
In Gyu Choi, Se Jun Yang, Tae Min Lee, Jae Uk Yoon, Jin Woo Bae†
, and Byeong Uk Nam† 
Department of Applied Chemical Enginnering, Korea University of Technology and Education
한국기술교육대학교 에너지신소재화학공학부 응용화학공학전공
Reproduction, stored in a retrieval system, or transmitted in any form of any part of this publication is permitted only by written permission from the Polymer Society of Korea.
In this study, biodegradable poly(lactic acid)/poly(3HB-co-4HB) blends with different contents of compatibilizer were prepared with a twin-screw extruder. The compatibilizer, PHA-g-MA, was prepared by introducing maleic anhydride, an initiator, and a crosslinking agent onto the biodegradable poly(3HB-co-4HB) by reactive extrusion method in a twin-screw extruder. As the contents of the compatibilizer were increased in the compatibilized poly(lactic acid)/poly(3HB-co-4HB) blends, the tensile strength was decreased, while the elongation and impact strength were improved. To confirm the effect of these mechanical properties, the crystallization behavior was analyzed at various isothermal temperature, and the Avrami model was applied to determine the parameter such as crystallinity, crystallite size, and crystallization rate. Through this results, it was confirmed that the increase of the compatibilizer content in the compatibilized PLA/PHA blends interfered the growth of the crystal nuclei of the poly(lactic acid)/poly(3HB-co-4HB) blend, thereby reducing the crystallinity and thus significantly affecting the mechanical properties. Additionally, hindering the growth of crystal nuclei delay the crystallization rate, resulting in a larger crystallite size and thus a substantial increase in transparency.
본 연구에서는 생분해성 poly(lactic acid)/P(3HB-co-4HB) 블렌드에 상용화제를 함량별로 첨가하여 twin screw extruder로 제조하였다. PHA-g-MA 상용화제는 생분해성 수지인 poly(3HB-co-4HB)에 maleic anhydride와 개시제 그리고 가교제를 함께 도입하여 twin screw extruder에서 반응 압출하여 제작하였다. 제작된 poly(lactic acid)/poly(3HB-co-4HB)블렌드에 상용화제의 함량이 높아질수록 인장강도가 낮아지는 반면, 연신율과 충격강도는 향상되었다. 이러한 기계적 물성의 영향을 확인하고자 다양한 등온 온도에서 결정화 거동을 분석하고 Avrami model을 적용하여 결정화도, 결정화 크기, 결정화 속도 등을 확인하였다. 이를 통해, PLA/PHA 블렌드에서 상용화제의 함량 증가는 poly(lactic acid)/poly(3HB-co-4HB) 블렌드의 결정핵 성장을 방해하여 결정화도를 감소시켜 기계적 물성에 밀접하게 영향을 준 것을 확인하였다. 또한, 결정핵 성장의 방해는 결정화 속도를 늦춰 결정화 크기가 커져 투명성을 크게 증가시켰다.
Polyhydroxyalkanoate (PHA)-g-methylacrylate (MA) was modified through the crosslinkers and the free radical initiator via an extruder. The produced compatibilizer was applied to the poly(lactic acid) (PLA)/PHA (70/30) blends. It was confirmed that the crystals of PLA100 and L7H3C0 formed simultaneously very rapidly, thereby interfering with crystal growth and resulting in the formation of particles in a point or linear form. Moreover, as the compatibilizer content in the PLA/PHA (70/30) blend increased, the crystallization time slowed down.

Keywords: poly(lactic acid), poly(3HB-co-4HB), compatibilizer, avrami model, crystallinity.
본 과제(결과물)는 교육부와 한국연구 재단의 재원으로 지원을 받아 수행된 3단계 산학연 협력선도 대학육성사업(LINC 3.0), 한국연구재단의 BK21 FOUR 사업, 한국기술교육대학교의 2023년도 교육연구진흥비 및 공용장비센터의 지원에 의한 연구결과입니다.
저자들은 이해상충이 없음을 선언합니다.
Poly(lactic acid)(PLA)는 재생 가능한 옥수수, 전분과 같은 바이오 매스 기반으로 생산되며, 지방족 폴리에스테르 계열 중 대표적인 생분해성 물질로 알려져 있다.1,2 PLA의 유리 전이온도(Tg)는 L과 D 이성질체의 비율에 의존하며 일반적으로 45 ℃와 65 ℃ 사이에 나타난다.2 또한, 낮은 흡수율, 내마모성, 매끄럽고 단단한
표면과 낮은 열팽창 계수로,3 2003년 생산이 상업화된 이후, 포장4 및 바이오 의약품과5 같은 여러 분야에 적용범위가 확산되었다. 특히, 생분해성 특성 때문에, 오늘날 사용되고 있는 석유기반 열가소성 플라스틱을 대체하는데 많은 관심을 받고 있다. 하지만, PLA는 취성이 높아 상용화에 매우 어려움을 겪고 있다. 이러한 높은 취성 특성을 가소화,6 공중합7 또는 poly(butylene succinate)(PBS),8 poly(butylene succinate-co-adipate)(PBSA)와9 같은 다른 중합체와 용융 혼합에 의해 취성을 개선하는 연구가 있었다. 비록 취성은 향상되었지만, 도입된 중합체에 의존하게 되어 생분해성에 영향을 미쳤다. 따라서 기계적 물성을 높이고 생분해성을 손상시키지 않은 새로운 노력들이 있었다.
최근 상용화된 polyhydroxyalkanoate(PHA)는 PLA와 유사하게 바이오매스 기반이면서 높은 유연성을 가지고 있는 물질로 각광받고 있다.4,5 또한 PHA는 PLA의 바이오 탄소함량과 생분해성을 손상시키지 않기 때문에 PLA와 블렌드하여 좋은 기계적특성과 생분해성을 함께 부여할 수 있는 매력인 소재이다. 이렇게 PLA에 PHA를 도입한 PLA/PHA 블렌드는 서로 상용성이 있으며, 기계적 물성이 향상되는 것을 알 수 있었다. 또한, PHA와 PLA 두 고분자가 완전히 혼합되는 혼화성을 부여하도록 다양한 첨가제10-12를 혼합하여 상용성을 개선시켰고, 이것이 기계적 물성 향상에 도움이 되었다는 연구가 보고되었다.
하지만, PLA/PHA 블렌드의 혼화성을 높이기 위해서 상용화제를 도입한 PLA/PHA 블렌드의 기계적, 열적, 광학적 특성에 대한 결과는 보고되지 않았다. 일반적으로 상용성을 개선하기 위해 상용화제를 물리적으로 첨가하거나, 두 고분자 중 하나와 화학적으로 결합할 수 있는 반응형 상용화제를 첨가한다. 반응형 상용화제로는 말레산 무수물(maleic anhydride), 아크릴산(acrylic acid), 스티렌(styrene) 등의 단량체를 그래프트한 것을 사용한다. 이들 단량체 중에서도 말레산 무수물은 가장 극성이 높으면서도 낮은 비용으로 폴리머의 극성을 비교적 쉽게 강화할 수 있어 반응성 상용화제 제조에 많이 이용되고 있다.13,14 따라서, 본 연구에서는 상용성을 개선하기 위한 방법으로 상대적으로 낮은 극성기를 보이는 PHA에 말레산 무수물을 그래프트시켜 상용화제를 제조하였으며, 이를 PLA/PHA(70/30) 블렌드에 함량별로 첨가하여 상용성 및 기계적 물성을 비교하였다. 또한, 열적 특성 및 광학적 특성을 관찰하여 상용화제 함량에 따라 기계적 물성과 등온 온도에서의 결정화 거동사이의 관계를 알아보았다.
재료. 본 연구에서 사용된 Poly(lactic acid)(PLA)는 Nature Works(USA)사에서 생산된 IngeoTM Biopolymer 4032D를 구입하여 사용하였으며, Polyhydroxyalkanoate (PHA)는 3-hydroxybutylate(3HB)와 4-hydroxybutylate(4HB)로 구성된 random copolymer인 생분해성 P(3HB-co-4HB)로 CJ제일 제당(Korea)에서 생산된 PHACT A1000P를 사용하였다. 상용화제를 제조할 때 사용되는 말레산 무수물(maleic Anhydride)은 Sigma Aldrich(USA)사에서 구입하였으며, PHA와 말레산 무수물을 그래프트하기 위한 개시제로 사용된 Perkadox14(PK-14)는 AkzoNobel(Netherlands)사 제품을 구입하여 사용하였다. 라디칼 반응에 의하여 b-scission의 부반응이 발생하게 되는데, 이로 인한 물성 저하를 방지하기 위한 가교제로 Trimethylolpropane Trimethacrylate(TMPTMA)을 Sigma Aldrich(USA)사에서 구매하여 사용하였다.
샘플의 조성 및 제조. 연구에 필요한 PHA-g-MA 상용화제를 제조하기 위해 60 ℃에서 24시간 이상 진공 건조한 PHA(100 g), 개시제인 PK-14(0.1 phr), 말레산 무수물(3 phr), 가교제인 TMPT MA(3 phr)을 준비하고, co-rotating type의 이축 압출기(Bautek, BA19, LD=40, 19Ø, Korea)를 사용하여 용융 그래프팅 반응하였다. 공정 스크류 속도는 150 rpm으로 설정하였으며, feeder부터 die까지의 온도는 열분해를 최소화하기 위하여 160-170 ℃로 설정하였다. 제조된 PHA-g-MA의 grafting yield를 측정하기 위해 역적정 방법을 이용하였다. 미 반응된 말레산 무수물을 제거하기 위해 시료 5 g을 아세톤 500 mL에 세척하여 제거한 후 60 ℃에서 24 hr 동안 건조시켰다. 건조된 샘플 5 g을 클로로포름 100 mL에 용해시켰다. 그리고 1 M의 HCl을 5 mL 첨가하고, 300 rpm에서 30분간 교반하였다. 과량의 메탄올에 침전시킨 후 감압 필터하여 걸러낸 후, 샘플을 건조기에서 60 ℃로 24시간 건조시켰다. 건조된 샘플 1 g을 100 mL 클로로포름에 완전히 용해시킨 뒤 페놀프탈레인 용액 1 mL를 첨가하고 0.03 N KOH로 적정하여 아래 식을 통하여 grafting yield를 계산하였다.15,16

제조된 PHA-g-MA의 grafting yield는 1.41%이며, MI는 33 g/10 min으로 측정되었다. 일반적으로 반응 압출에 의해 제조된 상용화제는 개시제의 함량이 증가할수록 라디칼 생성이 활발해져 결합하는 말레산 무수물의 양이 증가하여 높은 grafting yield를 얻을 수 있다.17,18 하지만, 반응과정에서 동시에 b-scission으로 인해 분자량은 감소되어 기계적 물성에 악영향을 준다. 이러한 이유로 개시제 함량, 반응온도, 그리고 체류시간을 조절하였고, 이를 통해 기계적 물성에 크게 영향을 주는 분자량을 일정이상 유지하면서 극성기가 매우 높은 MA grafting yield를 1% 수준으로 제작하였다.
60 ℃에서 24시간 이상 진공 건조한 PLA와 PHA, 그리고 제조한 PHA-g-MA를 Table 1에 나타낸 함량별로 혼합한 후 이축 압출기를 이용하여 160-170 ℃에서 150 rpm으로 블렌드하였다. PLA/PHA의 질량비는 70/30으로 고정하고, 제조된 상용화제인 PHA-g-MA의 비율을 다르게 하여 블렌드를 진행하였다. 상용화제의 함량에 따라 제작된 블렌드를 L7H3C0, L7H3C3, L7H3C5, L7H3C7으로 나타내었다. L7H3Cx에서 L7H3은 PLA/PHA의 70/30질량비를 나타내고, C는 상용화제 (compatibilizer)가 첨가됨을 의미하며, 뒤에 나타낸 x숫자는 도입된 상용화제의 phr 함량을 의미한다. 제조된 블렌드를 펠렛으로 제작하고, 60 ℃에서 24시간 동안 건조하였다. 건조된 펠렛은 수직형 사출기(Heunghwa Machinery, HVM-25VS, Korea)를 이용하여 170 ℃의 사출 온도와 70 ℃의 금형 온도에서 ASTM D638 규격(165 × 12.5 × 3.2 mm)의 dog-bone 형태 시편을 제조하였다. 이렇게 얻어진 시편의 인장물성은 변형속도 50 mm/min으로 시험 평가하였다. Notched Izod 충격강도는 ASTM D256에 따라 65 × 12.5 × 3.2 mm의 막대 시편을 제조하여 반경 0.25 mm로 노치를 만들어
측정하였다.
열적 분석. PLA/PHA 블렌드의 열적 특성을 확인하기 위해 시차 주사 열량계(Differential scanning calorimetry, DSC, PerkinElmer, DSC6000, USA)를 사용하였다. 10±0.3 mg의 시료를 넣고 질소 가스 분위기에서 각 시료를 상온에서 200 ℃로 1차 승온(first run)한 후 -50 ℃까지 냉각하였고 다시 200 ℃까지 2차 가열(second run)하였다. 이 때, 1차 및 2차 승온과 냉각 속도를 10 ℃/min으로 설정하였다. 또한, 결정성장 거동을 확인하기 위해 편광 광학 현미경(polarized optical microscopy, POM, Nikon, LV100POL, Japan)을 사용하였다. PLA/PHA 블렌드의 결정화도(Xc)는 식(3)로 정의하였다.19,20

ΔHf 와 ΔHc는 측정된 용융 엔탈피(enthalpy of fusion), 결정화 엔탈피(enthalpy of crystallization)이며 ΔHf,100는 PLA가 100% 결정화되었을 때의 용융 엔탈피(93.6 J/g)이다.20,21
기계적 물성 분석. 제조된 시편의 기계적 물성 중 인장강도와 연신율은 만능재료시험기(UTM, Tinius Olsen, H5KT, USA)을 이용하여 측정하였고, Izod 충격 강도는 충격강도기(Impact Tester, QMESYS, QM7 00A, Korea)를 이용하여 측정하였다. 모든 결과값은 7회 측정하였으며, 최대값 및 최소값을 제외하고 5개의 평균값을 나타내었다.
투과도 분석. PLA/PHA 블렌드 필름은 히팅프레스 장비를 사용하여 길이 4 cm, 폭 1 cm, 두께 100 μm의 필름 시편으로 제작하여 UV-vis분광기(UV-vis Spectrophotometer, Scinco, mega800, Korea)를 이용해 300-800 nm 파장 범위에서 측정하여 투과도를 확인하였다.
모폴로지 특성 분석. PHA-g-MA를 도입한 PLA/PHA 블렌드의 형태학적 특성은 주사 전자 현미경(Scanning electron microscopy, SEM, ThermoFisher, Phenom ProX, USA)를 사용하여 분석하였다. 액체 질소를 이용하여 시편을 파단하고, 스핀 코팅기(spin coater, SEMIAN, SMC-12R, Korea)를 이용하여 백금 코팅 후 500배의 배율로 촬영하였다.
결정성 분석. 상용화제 함량에 따른 고분자의 결정성을 분석하기 위해서 X-선 회절분석법(X-ray diffraction, XRD, Malvern Panalytical, EMPYREAN, UK)을 이용하여 2θ=10~80º의 범위에서 측정하였다.
등온 결정화 동역학 분석. 결정성장 거동을 확인하기 위해 편광 광학 현미경(polarized optical microscopy, POM, Nikon, LV100POL, Japan)을 사용하여 분석하였다. 결정화 거동의 kinetic상수를 확인하기 위해 DSC분석을 수행하여 결정화가 진행되는 시간을 측정하였으며, Avrami 식 (4)을 사용하여
결과를 나타내었다.22,23

Xt는 상대결정화도로, 식 (5)을 통해 계산되었으며, dHt는 결정화가 진행되는 동안 시간에 따른 엔탈피 변화를 의미하고, t와 ∞는 각각 결정화가 되는 동안 경과 시간과 결정화가 완료되는 시간을 나타낸다. n은 Avrami 지수로, 핵의 기능과 성장 과정을 나타내며, k는 등온 결정속도 상수를 의미한다.
|
Table 1 Formulation and Thermal Properties of PLA, PHA, PLA/PHA Blends According to the Compatibilizer Contents |
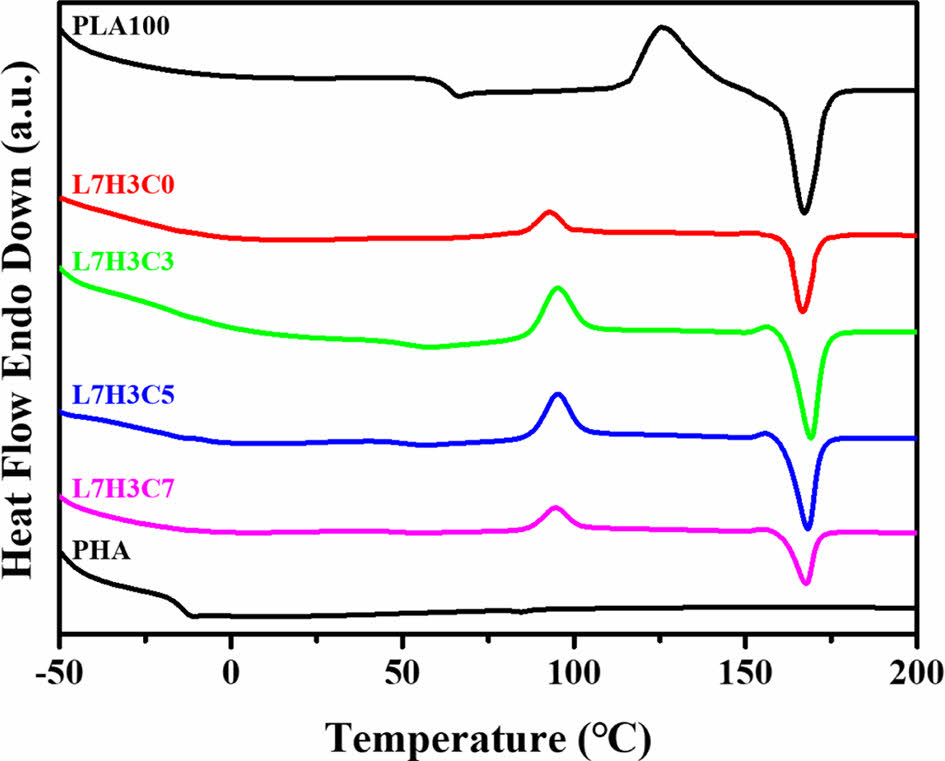
PLA/PHA 블렌드 및 열적 분석 평가. PHA-g-MA 상용화제를 함량별로 첨가하여 제작한 PLA/PHA(70/30) 블렌드의 열적 특성 및 결정성을 확인하기 위해 DSC 분석을 실시하였고, 그 결과는 Figure 1에 나타냈으며, 상세 결과는 Table 1에 표기하였다. 먼저, 상용화제가 도입되지 않은 L7H3C0 블렌드에서 PLA에 PHA가 70/30 비율로 첨가되어도 PLA의 용융온도(Tm)는 큰 변화가 발생하지 않았다. 하지만, PLA부근의 Tg의 경우 63 ℃에서 56.7 ℃로, PHA 부근의 Tg는 -14.8 ℃에서 -13.8 ℃로 이동이 관찰되었다. 이는 PLA와 PHA의 두 고분자가 구조적으로 유사하여 서로 상호작용이 있음을 보여준다. 특히, 이러한 PLA/PHA 블렌드에서 PHA-g-MA 상용화제의 함량을 증가시키면(L7H3C7), PLA의 Tg는 49 ℃로, PHA의 Tg는 -6.1 ℃로 이동이 관찰되었다. 이것은 상용화제의 도입으로 인해서, 생분해성 PLA/PHA 블렌드에서 고분자 성분들이 잘 혼합되고 용융 용해성이 높아져 상용성이
증가되었기 때문이다.24,25
상용화제가 첨가된 PLA/PHA 블렌드의 결정화도를 계산하기 위해 엔탈피(ΔHm)를 통해 결정화도(Xc)를 계산하여 Table 1에 나타냈다. 순수한 PLA(PLA100)의 결정화도는 6.0%에서 PHA가 30 wt%로 블렌드된 L7H3C0의 결정화도는 21.0%로 급격히 증가하였다. 이는 무정형인 PHA가 PLA/PHA 블렌드에서 기핵제의 역할을 하여 결정성장을 촉진하였기 때문이다. 하지만, 상용화제를 첨가하면 결정화도가 감소하는 경향이 있었다. 이를 통해 상용화제는 기핵제인 PHA의 결정성장 거동을 방해하여 결정화도가 감소되도록 기인한다는 것을 알 수 있었다.26,27
또한, PLA/PHA 블렌드의 결정성장 거동을 확인하기 위해 PLA100와 상용화제의 함량을 다르게 하여 제작된 L7H3C0, L7H3C3, L7H3C5, L7H3C7의 결정성장을 온도에 따라 POM으로 측정하여, 그 결과를 Figure 2에 나타내었다.
결정화 온도를 확인하기 위해 170 ℃에서 1분간 유지한 후, 10 ℃/min의 속도로 냉각시켰다. Figure 2(a)에서 볼 수 있듯이, 초기 결정이 생성되는 온도는 PLA100가 130 ℃에서 처음 결정이 생성되었고, L7H3C0, L7H3C3, L7H3C5, L7H3C7은 각각 114, 116, 118, 122 ℃ 순으로 확인되었다. Figure 2(b), 2(c)와 2(d)는 120, 110, 100 ℃ 구간에서 결정이 성장하는 과정을 나타내었으며, 상용화제의 함량이 증가할수록 결정핵의 수가 감소하고, 결정 성장 속도가 느리게 진행됨을 확인할 수 있었다. 이를 통해 무정형인 PHA가 PLA에 도입되면 기핵제로 역할하여 결정이 생성되는 온도를 빠르게 낮췄다. 하지만, 상용화제에 의해서 고분자 블렌드의 결정이 생성되는 것을 방해하여 결정이 생성되는 온도를 높이고, 결정화 속도를 감소시키는 것으로 판단하였다.28,29
기계적물성 및 투과도 분석. Figure 3은 상용화제를 함량별로 첨가하여 제조한 PLA/PHA(70/30) 블렌드의 대표적인 stress-strain 거동을 보여준다. Figure 4는 Figure 3으로부터 얻어진 인장강도, 연신율과 함께 Izod 충격강도를 측정하여 정리하여 나타냈다. 전체적으로 PLA/PHA(70/30) 블렌드에 PHA-g-MA 상용화제 함량이 증가함에 따라 인장강도가 감소하는 경향을 보였으며, 연신율은 증가하는 경향을 보였다. 또한, 상용화제가 도입되고 함량이 증가된 PLA/PHA 블렌드의 충격강도는 상용화제가 도입되지 않은 PLA/PHA 블렌드의 충격강도보다 증가하였다. 이러한 결과는 열적분석을 통해 확인되듯이, PLA/PHA 블렌드는 상용화제 함량이 증가함에 따라 상용성이 증가되었지만, PLA/PHA 블렌드의 결정성장 거동을 방해하여 결정화도를 감소시켰기 때문으로 판단할 수 있었다.30,31 또한, 상용화제 함량에 따른 PLA/PHA(70/30) 블렌드의 투과도 결과를 Figure 5에 나타냈다. Figure 5에서 보듯이, L7H3C0, L7H3C3, L7H3C5, L7H3C7은 550 nm 기준으로 각각 72.8, 73.2, 75.9, 77.4%의 투과도를 보여준다. 상용화제 함량이 증가할수록 투과도가 증가하였는데, 이러한 경향은 Table 1의 결정화도를 통해 확인할 수 있듯이, 결정화도의 감소가 투과도에 영향을 받은 것으로 판단할 수 있었다.
모폴로지 특성 분석 결과. SEM을 통한 고분자 블렌드의 모폴로지를 확인하여 고분자 간의 상용성을 확인할 수 있다. 일반적으로 상용성이 없는 고분자 블렌드의 구조는 sea-island 형태를 보이며, 함량이 낮은 고분자가 island 형태로 함량이 높은 고분자가 이들을 감싸고 있는 형태를 가지게 된다.32,33 PLA/PHA(70/30) 블렌드의 모폴로지를 확인하기 위해 충격강도 측정 이후 파단면을 Figure 6에 나타냈다. Figure 6에서 확인할 수 있듯이, PLA/PHA(70/30) 블렌드 조성에서 sea-island 형태가 확인되지 않아 두 고분자 간에는 매우 상용성이 높은 것을 알 수 있었다. 이와 더불어, 상용화제를 첨가하지 않은 파단면과 비교하면, 상용화제가 첨가될수록 시료의 파단면이 점차 거칠어지는 것을 확인할 수 있었다. 이것은 충격에 의해서 시편이 파단될 때 더 많은 에너지가 필요하다는 것을 의미하는 것으로, 상용화제의 함량이 증가할수록 충격강도가 증가하는 경향을 뒷받침하였다.34
결정성 및 등온 결정화 동역학 분석. 상용화제 첨가에 따른 PLA/PHA(70/30) 블렌드의 결정성을 확인하기 위해 XRD를 측정하였고, 그 결과는 Figure 7에 나타내었다. PLA100의 경우, 전 구간에 걸쳐 날카로운 피크가 나타나지 않았고, XRD곡선은 완만한 피크를 나타냈다.35 PLA/PHA(70/30) 블렌드의 결정화 피크는 2q가 약 13.4º, 16.8º, 17.2º, 27.0º에서 여러 개의 날카로운 회절 피크가 나타났다. 상용화제가 증가함에 따라 회절 피크의 강도는 점차적으로 감소하는 현상을 보였으며, 이는 DSC 로부터 계산한 결정화도와 경향이 일치함을 보인다.
상용화제의 함량을 다르게 하여 제조한 PLA/PHA(70/30) 블렌드의 시간에 따른 결정성장을 POM으로 확인하였다. 결정성장을 확인하기 위한 온도는 Tc와 Tm 사이의 온도 구간에서 등온으로 유지하며 측정하였다. 먼저 120 ℃에서 등온 결정화하여 나타낸 결정의 형태를 Figure 8에 나타냈다. PLA100과 L7H3C0는 동시다발적으로 매우 빠르게 결정이 형성되어 결정성장을 방해하여 점이나 선형의 형태로 입자가 생성됨을 확인하였다. 더욱이 PLA/PHA(70/30) 블렌드에서 상용화제의 함량을 증가시킬수록, 결정이 형성되는 시간이 느려졌다. 하지만, 결정의 크기가 더 커지는 것을 확연하게 확인할 수 있었고, 명확한 Maltese cross pattern이 관찰되었다.36 이는 결정이 방사형으로 뻗어가면서 결정화가 진행되는데, 상용화제의 함량이 증가할수록 결정이 방해받지 않고 결정 크기가 성장하고 있음을 보여준다. 또한, Figure 9와 Figure 10은 각각 130 ℃와 135 ℃에서의 등온 결정화하여 나타낸 결정형태를 보여준다. 등온 온도가 높아질수록 결정이 생성되는 속도가 느려지는데, 결정화 온도는 결정화 속도상수를 결정하는 중요한 요소로서, 결정화 온도가 증가하면 결정화 속도와, 결정화도의 감소를 가져온다.37,38 결과적으로 결정화 속도가 느려지면, 온도 구간에서 생성되는 결정핵의 수가 감소하고, 결정핵의 형성이 방해받지 않아 결정 크기가 커지게 된다. 이러한 결과를 통해, Figure 5에서 확인된 바와 같이 투명성이 증가하는 결과로 이어지게 됨을 알 수 있었다. Figure 11은 PLA와 상용화제 함량에 따른 PLA/PHA(70/30) 블렌드의 135 ℃에서 등온 결정화 발열 곡선을 나타낸 것으로, 상용화제의 함량이 증가할수록 결정화 속도가 천천히 진행되는 것을 보여준다.
Figure 8부터 Figure 10까지의 POM 분석으로부터 30초의 일정한 시간 간격으로 구형 결정의 직경을 측정하여 등온 결정시간과 결정의 직경 사이의 관계를 Figure 12에 나타냈다. 시간에 따라 직경이 선형으로 증가하는 것을 관찰했으며, 이러한 기울기는 결정성장률을 나타낸다. 기울기는 온도에 따라 차이가 발생하는 것도 확인할 수 있었다. Figure 12(a)와 12(b)에서 보는 바와 같이, L7H3C0보다 L7H3C3, L7H3C5, L7H3C7처럼 상용화제 함량을 증가시키면 결정성장율이 점진적으로 증가하였다. Figure 12(c)는 135 ℃의 등온결정화 온도에서 결정시간에 따른 결정화 크기를 나타냈다. Figure 12(c)를 통해 L7H3C0이 결정화가 가장 먼저 시작되었고, 상용화제가 도입된 블렌드에서는 상용화제 함량이 증가할수록 결정성장률이 감소하였다. 이것은 높은 등온결정화 온도에서는 상용화제 함량이 증가할수록 완전 결정화가 되는데 걸리는 시간이 늦어지고 그에 따라 결정이 성장하는 시간이 오래 걸리기 때문이다. 특히, L7H3C7의 경우 1000초까지 결정이 발견되지 않았는데, 이것은 높은 등온결정화 온도에서 높은 함량으로 도입된 상용화제 의해서 고분자 블렌드의 결정의 성장이 매우 크게 방해받아 결정의 성장이 매우 느리게 형성되기 때문으로 판단되었다.
Avrami 식으로부터 등온 결정화 시간(t)과 상대결정화도(Xt)의 상관관계를 플롯하여 Figure 13에 나타냈다. 전체적으로 결정화 등온 온도가 높을수록 결정화 속도가 감소함을 보였다. 하지만 Figure 13(a)에서 보는 바와 같이 등온 온도가 가장 낮은 120 ℃에서는 모든 조성에서 상대결정화도가 빠르게 100% 결정화에 도달하는 것을 확인하였다. 특히, PLA100은 측정된 모든 온도 구간에서 반응이 진행되어 결정화가 완료된 것으로 나타났다. 반면에 상용화제가 도입된 PLA/PHA 블렌드들은 모든 등온 결정화 온도에서 상용화제 함량이 증가할수록, 결정화 속도가 상대적으로 느리게 진행되는 경향을 보였다. 특히, L7H3C7은 Figure 13(b), 13(c)에서 볼 수 있듯, 130 ℃와 135 ℃ 등온 온도 상태에서 상대결정화 속도가 급격하게 느리게 진행되는 것을 확인하였다. 이것은 Figure 8에서 Figure 10까지의 POM결과에서도 확인된 바와 같이, 상용화제가 결정핵의 성장속도를 방해하여 결정화도가 낮아지도록 영향을 미쳤기 때문으로 해석된다.
Figure 14에서 보는 바와 같이 열분석에 의하여 얻어진 ln(t)와 ln(-ln(1-Xt)를 플롯하여 나타냈다. 각각의 등온 온도에서 결정화 속도와 시간의 관계가 선형(R2: 0.9928-0.9994)으로 나타나며, 이들의 절편과 기울기를 사용하여 k와 Avrami model의 지수 n을 구하였다. 또한 k값을 이용하여 반 결정화 시간(crystallization half time, t1/2)을 계산하였고, 이를 Table 2에 정리하였다. 반 결정화 시간(t1/2)은 모든 조성에서 온도가 증가함에 따라 반 결정화 시간 역시 증가하는 경향을 보이고 있었다. 고분자의 반 결정화 속도는 결정핵의 생성 속도와 결정이 성장하는 속도에 영향을 받는데, 이 두 가지 인자 중 결정핵의 생성에 미치는 결정화 온도의 영향은 온도가 높아질수록 결정이 생성되는데 걸리는 시간이 길어지고, 결정핵의 생성을 방해하여 결정화 속도가 늦어지는 것을 의미한다.39 앞서 언급한 POM실험에서 확인된 것처럼, 상용화제의 첨가로 결정화 생성속도가 감소함을 확인할 수 있었다. 또한, Table 2에서 볼 수 있듯이 PLA100와 L7H3C0의 Avrami 지수 n 값이 1.77에서 2.04로 확인되었다. 이는 Figure 8-10을 통해서도 확인할 수 있는데, 방사형 구조로 결정이 나타나기 보다, 선형의 형태로 결정이 불규칙하게 성장하는 것을 알 수 있었다.28,29 반면에, 상용화제가 포함된 L7H3C3, L7H3C5, L7H3C7의 조성에서는 n 값이 2.51에서 2.97으로 확인되었다. 이를 통해 PLA/PHA(70/30) 블렌드에 상용화제를 첨가하면, 결정화 속도가 감소하여 방사형으로 결정이 성장하는 것을 확인하였다.
|
Figure 1 2nd heating scan DSC curves of PLA, PHA, and compatibilized PLA/PHA (70/30) blends. |
|
Figure 2 POM photomicrographs of PLA and compatibilized PLA/ PHA (70/30) blends: at (a) initial crystallization temperature; (b) 120 ℃; (c) 110 ℃; (d) 100 ℃. |
|
Figure 3 Stress-strain curves of compatibilized PLA/PHA (70/30) blends. |
|
Figure 4 Mechanical properties of compatibilized PLA/PHA (70/ 30) blends. |
|
Figure 5 UV-Visible transmittance spectra of compatibilized PLA/ PHA (70/30) blends. |
|
Figure 6 Cross-sectional SEM images of compatibilized PLA/PHA (70/30) blends. |
|
Figure 7 XRD pattern of compatibilized PLA/PHA (70/30) blends. |
|
Figure 8 POM photomicrographs of (a) PLA100 (b) L7H3C0; (c) L7H3C3; (d) L7H3C5; (e) L7H3C7, isothermally crystallized at 120 ℃. |
|
Figure 9 POM photomicrographs of (a) PLA100 (b) L7H3C0; (c) L7H3C3; (d) L7H3C5; (e) L7H3C7, isothermally crystallized at 130 ℃. |
|
Figure 10 POM photomicrographs of (a) PLA100 (b) L7H3C0; (c) L7H3C3; (d) L7H3C5; (e) L7H3C7, isothermally crystallized at 135 ℃. |
|
Figure 11 Isothermal crystallization curves of 135 ℃ for compatibilized PLA/PHA blends. |
|
Figure 12 Spherulite diameter as a function of time at different isothermal crystallization temperatures of (a) 120 ℃; (b) 130 ℃; (c) 135 ℃ for compatibilized PLA/PHA blends. |
|
Figure 13 elative crystallinity X(t) versus different crystallization time (t) of PLA and compatibilized PLA/PHA blends observed at various isothermal crystallization temperature of (a) 120 ℃; (b) 130 ℃; (c) 135 ℃, respectively |
|
Figure 14 Plots of ln(-ln(1-Xt) versus ln(t) for PLA and compatibilized PLA/PHA blends with various temperature: (a) 120 ℃; (b) 130 ℃; (c) 135 ℃. |
|
Table 2 Isothermal Crystallization Kinetics for PLA/PHA (70/30) Blends with Increasing the Amount of Compatibilizer |
본 연구는 생분해성 PLA/PHA(70/30) 블렌드에 상용화제를 함량별로 도입하여 이축 압출성형기로 제작하였고, 이들의 열적, 기계적, 광학적 특성에 미치는 영향을 연구하였다. 상용화제는 대표적인 생분해성 수지인 PHA에 MA를 반응 압출법으로 그래프트시켜 제조하였다. PLA/PHA(70/30) 블렌드에 상용화제의 함량을 증가할수록 인장강도는 감소하고, 연신율과 충격강도는 증가하였다. 또한, 상용화제의 첨가는 결정이 선형보다는 구형형태로 자라도록 하였고, 결정화도와 결정화 성장속도를 감소시켰음을 확인할 수 있었다. 특히, 이러한 열적 특성은 인장강도, 신율, 충격강도의 기계적 물성에 매우 밀접한 영향을 준 것으로 확인하였다. 또한, 상용화제 함량이 높아질수록 투명성이 증가되었는데, 이것은 낮은 결정화 속도로 결정화도와 결정핵의 수를 감소시켰고, 그에 따라 결정 구조가 커지면서 투명성이 증가된 것으로 확인하였다.
This Article2024; 48(5): 475-484
Published online Sep 25, 2024
Services
Correspondence toDepartment of Applied Chemical Enginnering, Korea University of Technology and Education