior materials than the α nucleating agent.
This Article2024; 48(2): 171-178
Published online Mar 25, 2024
ServicesIntroduction
Experimental
Results and Discussion
Conclusions
Correspondence toDepartment of Applied Organic Materials Engineering, Chungnam National University, Daejeon 34134, Korea