
Major in Polymer Science and Engineering, Kongju National University, 1223-34 Cheonan way, Cheonan 31080, Korea
공주대학교 신소재공학부 고분자공학전공
Reproduction, stored in a retrieval system, or transmitted in any form of any part of this publication is permitted only by written permission from the Polymer Society of Korea.
A polyamide(PA 6)/carbon filler composite using a carbon filler masterbatch (MB) was prepared and its melting and crystallization behaviors were examined. MB was applied for carbon black (CB) and graphene nanoplates (GNP), and Avrami analysis was performed for the PA 6/carbon filler composite. As a result of Avrami index analysis, it was confirmed that the crystal growth process changed from a sphere for PA 6 to a disc shape for the composite. The PA 6/carbon filler composite showed two crystallization peaks, which were interpreted to be due to a new crystallization process at the carbon filler interface rather than a change in crystal structure. The crystal size of the PA 6/carbon filler composite to which MB was applied decreased and the time to reach the maximum relative crystallinity increased. This can be explained because carbon filler affects crystallization kinetics when used as MB.
탄소필러 마스터배치(master batch, MB)가 사용된 PA 6/탄소필러 복합체를 제조하여 용융 거동과 결정화 거동을 고찰하였다. 카본블랙(CB)과 그래핀나노플레이트(GNP)에 대해 MB가 적용되었으며 PA 6/탄소필러 복합체에 대해 Avrami 분석을 수행하였다. Avrami 지수 분석결과 결정 성장과정이 PA 6의 경우 구형에서 복합체에 대해서는 원반형으로 변화되는 것이 확인되었다. PA 6/탄소필러 복합체의 결정화 피크는 두개를 보여 주었는데, 이는 결정구조의 변화보다는 탄소필러 계면에서의 새로운 결정화 과정에 기인한 것으로 해석되었다. MB가 적용된 PA 6/탄소필러 복합체의 결정크기가 감소하고 상대결정화도 최대값 도달 시간이 증가하였는데, 이는 탄소필러가 MB로 사용될 때 결정화 속도론에 영향을 주기 때문으로 설명할 수 있다.
As a result of Avrami index analysis, it was confirmed that the crystal growth process changed from a sphere for nylon 6 to a disk shape for the composite. The nylon 6/carbon filler composite showed two crystallization peaks, which were interpreted to be due to a new crystallization process at the carbon filler interface rather than a change in crystal structure.

Keywords: polyamide 6, graphene nanoplate, master batch, crystallization behavior, Avrami analysis.
이 논문은 2024년 공주대학교 학술 연구지원사업의 연구지원과 2024년도 교육부의 재원으로 한국연구재단의 지원을 받아 수행된 지자체-대학 협력기반 지역혁신 사업지원(2021RIS-004)으로 수행된 것입니다.
저자들은 이해상충이 없음을 선언합니다.
폴리아미드 6(polyamide 6, PA 6)가 복합 필름 형태로 적용되는 배터리 파우치 필름의 경우 정전기 문제를 해결하기 위해 대전방지 기능을 부여하고 있다.1-2 폴리아미드 6(polyamide 6, PA 6)와 같은 엔지니어링 플라스틱에 전기적 특성을 부여하는 방법에는 여러가지가 있지만, 적용 측면에서 전도성을 가지는 탄소 필러를 복합화 하는 것이 상대적으로 용이하기 때문에 많은 연구가 진행되었다.3-7 탄소 기반 필러에는 그래핀(graphene), 탄소나노튜브(carbon nanotube, CNT), 탄소섬유(carbon fiber, CF), 카본블랙(carbon black, CB), 그래핀나노플레이트(graphene nano plates, GNP), 팽창 흑연(expanded graphite, EG) 등이 있으며, 본 연구실에서도 PA 6/탄소필러 복합체의 연구를 진행하였으며, CNT, CB 및 GNP 등이 사용되었다.8
고분자의 물성 또는 기능성 개선을 위해 첨가제가 사용되는데, 분산성 향상 또는 취급의 용이성 측면에서 마스터배치(master-batch, MB)가 많이 이용되고 있다.9 MB는 고분자를 압출 또는 사출 가공할 때 고 함량으로 첨가제를 포함하는 MB를 원소재와 최종 제품의 배합비에 맞추어 혼합하고 용융 압출하여 분산이 어려운 무기 필러의 분산을 개선하거나 액체 형태의 첨가제에 대한 투입 용이성 등의 목적으로 사용하는 방법이다.
탄소필러 MB가 적용된 PA 6/CB/CNT/GNP 복합체의 전기적 특성에 대해 연구결과8 3종류의 탄소필러 중 2차원 구조의 GNP에 MB가 적용될 때 전기적 특성 개선에 가장 효율적인 것으로 확인되었으며, CNT보다는 CB의 경우가 2번째로 개선되는 것을 확인할 수 있었다.8 GNP가 MB로 적용될 때 가정 큰 개선 효과가 나타나는 것으로 GNP의 경우 수십층의 플레이트 형태로 분산성이 전기적 특성에 미치는 영향이 가장 큰 필러이기 때문으로 해석되었다. 다만, 전자주사현미경(scanning electron microscope, SEM)으로 GNP 분산성 확인이 어려웠으며, 유변학적 특성을 이용하여 GNP 분산성 개선 정도를 확인하였고 GNP가 MB로 적용된 PA 6/탄소필러 복합체를 최적으로 선정하였다.
일반적으로 고분자/탄소섬유 복합소재를 필름으로 제조하기 위해서는 T-다이(T-die) 압출성형 공정을 이용한다. T-다이 압출 성형공정에서 결정화거동은 매우 중요하며, 특히 무기 필러가 함유된 경우에는 꼭 고려되어야 하는 변수이다. 일반적으로 고분자/무기필러 복합소재의 결정화 거동은 순수 고분자와 비교할 때 변화가 발생하는데,5,10 PA 6/탄소필러 복합체에서도 결정화거동 변화가 발생하는 것으로 알려져 있다.11-13 이와 같은 결정화거동 변화는 T-다이 성형공정 중 냉각과정에 영향을 줄 수 있으며, 이는 투명도, 투습성 및 슬립성 등의 필름 물성을 변화시키기 때문에 PA 6/탄소필러 복합체의 결정화거동에 대한 고찰이 필요하다. 특히, GNP가 MB로 적용된 복합체를 중심으로 한 결정화 거동 분석이 필수적이라 판단된다.
PA 6의 기존 연구 결과에10,11 따르면 결정구조는 아미드기 간 수소결합에 의해 역평형하게 배열되는 α형 결정과 평행하게 배열되는 γ 형 결정이 있다. γ 형 결정은 아미드기 평면과 메틸렌기의 지그재그(zigzag)면과 동일한 평면이 되고 분자쇄는 α 형 결정보다 조금 줄어들게 된다. α형과 γ형 결정의 존재율은 밀도에 따라 달라지며, X-선 회절의 경우 a형 결정은 2θ = 24° 및 20°에서 나타나며, γ형 결정은 2θ = 21°의 회절 피크를 나타내는 것으로 기존 연구 결과에서 보고하고 있다.11 일반적으로 α형 보다 안정성이 낮은 γ형의 경우 순수한 PA 6에서도 열이력에 따라 피크를 보이거나 사라질 때가 있으며, 복합체에서는 γ형 결정이 불균일 핵제로 작용하는 탄소필러에 의해 안정한 α형 구조로 변하는 것으로 알려져 있다.12 이와 같이 PA 6에 탄소필러가 첨가되면 결정구조가 변하기 때문에 고분자 성형가공 시 냉각조건 최적화 등을 위해 GNP가 MB로 적용된 PA 6/탄소필러 복합체의 결정화 거동에 대한 체계적인 연구가 필요하다.
따라서 본 연구에서는 PA 6에 탄소 필러 MB와 MB를 이용한 PA 6/탄소필러 복합체를 이축압출기를 이용하여 제조하고, DSC의 비등온 결정화를 이용하여 Avrami 분석을 통해 결정화 거동을 분석하였다. 또한 XRD를 이용하여 PA 6과 PA 6/탄소필러 복합체의 결정구조 변화를 고찰하였다.
재료. 본 연구에 사용된 PA 6은 코오롱 플라스틱사(Korea)의 KN111 grade를 사용하였고 다중벽 탄소나노튜브(multi walled carbon nanotube, MWCNT)는 CNT사(Korea)의 직경 10-40 nm, 길이 1-25 μm인 CTUBE 100을 사용하였으며 CB는 thermo scientific 사(USA)의 밀도 1.95 g/cm3, 평균입자크기 0.042 micron인 acetylene black을 사용하였다. 그래핀나노플레이트(graphene nano plate, GNP)는 TIMESNANO 사(China)의 밀도 0.6 g/cm3, 지름 2-16 mm, 순도>90%인 TNIGNP130622를 사용하였다.
복합체 제조 및 성형방법에 따른 시편제작. PA 6과 탄소필러는 80 ℃ 오븐에서 12시간 이상 건조한 후, 필러 함량 및 종류에 따라 이축압출기(twin extruder, 바우테크사 A-19, L = 760 mm, D = 19 mm, L/D = 40, Korea)를 이용하여 250/260/280 /280/280/270 ℃, 70 rpm 조건에서 제조하였다. 본 연구실의 기계적/전기적 특성연구에서 진행한 연구결과를 참조하여8 3종류의 탄소필러에 대해 총 함량 10 parts per hundred resin(phr)로 고정하여 PA 6/탄소필러 복합체를 제조하였다. 최종 복합체의 CNT, CB, GNP의 함량은 3.33 phr로 동일하게 적용하였다. 탄소필러 마스터배치 제조 시 매트릭스 수지로 동일한 PA 6과 동일한 압출 조건을 사용하였으며, 모든 필러의 마스터 배치 함량은 20 phr로 제조한 후 함량에 맞게 첨가하여 복합체를 제조하였다. 복합체 제조 시 MB 제조 없이 3종류 필러 모두를 원래의 파우더 상태로 혼합하여 사용한 경우 ALL PW, 1종류 MB의 경우 MB1, 두 종류 필러를 각각 MB 적용 시 MB2, 두 종류 필러를 혼합하여 MB로 적용 시 MB2*로 구분하여 표시하였다. Table 1은 위에 언급한 시편의 조성을 나타낸 것이다.
분석 및 측정. 탄소필러 복합체의 열적 특성은 시차주사열량계(TA Instrument DSC Q20, differential scanning calorimetry, DSC, USA)를 이용하여 승온/냉각속도 10 ℃/min으로 0-300 ℃의 온도범위로 1st 승온 및 냉각을 진행한 후 2nd 승온/냉각을 진행하였고, 2nd 결과 값을 사용하였다. 등온 결정화 실험에서는 비등온 실험과 같은 조건으로 1st 승온 후 냉각시에 등온점 기준까지 100 ℃/min으로 빠르게 냉각한 후 등온상태를 30분간 유지한 시편을 이용하여 비등온 조건과 동일하게 열분석을 수행하였다. 결정구조 분석에는 XRD(Rigaku 사 MiniFlex 600, Japan)를 이용하여 CuKα(radiation with λ=0.15406 nm)으로 5o/min 조건으로 측정하였다. 형태학 분석에는 200 kV에서 투과전자현미경(Thermo ScientificTM Talos F200S, transmission electron microscopy, TEM, USA)을 이용하였으며, 마이크로토밍 장비는 Leica사의 UC-6모델(Germany)을 사용하였고 전처리를 위해 에폭시를 코팅하였다.
|
Table 1 Crystallization Temperature (Tc), Melting Temperature (Tm) and Enthalpy of PA 6/carbon Filler Composites |
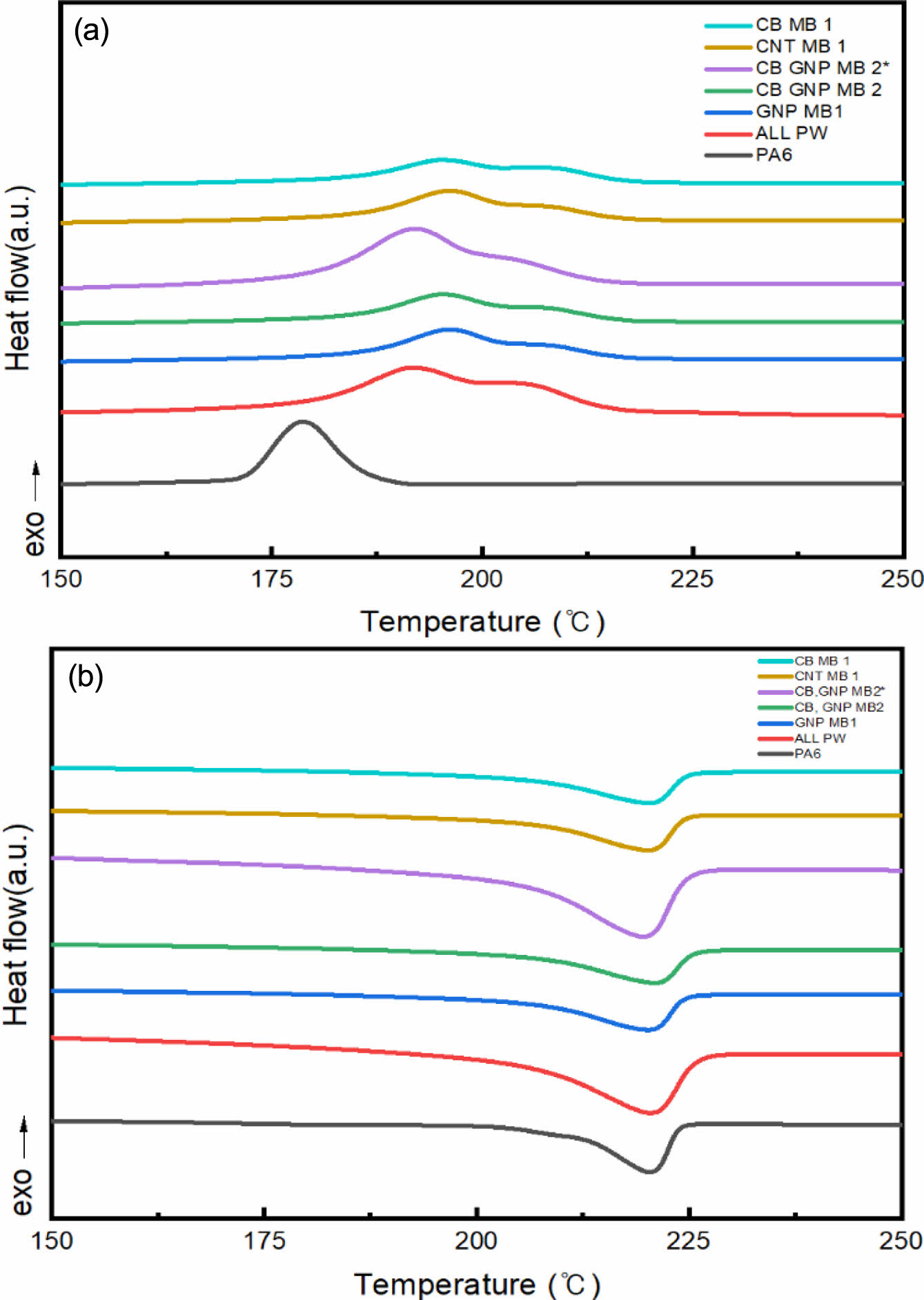
이전 연구결과에서 3종류의 탄소필러 중 2차원 구조의 GNP가 단독으로 MB로 적용될 때 전기적 특성 개선에 가장 효율적인 것으로 확인되었으며,8 CB의 경우가 2번째로 개선되는 것을 확인할 수 있었다. 따라서, 본 연구에서는 순수 PA 6와 GNP가 단독 또는 CB와 혼합되어 MB로 적용될 때 PA 6/탄소필러 복합체의 열적특성과 결정화거동을 비교 고찰하고자 하였다. 우선 PA 6/탄소필러 복합체의 열적특성을 고찰하기 위해 DSC 결과를 Figure 1에 나타내었고 Table 1에 용융온도, 결정화온도 및 용융열 등을 요약하였다. 용융온도(Tm)는 모든 시료가 220 ℃ 부근에서 확인되며 큰 변화는 나타나지 않았으나, 결정화 온도(Tc)는 PA 6의 경우 178.7 ℃에서 관찰이 되었고 PA 6/탄소필러 복합체의 경우 191-208 ℃ 범위에서 관측되어 약 12-29 ℃ 정도가 증가한 것을 확인할 수 있었다.
이러한 결과는 탄소 필러가 혼합되면서 핵제(nucleating agent)로 작용하여 불균일 핵 생성이 증가하는 것과 성장과정에서 무기계 탄소필러가 혼합되어 결정화에 필요한 사슬의 운동이 무기필러에 의해 억제되기 때문으로 해석되고 있다.11 3종류의 필러가 모두 파우더로 적용된(ALL PW) 시료와 CB와 GNP를 혼합하여 MB로 적용된(MB2*) 시료보다 GNP와 CB가 각각 MB로 적용된 시료 모두에서 결정화 온도 증가 정도가 크게 나타나는데 이는 위에 언급한 불균일 핵생성과 사슬 운동 억제가 동시에 작용하기 때문으로 해석할 수 있다. 복합체 결정화 거동의 또 다른 특징으로는 PA 6과 달리 202-208 ℃에서 새로운 피크를 보여주는 것이다. 결정화 피크가 두개를 보이기 위해서는 결정 구조가 다른 결정이 생성되거나 탄소필러의 혼합으로 두개의 결정화 과정이 존재해야 한다. PA 6/MWCNT 복합체에 대한 기존 연구에서는 XRD 결과에서 결정구조 변화가 관측되지 않아 두 개의 결정화 과정에 의한 것으로 해석하였으며 MWCNT 계면에서의 결정화와 PA 6 매트릭스(matrix) 내에서의 결정화 과정이 다르게 진행되기 때문으로 해석하였다.12
PA 6과 복합체의 결정구조를 확인하기 위해 Figure 2에 XRD 분석결과를 나타내었다.
서론에서 언급한 바와 같이 PA 6의 결정 구조에 대한 X-선 회절의 경우 α 형 결정은 2θ = 24° 및 20°에서 나타나며, γ 형 결정은 2θ = 21°의 회절피크를 나타낸다고 보고되어 있다. Figure 2의 PA 6 XRD 결과에서는 α 형과 γ 형 결정 두 피크가 모두 관찰되었지만 PA 6/탄소필러 복합체에서는 α 형 결정구조만 확인되고 있는데, 이는 탄소필러의 혼합으로 안정한 α 형 구조로 전환된 것으로 해석되며 기존의 결과에서도 동일한 내용이 확인되었다.8,10 이는 탄소필러의 첨가가 결정구조를 유발하지는 않으며, 기존 연구결과와 같이 탄소필러 계면에서의 결정화와 PA 6 매트릭스(matrix) 내에서의 결정화 과정이 다르게 진행되기 때문으로 해석할 수 있다.14 PA 6/탄소필러 복합체에서 추가로 확인되는 2θ = 26° 부근에서의 피크는 (002), (004)의 흑연 결정면에 대한 고유의 회절 피크가 나타나는 것으로 확인되었으며,15 MB 적용 여부에 따른 복합체의 탄소필러 분산성에 대한 확인을 위해 회절면의 결정크기를 분석하였다. 이는 Scherrer 식을 이용하여 얻을 수 있으며, 식 (1)에 나타내었다.16

식 (1)에서 L은 격자 평면에 수직인 방향의 결정크기이고, β는 형상 계수인 scherrer factor로 0.9이며, λ는 X-선 파장(CuKa = 1.5406 Å), θ는 Bragg angle, k는 FWHM(full width at half maximum)으로 피크 높이의 반절 값에 해당하는 반치폭을 의미한다. Scherrer 식을 이용한 PA 6/탄소필러 복합체의 a 형 결정구조(20°)의 결정 크기를 계산하여 Table 2에 나타내었다. 크기를 비교하면 PA 6 대비 복합체의 결정크기가 감소하는데 이는 탄소필러가 불균일 핵제로 작용하여 핵의 수가 많아져 결정 크기가 감소하기 때문이다. 또한, MB가 적용된 복합체보다 ALL PW 복합체의 결정크기가 상대적으로 크며 이러한 결과는 MB를 통해 분산성이 향상되어 핵생성 사이트가 증가했기 때문으로 해석할 수 있다. 탄소필러에 의한 불균일 핵제 작용은 결정화도 증가를 가져올 것으로 예측되며 PA 6의 이론 용융 엔탈피(230 J/g)를17 기준으로 결정화도를 계산한 결과 복합체의 결정화도(Table 2)가 큰 폭으로 증가함을 확인할 수 있었다.
탄소필러의 MB 적용에 따른 결정화 거동을 추가적으로 고찰하기 위해 Avrami 분석을 이용하였다. Avrami 분석은 고분자의 결정화가 등온조건에서 일어날 때 다음 식 (2)와 같이 나타낼 수 있다.

여기서X(t)는 결정화 시간 t에서의 상대적 결정화도, n은 Avrami 지수, k는 시간에 따른 결정화 속도 상수를 의미한다. Avrami 분석을 비등온 결정화 거동에 적용하기 위해 modified Avrami 식에 적용하였으며, modified Avrami 식은 Herrero와18 Cebe에19 의해 Avrami 식으로부터 유도되었다.비등온 상태를 고려해주기 위해 식 (3)과 같이 냉각속도 c를 도입하여 결정화 속도 상수를 보정해준다.

비등온 DSC의 냉각곡선으로부터 Avrami 식을 이용하여 상대 결정화도(relative crystallinity)를 계산하였고 Avrami 지수(n) 결정화 시간(t) 및 상대적 결정화도를 Table 2와 Figure 3에 나타내었다. Figure 3의 상대결정화도 곡선에서 MB가 적용된 복합체의 최대치 도달 시간이 증가하는 것을 보여주었으며, 특히 GNP MB1과 CB GNP MB2 복합체에서 4배 이상 증가하는 결과를 보여주었다. GNP가 단독으로 MB로 사용될 때 최대치 도달 시간이 크게 증가함을 확인할 수 있는데 이는 기존의 유변학적 특성을 이용한 분산성 연구에서도8 확인되었듯이 수십층의 플레이트 구조인 GNP의 경우 MB에 의한 분산성 개선 효과가 크게 나타나고, 이는 매트릭스 내에서 사슬 운동을 억제하는 영역의 증가로 이어져 결정화 속도가 감소되기 때문으로 유추된다.
MB 적용에 따른 탄소필러의 분산성 확인을 위해 TEM을 측정하여 Figure 4에 나타내었다. 검은색의 긴 형상의 필러는 CNT를 나타내며, 타원형의 검은색은 CB 또는 GNP를 나타내는 것으로 판단된다. ALL PW의 경우 GNP 등의 필러들이 일정 크기 이상으로 뭉쳐 있는 형상을 보이는 반면 CB GNP MB 2의 경우 타원형의 필러들이 일정 수준 분리되어 나타나는 것을 확인할 수 있고, 이는 CB와 GNP의 MB 적용에 따라 분산성이 향상되기 때문으로 해석할 수 있다.
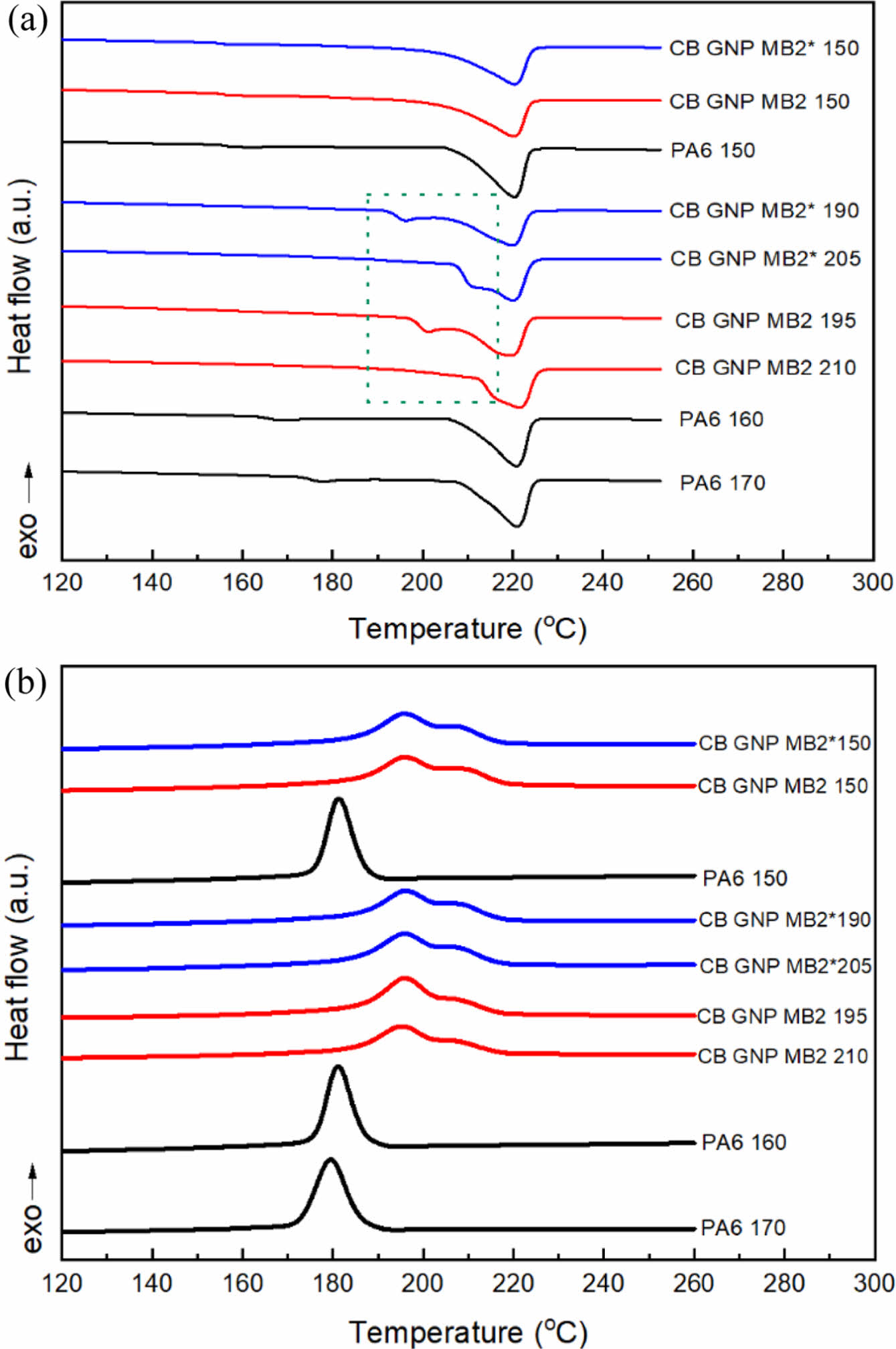
식 (2)의 Avrami 분석에서 기울기를 나타내는 지수 n은 핵생성, 결정의 성장형태 및 성장조절에 따라 달라지는 값이다. Figure 5는 Figure 3의 시간에 따른 상대 결정화도 값과 식 (2)를 이용하여 계산한 값을 나타낸 것이다. Figure 5에서 기울기 값이 Avrami 지수이며 지수 n을 계산하여 Table 2에 요약하였다. PA 6의 n 값이 2.2를 보여주고 있는데, 이는 PA 6의 경우 균일 상 핵생성에 대해 확산 성장조절 및 성장형태가 구형을 나타내기 때문으로 판단된다. 위와 같은 결정 형태일 때 이론적 n 값은 5/2이며 실험 값이 이에 근접하는 것을 알 수 있다. 탄소필러가 첨가된 PA 6/탄소 필러 복합체의 경우 탄소 필러에 의해 핵생성이 균일상에서 불균일 핵생성에 의해 순간적으로 바뀌고 탄소필러의 종횡비로 성장 형태가 구형에서 막대형으로 성장조절은 확산에서 계면에서의 성장조절이 예상(이론 값 2)되는데, 실제 복합체의 n 값이 1.8-2.0 범위를 보여주고 있다.10 이와 같은 PA 6/탄소필러 복합체의 결정화 속도론의 변화는 Figure 2에서 보여준 것처럼 결정구조가 좀 더 안정한 a형 구조로 전환되는 것에 일부 기여하는 것으로 판단된다. 본 연구실의 기계적/전기적특성에 대한 기존 연구에서 CB와 GNP를 MB로 적용하는 경우 최적의 물성을 나타내었고, MB 적용 시 두개의 탄소필러를 각각 MB화하는 경우(MB2)가 두 필러를 혼합하여 MB화하는 경우(MB2*)보다 우수한 물성을 나타내었다.8 또한 Table 1과 Table 2에서 MB2, MB2* 적용 복합체의 상대결정화도 최대 도달 시간과 결정화 온도가 각각 4.7 min, 5 ℃ 차이를 보여주었는데, 이에 대한 내용을 추가적으로 확인하기 위해 등온 결정화 실험을 진행하였다. 등온 결정화 조건은 150 ℃ 그리고 결정화 피크 온도를 기준으로 선정하였다.
Figure 6은 등온 결정화 시료의 가열 및 냉각 곡선을 나타낸 것이다. 등온 결정화 조건에 상관없이 주 용융온도(220 ℃ 근처)에 대한 변화는 관찰되지 않았으며, 복합체의 경우 등온 결정화온도 근처에서 새로운 용융 피크가 관찰되었는데 이는 등온 결정화온도에서 열역학적으로 안정한 물리적배열이 발생하기 때문으로 해석할 수 있으며, 이는 2차 용융에서 사라지는 결과로부터 확인할 수 있었다. Figure 6(b)의 결정화 거동의 경우 Figure 1의 결정화 곡선과 큰 차이를 보이지 않는 것을 확인할 수 있는데, 이는 등온 결정화 시 발생한 용융 피크의 변화가 단순히 아닐링 효과에 따른 사슬간 충진(packing) 등 물리적인 배열 상태 변화에 대한 것임을 다시 한번 더 확인해주는 결과로 해석할 수 있다.
앞에서 언급한 복합체의 등온 결정화과정에서 나타나는 새로운 용융 피크는 Nujalee 등의20 선형 방향족 폴리에스터에 대한 연구에서 주 용융 피크는 라멜라 스택의 기본 결정체에 의한 것이며, 새로운 피크는 재결정화에 의한 것으로 설명하고 있으며 등온결정화에 의한 재결정화의 경우 충진(packing)과 같은 물리적 배열에 의한 것임을 확인하기 위해 XRD 실험을 진행하여 Figure 7에 나타내었다. MB2와 MB2*가 적용된 복합체의 XRD 결과 등온 결정화 과정 전후 시편 모두 동일한 α형 결정 구조를 나타내었고, 이는 새로운 용융 피크가 새로운 결정 구조보다는 물리적 배열에 의한 재결정화에 의한 것임을 보이는 간접적인 증거로 추측된다.
|
Figure 1 DSC cooling: (a) and heating curves; (b) of PA 6/carbon filler composites. |
|
Figure 2 X-ray diffraction of PA 6/carbon filler composites. |
|
Figure 3 Relative crystallinities of PA 6/carbon filler composites. |
|
Figure 4 TEM images for ALL PW (left) and CB GNP MB2 (right). |
|
Figure 5 Avrami analysis of PA 6/carbon filler composites. |
|
Figure 6 (a) DSC heating; (b) cooling curves after isothermal crystallization of PA 6/carbon filler composites. |
|
Figure 7 X-ray diffraction of PA 6/carbon filler composites before and after isothermal crystallization. |
|
Table 2 Summaries for Avrami index (n), Crystallization Time (t) and Crystallite Size of PA 6/Carbon Filler Composites |
PA 6/탄소 필러 복합체의 결정화 피크는 PA 6과 달리 새로운 결정화 온도를 나타내었고, 이는 새로운 결정구조의 생성이 아니고 PA 6 매트릭스 자체와 PA 6 매트릭스/탄소필러 계면에서의 결정화 거동이 다르기 때문에 나타나는 현상으로 해석된다. 이는 PA 6과 복합소재의 XRD 분석결과 PA의 경우 α 형과 γ 형 결정이 나타나는 반면 모든 복합체에서는 상대적으로 안정한 α 형이 동일하게 나타나는 결과에서 확인할 수 있었다. 복합체의 결정화 속도론 분석결과 CNT 또는 CB 대비 상대적으로 분산이 어려운 GNP에 MB가 적용되는 경우 최대 상대결정화도 도달 시간이 크게 증가하였는데, 이는 필름 등의 성형가공 시 냉각공정에서 고려해야 할 것으로 판단된다. 또한 Avrami 지수 분석 결과 PA 6는 구형에 가까운 결정성장 과정을 보이는 반면 복합체는 원반형에 가까운 성장과정을 보여주었다. 등온 결정화과정에서 나타낸 새로운 용융 피크는 물리적 배열에 의한 것임을 등온결정화 시료의 용융 후 결정화 피크와 XRD 결과에서 확인되었다.
This Article2024; 48(6): 649-655
Published online Nov 25, 2024
Services
Correspondence toMajor in Polymer Science and Engineering, Kongju National University, 1223-34 Cheonan way, Cheonan 31080, Korea