
Department of Polymer Science and Engineering, Sungkyunkwan University, 300 Chunchun-dong, Jangan-gu, Suwon, Gyeonggi-do 16419, Korea
성균관대학교 고분자공학과
Reproduction, stored in a retrieval system, or transmitted in any form of any part of this publication is permitted only by written permission from the Polymer Society of Korea.
Poly(vingl chloride) (PVC) is one of the best selling plastics today, and plasticizers are essential for its processing. di(2-ethylhexyl) phthalate (DEHP), which is phthalate-based plasticizer, is the most commonly used. However, recent research has shown that DEHP can be migrated to the outside of PVC systems, and is found to be harmful to humans and the environment. Therefore, eco-friendly plasticizers excluding aromatic moieties in their structures began to be used as alternative plasticizers such as BASF's diisononyl cyclohexane-1,2-dicarboxylate (DINCH). However, the presence of free volume of PVC polymers still limits the problem of plasticizer migration. In this study, radical polymerization was used to synthesize acrylic oligomers containing both butyl acrylate and hydroxy propyl acrylate to compensate for the drawback of the DINCH migration. The new material obtained in this study was applied to PVC fabrication together with DINCH to prepare various PVC test samples, and their migration properties, thermal properties, and mechanical properties are analyzed.
Poly(vingl chloride)(PVC)는 오늘날 사용되는 대표적 범용 플라스틱 중 하나로 이를 가공할 때는 가소제가 필요하며 프탈레이트계 인 di(2-ethylhexyl) phthalate(DEHP)가 가장 많이 사용된다. 그러나 DEHP 가소제가 PVC계 밖으로 이행될 수 있으며, 이행된 가소제는 인체 및 환경에 유해하다는 사실이 밝혀지면서 방향족 성분이 제외된 (독)BASF사의 diisononyl cyclohexane-1,2-dicarboxylate(DINCH)와 같은 친환경 가소제로 대체 되기 시작하였다. 하지만 친환경 가소제를 적용하더라도 PVC 고분자의 자유 부피 존재로 인해 이행 억제제 없이는 가소제가 수지계 밖으로 여전히 이행되는 문제점을 갖고 있다. 본 연구에서는 친환경 가소제인 DINCH가 PVC로부터 이행되는 문제점을 보완하기 위해 라디칼 중합을 이용하여 butyl acrylate(BA) 및 수산화기가 포함된 hydroxy propyl acrylate(HPA)를 기반으로 하여 올리고머형 이행 억제제를 합성하였다. 획득한 신규 물질을 DINCH와 함께 PVC에 첨가, 적용하여 다양한 PVC 시편을 제작하였으며 이를 이용하여 이행성 특성, 열적 특성, 그리고 기계적 특성을 분석하여 그 효용성을 검토하였다.
In this study, radical polymerization was used to synthesize acrylic oligomers containing both butyl acrylate and hydroxy propyl acrylate to compensate for the drawback of the plasticizer migration. The new material obtained in this study was applied to poly(vinyl chloride) (PVC) fabrication together with diisononyl cyclohexane-1,2-dicarboxylate (DINCH) to prepare various PVC test samples, and their migration properties, thermal properties, and mechanical properties are analyzed.

Keywords: poly(vinyl chloride), plasticizer, diisononyl cyclohexane-1,2-dicarboxylate, acrylic oligomer, migration.
본 연구는 환경부 생활공감 환경보건기술 개발사업(과제번호: 2016002040001)의 연구비 지원으로 수행되었습니다.
저자들은 이해상충이 없음을 선언합니다.
Poly(vinyl chloride)(PVC)는 vinyl chloride monomer(VCM)의 라디칼 중합으로 생산되는 열가소성 수지이며,1 PVC는 세계 5대 범용 플라스틱의 하나로 내화학성, 내구성, 난연성, 내유성 등 우수한 특성을 보유하고 있어 식품 포장재, 유아용품, 의료기기 등 매우 다양한 분야에서 사용된다.2-3 하지만 가소제가 첨가되지 않은 순수한 PVC는 단단한 성질을 보유하고 있어 가공이 어려우며, 일반적인 PVC 가공에는 수지를 부드럽게 만들어 주는 가소제가 반드시 필요하다.4
가소제는 PVC와 같은 고분자 수지에 첨가하여 수지의 유리전이온도를 낮추고 가공을 용이하게 만들어주는 첨가제이다.5 현재 가장 많이 사용되고 있는 PVC 가소제는 프탈레이트계 가소제로 dibutyl phthalate(DBP), di(2-ethylhexyl) phthalate (DEHP), diisononyl phthalate(DINP) 그리고 di-n-octyl phthalate (DnOP) 등 여러 종류가 사용되고 있다.6 이러한 프탈레이트계 가소제는 PVC와 혼화성이 우수하여 뛰어난 가소화 효율을 보여주지만, PVC 자체의 자유부피(free volume)로 인해서 고분자계 밖으로 이행될 수 있다.7 또한 프탈레이트가 인체 및 환경에 유해한 영향을 미친다는 연구 결과가 나오게 되면서 전 세계적으로 이목이 집중되었고, 이에 따라 프탈레이트와 관련된 환경 규제는 점점 심화되고 있는 실정이다.8-10
친환경 가소제란 비방향족 물질이며 전통적인 가소제와 마찬가지로 가소화 효율이 뛰어나며 적용 가소제가 고분자계로부터 이행이 발생한다 해도 인체 및 환경에 무해한 가소제를 의미한다.11 현재 시장에 출시된 친환경 가소제는 다양한 종류가 존재하는데, 그 중 독일 BASF사의 diisononyl cyclohexane-1,2-dicarboxylate(DINCH)는 기존 사용하던 전통적인 DEHP 가소제와 비교하여도 유사한 가소화 효율을 보유하며 방향족 구조가 제외된 시클로헥산 구조를 가지고 있어 가장 대표적인 친환경 가소제로서 사용되고 있다.12 Figure 1을 이용하여 PVC와 DINCH의 상호작용을 표현하였다.
DINCH는 프탈레이트계 가소제를 대체할 친환경 가소제로서 식품 포장, 유아용 장난감, 그리고 의료용품 등 응용 분야가 매우 다양하다.13 하지만 친환경 가소제가 적용된 제품이더라도 고분자에 자유부피가 존재하는 한 가소제가 고분자계 밖으로 이행되는 문제점은 근본적으로 해결되지 않는다. 특히, 오일류와 같은 소수성 물질이 다량 존재하는 환경에 DINCH가 적용된 PVC 제품이 노출될 시 더 많은 가소제가 이행될 수 있다. 실제로 올리브오일(olive oil)을 주 식재료로 사용하고 있는 유럽 국가의 경우, DINCH가 적용된 PVC 랩 제품이 사용되며,14,15 DINCH가 랩 제품 밖으로 이행되는 문제가 빈번히 발생하고 있다. 따라서 PVC에서 DINCH 가소제가 이행되는 문제를 해결할 수 있는 이행 억제제의 개발이 필요한 실정이다.
아크릴 고분자는 butyl acrylate 등 아크릴레이트 단량체로 중합된 고분자로 다양한 종류가 존재하며 이미 많은 물질이 Food & Drug Administration(FDA)의 승인을 받아 친환경성 또한 내재하고 있다. 또한, 아크릴 고분자는 라디칼 중합으로 분자량 조절이 용이하여 비교적 낮은 분자량의 아크릴 올리고머의 합성이 가능하다. 본 연구에서는 라디칼 중합으로 아크릴 올리고머를 합성하여 가소제 이행 억제제로서 PVC에 적용하였으며, 이의 구조 내에 극성 관능기를 적절히 도입하여 DINCH 가소제가 PVC 사슬 밖으로 이행되는 근본적인 문제를 해결하고자 하였다.
본 연구에서는 butyl acrylate 그리고 수산기를 가지는 hydroxy acrylate(2-hydroxyethyl acrylate, 2-hydroxyethyl methacrylate 및 2-hydroxypropyl acrylate)를 공단량체로서 사용하고 free radical polymerization(FRP)을 각각 수행하여 4종의 신규 아크릴 올리고머를 합성하였다. 목표 분자량은 독일 BASF사에서 시판되고 있는 아크릴 올리고머인 JONCRYL ADP-1200을 참고하여 1800으로 선정하였다. 그리고 PVC 수지에 DINCH를 1차 가소제로써 적용하였고, 신규 아크릴 올리고머는 이행 억제제 역할을 하는 2차 가소제로써 추가 배합하여 다양한 종류의 PVC 시편을 제작하였다. 특정 시편을 사용하여 소수성 용매(olive oil)에 대한 이행성과 열에 의한 이행성(가열 감량)을 조사하였으며, TGA와 DMA를 이용한 열적 특성 및 UTM과 Shore durometer를 이용한 기계적 특성을 조사하여 신규 아크릴 올리고머가 PVC 가소제의 이행 억제제로써의 적합성을 검토하였다.
|
Figure 1 The interaction between DINCH plasticizer and PVC polymer chains. |
시약. 아크릴 올리고머의 합성에 사용된 단량체 중 butyl acrylate(BA, > 99.0%), 2-hydroxyethyl acrylate(HEA, > 97.0%), 2-hydroxyethyl methacrylate(HEMA, > 95.0%) 그리고 2-hydroxypropyl acrylate(HPA, > 95.0%)는 각각 Sigma-Aldrich(USA) 및 Tokyo Chemical Industry(일본)에서 구입하여 별도의 정제 과정을 생략하고 사용하였다. 개시제와 사슬이동제(chain transfer agent)인 2,2′-azobis(2-methylpropionitrile)(AIBN, > 98.0%) 및 1-dodecanethiol(> 98.0%)는 각각 삼전순약(한국) 그리고 Sigma-Aldrich(USA)에서, 그리고 반응 용매인 toluene(> 99.8%)과 분리정제 과정에 사용한 용매인 methanol(> 94.5%)은 삼전순약(한국)에서 구입하여 사용하였다. PVC 시편 제작(solution casting method 및 sol-gel method)에 사용된 PVC paste resin (KM-31)은 한화케미칼(한국)에서 구입하여 사용하였다. 그리고 tetrahydrofuran(THF)(> 99.9%)는 삼전순약(한국)에서, 열 안정제(thermal stabilizer, 이하 T.S.)는 송원산업(한국)의 BZ-101을 구입하여 사용하였다. 가소제인 DINCH는 BASF사(독일)에서 직접 입수하여 사용하였다.
목표 분자량 1800 Poly(butyl acrylate)의 합성. Butyl acrylate를 모노머로 하여 분자량 1800의 올리고머를 합성하기 위해 FRP를 수행하였다. 획득한 최종 합성품의 명명은 pBA로 하였다. 삼구 플라스크에 콘덴서와 온도계를 연결하고 온도 조절기 그리고 교반기를 갖추었다. 반응기 내부에 butyl acrylate 30 g, 개시제인 2,2′-azobis(2-methylpropionitrile)(2.57 wt% of monomer), 사슬 이동제인 1-dodecanethiol(11.0 wt% of monomer), 그리고 반응 용매인 toluene 92.6 mL(고형분 30%)를 투입하였다. 반응기 내부를 질소로 충전한 후 110 ℃까지 천천히 승온시키면서 800 rpm으로 교반하였다. 반응의 전환도를 thin layer chromatography(TLC)를 사용하여 주기적으로 확인하면서 약 5시간 반응시켰다. 중합 종결 후 메탄올 수용액을 이용하여 반응 혼합물을 침전, 반복 세척하여 poly(butyl acrylate, pBA)를 90% 이상의 수율로 획득하였다. Scheme 1에 pBA의 합성 반응을 나타내었다.
Scheme 1. Typical schematic description of the synthesis for
poly(butyl acrylate, pBA) by radical polymerization.
목표 분자량 1800 Poly(butyl acrylate-co-hydroxy acrylate, 90/10)의 합성. 수산기를 포함하고 있는 아크릴 모노머 3종(2-hydroxyethyl acrylate(HEA), 2-hydroxyethyl methacrylate (HEMA) 그리고 2-hydroxypropyl acrylate(HPA))을 공단량체로서 butyl acrylate 단량체 대비 10 mol% 사용하여 공중합하였다. 상기 pBA의 합성 및 분리 정제 과정을 동일하게 적용하여 분자량 1800의 아크릴 올리고머 공중합체를 얻었다. 합성된 공중합체는 각각의 아크릴 올리고머가 구성하고 있는 단량체를 알 수 있게끔 p(BA-co-HEA), p(BA-co-HEMA), 그리고 p(BA-co-HPA)로 명명하였다. Scheme 2에 poly(butyl acrylate-co-hydroxy acrylate)의 합성 반응을 나타내었다.
Scheme 2. Typical schematic description of the synthesis for p(BAco-HEA), p(BA-co-HEMA), and p(BA-co-HPA), respectively, by
radical polymerization.
아크릴 올리고머 함유 연질 PVC 시편 제작. 본 연구에서 합성된 신규 아크릴 올리고머를 PVC 수지에 DINCH 가소제와 함께 적용하여 다양한 PVC 시편(p-PVC)을 제작하였다. p-PVC의 다양한 특성 평가를 위해 sol-gel 방법으로 coin 및 dog-bone 형태의 시편을 제작하였고, THF를 용매로 사용한 solution casting 방법으로 필름형 p-PVC 시편을 제작하였다. Table 1에 p-PVC 제작 시 적용한 다양한 가소제 배합비를 나타내었다.
연질 PVC 시편의 가소제 이행성 평가. 제작한 p-PVC 시편을 olive oil을 사용하여 소수성 용매에 의한 이행성 분석을 수행하였다. p-PVC 시편을 가로 50 mm, 세로 50 mm 크기로 알맞게 제단 후 초기 중량을 측정하였다. 그리고 준비해 놓은 용매인 olive oil에 충분히 함침시키고 방치하였다. 24시간이 지난 후 꺼내어서 충분히 건조를 진행하였고 나중 무게를 측정하여 초기 중량과의 차이를 이용하여 다음과 같은 식을 적용하여 가소제 이행률을 계산하였다.

W0와 W는 각각 p-PVC 시편의 초기 중량(g) 그리고 나중 중량(g)을 의미한다.
연질 PVC 시편의 가소제 가열 감량 평가. 제작한 p-PVC 필름형 시편의 가열에 의한 이행성 특성에 해당되는 가열 감량을 평가하였다. 상기 용매에 대한 이행성 분석법과 동일한 치수의 p-PVC 시편을 준비하였고, 초기 중량을 측정하였다. 그리고 온도 구배가 일정한 오븐에서 120 ℃ 온도 조건 하에 방치하였다. 24시간이 지난 후, 냉각을 30분 동안 상온에서 천천히 진행하였고 나중 중량을 측정하여 용매에 의한 이행성 특성 평가에 적용한 degree of migration(이행률) 식을 이용하여 무게 변화량을 계산하였다.
연질 PVC 시편의 열적 특성 평가. 본 연구에서 합성한 아크릴 올리고머가 배합된 p-PVC 시편의 열적 특성을 조사하기 위해 Seiko Exstar사(일본)의 DMA/SS6100 그리고 Seiko Exstar사(일본)의 TG/DTA 7300을 각각 사용하였다.
연질 PVC 시편의 기계적 특성 평가. 본 연구에서 제작한 dog bone 형 p-PVC 시편의 기계적 특성을 분석하기 위해 Instron사(USA)의 3367 모델을 사용하여 tensile strength, elongation at break, modulus at 100% elongation을 측정하였다. 제작된 dog-bone형 p-PVC 시편을 50 mm/min의 인장 조건으로 시편이 끊어질 때까지 당기어서 측정된 값을 분석하였다.
한편, 본 연구에서 제작한 coin 형 p-PVC 시편을 사용하여 PVC의 가소화 정도를 나타내는 Shore A hardness를 측정하였다. Asker사(USA)의 Shore durometer(A type)을 이용하였고, 제작한 p-PVC 시편을 경도계에 올려놓고 500 g의 추와 함께 침을 완전히 하강시켜 5초 뒤 표시되는 수치를 기록하였다. 하강시키는 지점을 달리하여 3회 측정하여 평균값을 계산하여 상호 비교하였다.
Poly(butyl acrylate) 및 Poly(butyl acrylate-co-hydroxy acrylate)의 합성. 본 연구에서는 수평균 분자량 1800 목표로 butyl acrylate를 기반으로 하여 다양한 수산기 함유 아크릴레이트 단량체(HEA, HEMA 및 HPA)를 사용하여 아크릴 올리고머를 중합하였으며, GPC를 사용하여 아크릴 올리고머의 분자량 및 PDI를, FTIR 그리고 1H NMR을 사용하여 화학 구조를 분석하였다.
획득한 아크릴 올리고머 4종의 분자량을 확인하기 위해 시료를 THF에 희석하고 필터링을 진행한 후에 GPC를 이용하여 분석하였다. Figure 2는 본 연구에서 합성된 신규 물질 중의 하나인 p(BA-co-HPA)의 GPC 크로마토그램이다(수평균 분자량 1833, 중량평균 분자량 2693, PDI 1.469). 다른 아크릴 올리고머의 분자량 정보와 PDI는 Table 2에 나타내었다.
합성된 아크릴 올리고머는 FTIR을 이용하여 구조 분석되었으며, 특히 DINCH 가소제의 존재하에서 특정 피크의 위치 이동을 주의 깊게 관찰하였다(Figure 3). pBA 구조에는 수산기(–OH)가 존재하지 않기 때문에 3700-3000 cm-1에 해당하는 피크가 관찰되지 않았지만, 이 외의 poly(butyl acrylate-co-hydroxy acrylate) 올리고머 3종(p(BA-co-HEA), p(BA-co-HEMA) 및 p(BA-co-HPA))의 스펙트럼에서는 –OH 관능기가 관찰되었다. 그리고 C=O 관능기에 해당하는 피크가 1900-1750 cm-1 근처에서 관찰되었지만, C=C결합에 해당하는 피크가 1700-1550 cm-1에서 관찰되지 않아 잔여 아크릴레이트 단량체 없이 아크릴 올리고머의 분리, 정제가 잘 수행되었음을 확인하였다. 한편, Figure 4에 DINCH 가소제 단독의 FTIR 스펙트럼과 (DINCH + p(BA-co-HPA), 90:10) 혼합물의 FTIR 스펙트럼을 함께 나타내었다. C=O 관능기 피크에 해당하는 1760-1695 cm-1 범위를 확대해보면 DINCH 가소제 단독 대비 p(BA-co-HPA) 도입으로 약 10 cm-1 정도 미세하게 차이가 있다는 것을 알 수 있다. 이는 아크릴 올리고머의 –OH 기와 DINCH의 C=O 관능기가 수소결합을 이루어 FTIR 스펙트럼에서 약간의 피크 이동이 발생한 것으로 추정된다.
한편, 1H NMR을 이용하여 합성된 아크릴 올리고머의 추가적인 구조 분석 및 DINCH 가소제와의 상호 작용을 조사하였다. Figure 5는 본 연구에서 얻어진 4종의 아크릴 올리고머의 1H NMR 스펙트럼이다. pBA를 제외한 poly(butyl acrylate-co-hydroxy acrylate) 올리고머 3종인 p(BA-co-HEA), p(BA-co-HEMA), 그리고 p(BA-co-HPA)의 스펙트럼 모두에서 –OH 기에 해당되는 피크(3.5-3.8 ppm)를 관찰하였다. 그리고 Figure 6에서는 p(BA-co-HPA) 단독의 1H NMR 스펙트럼과 DINCH가 소량(5%) 함유된 p(BA-co-HPA)의 1H NMR 스펙트럼을 서로 비교하였다. p(BA-co-HPA) 단독의 1H NMR 스펙트럼에서는 –OH 관능기가 약 3.3 ppm에서 관찰되었으나 소량의 DINCH와 혼합된 p(BA-co-HPA) 혼합물의 1H NMR 스펙트럼에서는 –OH 관능기가 약 3.8 ppm에서 관찰되었다. 이는 FTIR 스펙트럼 분석 결과와 마찬가지로 p(BA-co-HPA)의 –OH 관능기가 DINCH의 C=O 관능기와 수소결합을 이루어 1H NMR 스펙트럼상에서 –OH 관능기의 피크 위치의 이동이 발생한 것으로 추정된다.
p-PVC 시편의 가소제 이행성 평가. Olive oil을 용매로 선정하고 본 연구에서 제작한 p-PVC 시편이 함유하고 있는 DINCH 가소제의 이행성 특성을 분석하였다. Figure 7에 DINCH 단독 및 다양한 아크릴 올리고머가 추가로 배합된 p-PVC의 용매 함침 후의 무게 감소율을 나타내었다. Olive oil에 의한 가소제 이행성 특성 분석 결과, DINCH/p(BA-co-HPA) (55 phr/5 phr) 배합물의 무게 감소율이 8.96%로 가장 낮은 수치를 보여주었고 DINCH(60 phr) 단독 사용보다 무게 감소율이 4.19% 감소하였다. 이는 상기의 FTIR 및 1H NMR 분석 결과와 마찬가지로 p(BA-co-HPA)의 –OH 관능기가 DINCH의 C=O 관능기와 수소결합을 이루어 DINCH 가소제의 내이행성이 증진된 것으로 추정된다.
p-PVC 시편의 가소제의 가열 감량 평가. 본 연구에서 제작한 p-PVC 시편의 가열(120 ℃, 24시간) 감량을 조사하여 열에 의한 가소제의 이행성 특성을 분석하였다. Figure 8에 본 연구에서 획득한 신규 아크릴 올리고머가 배합된 p-PVC의 무게 감소율을 나타내었다. 그 결과, 상기 용매에 의한 이행성 특성 분석 결과와 유사하게, DINCH/p(BA-co-HPA) (55 phr/5 phr) 배합물의 무게 감소율이 7.89%로 가장 낮은 수치를 나타내었고, DINCH 단독 사용보다 무게 감소율이 9.77% 감소하였다.
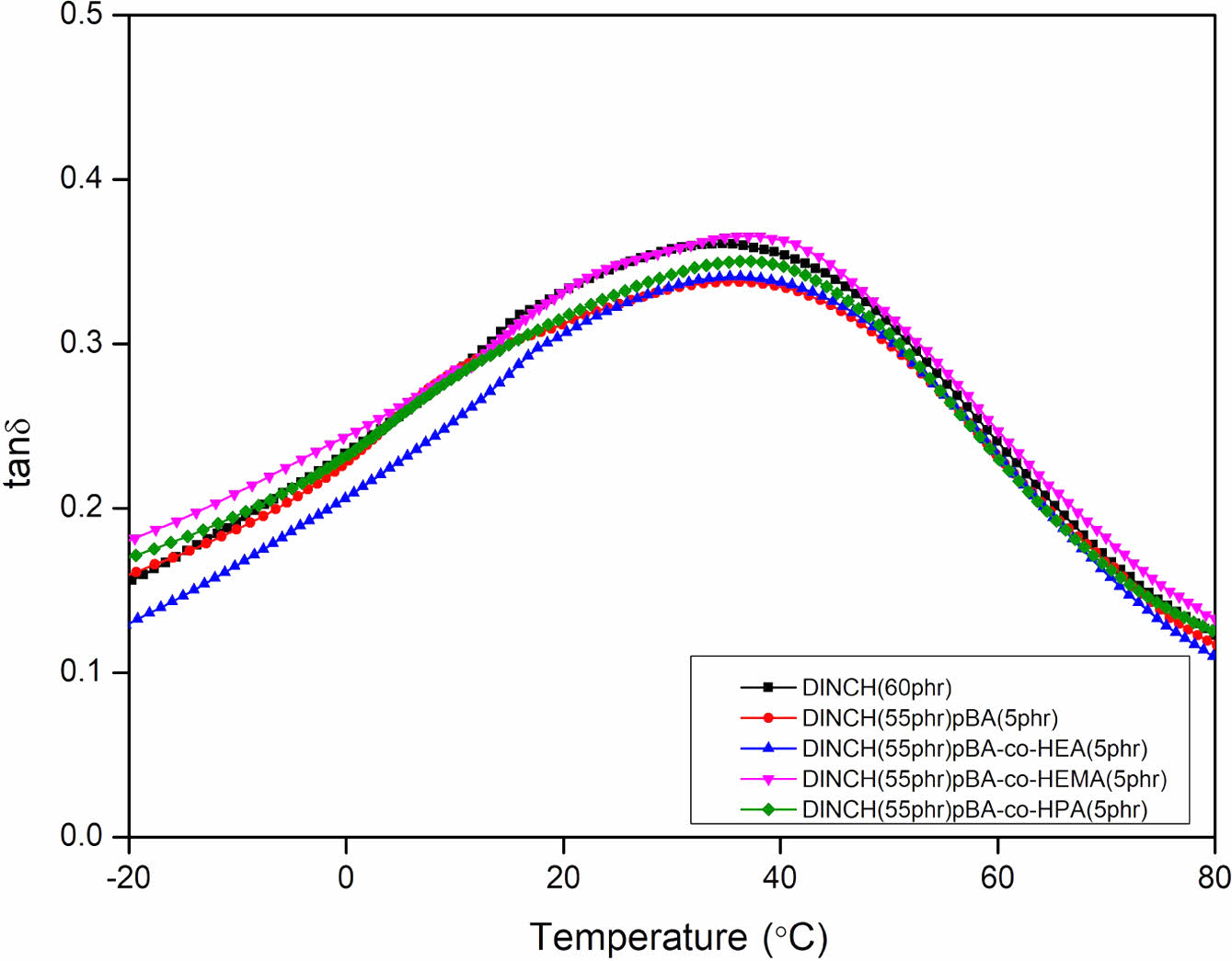
p-PVC 시편의 열적 특성 평가. 본 연구에서 제작한 p-PVC 시편을 이용하여 DMA 및 TGA 분석을 통해 열적 특성을 조사하였다. Figure 9에 p-PVC 시편의 온도 변화에 따른 DMA의 tanδ의 변화를 나타내었고 Table 3에는 다양한 p-PVC의 유리전이온도(Tg)의 수치를 나타내었다. DMA 분석 결과, 다양한 아크릴 올리고머는 소량 사용 시 PVC 배합물의 열적 특성에 크게 영향을 미치지 않았다. 이행성 특성 시험에서 가장 우수한 특성을 보여주었던 DINCH/p(BA-co-HPA) (55 phr/5 phr) 배합물이 DINCH 단독 사용 배합물보다 Tg가 약 2 ℃ 정도 상승하는 데 그쳤다.
한편, DINCH와 다양한 아크릴 올리고머가 배합된 PVC 시편의 추가적인 열적 특성을 알아보기 위해 TGA를 이용하고 상온에서 600 ℃까지의 가열하면서 중량 손실을 조사하였다(Figure 10). DINCH/p(BA-co-HEMA)(55 phr/5 phr) 가소제 배합물 함유 PVC 시편의 열분해 온도가 가장 높게 측정되었다. 이행성 특성 분석에서 가장 우수한 결과를 보여준 DINCH/p(BA-co-HPA)(55 phr/5 phr) 가소제 배합물 함유 PVC 시편은 DINCH/p(BA-co-HEMA)(55 phr/5 phr) 배합물 시편보다 다소 낮은 열분해 온도를 보여주었으나 분석 시편 중 두 번째로 높은 수치를 보여주었다.
Table 4의 다양한 TGA 분석 결과, 일반적으로 DINCH 단독 함유 PVC 시편보다 아크릴 올리고머가 추가로 첨가된 DINCH 함유 PVC 시편의 열분해 온도(Tdec,10%, Tdec,30%, 및 Tdec,50%,)가 더 높게 관찰되었다. 이는 아크릴 올리고머가 PVC 시편 내의 DINCH와 상호 작용하여 열에 의한 이행 및 휘발성이 억제된 것으로 추정된다.
p-PVC 시편의 기계적 특성 평가. 본 연구에서 제작된 다양한 p-PVC 시편을 이용하고 UTM 및 Shore A durometer 분석을 통해서 아크릴 올리고머가 함유된 PVC 시편의 기계적 특성을 조사하였다.
UTM 분석 결과, 본 연구에서 획득한 신규 아크릴 올리고머 4종이 소량(5 phr) 배합된 p-PVC의 연신율은 DINCH 단독 사용 PVC 시편보다 다소 감소되었으나, 인장 강도 및 탄성률은 크게 변하지 않은 것으로 관찰되었다. Figure 11에는 DINCH와 다양한 아크릴 올리고머가 배합된 p-PVC 시편의 stress-strain curve를 나타내었고, Table 5는 UTM 측정 결과치이다.
한편, Shore A durometer를 이용하여 다양한 p-PVC 시편의 경도를 측정하였다(Figure 12). 본 연구에서 합성한 아크릴 올리고머 4종이 소량 배합된 p-PVC의 Shore A hardness 측정값은 DINCH 단독 사용 PVC 시편보다 다소 높게 관찰되었으나 80 내외에서 유사하게 관찰되었으며, UTM 분석 결과와 마찬가지로 경도 특성에는 악영향을 크게 미치지 않은 것으로 판단되었다.
|
Figure 2 Representative GPC trace of p(BA-co-HPA) acrylic oligomer. |
|
Figure 3 FTIR spectra of acryl oligomers synthesized in this study |
|
Figure 4 FTIR spectra of DINCH and (DINCH + p(BA-co-HPA), 90:10) mixture, respectively. |
|
Figure 5 1H NMR spectra of acryl oligomers synthesized in this study. |
|
Figure 6 1H NMR spectra of p(BA-co-HPA) and (p(BA-co-HPA) + DINCH, 95:5) mixture, respectively |
|
Figure 7 Migration test results of plasticized PVC samples containing DINCH and various acryl oligomers in olive oil. |
|
Figure 8 Volatile loss test results of plasticized PVC samples containing DINCH and various acryl oligomers placed in 120 ℃ oven for 24 hours. |
|
Figure 9 DMA analysis of plasticized PVC samples containing DINCH and various acryl oligomers. |
|
Figure 10 TGA thermograms of plasticized PVC samples containing DINCH and acryl oligomers. |
|
Figure 11 Stress-strain curves of plasticized PVC samples containing DINCH and acryl oligomers. |
|
Figure 12 Shore A hardness results of plasticized PVC samples containing DINCH and acryl oligomers. |
|
Table 2 Molecular Weight and PDI of Poly(butyl acrylate) and Poly(butyl acrylate-co-hydroxy acrylate) Oligomers |
|
Table 3 Glass Transition Temperatures of Plasticized PVC Samples Containing DINCH and Various Acryl Oligomers |
|
Table 4 TGA Results of Plasticized PVC Samples Containing DINCH and Acryl Oligomers |
|
Table 5 Mechanical Properties of Plasticized PVC Samples Containing DINCH and Acryl Oligomers Measured by UTM |
본 연구에서는 butyl acrylate를 기반으로 하여 다양한 종류의 수산기 함유 아크릴 올리고머를 공중합하였다. GPC를 사용하여 획득한 신규 아크릴 올리고머의 분자량을 확인하였고 1H NMR 그리고 FTIR을 사용하여 화학 구조 및 DINCH와의 수소결합 특성을 구체적으로 분석하였다. 그리고 DINCH (제1차 가소제)와 신규 아크릴 올리고머(제2차 가소제)을 복합 사용하여 다양한 가소화된 p-PVC를 제작하였고 이행성 특성, 열적 특성, 그리고 기계적 특성을 각각 분석하였다. 용매의 이행성 특성 분석 결과, p(BA-co-HPA)가 배합된 p-PVC의 내이행성이 가장 우수하게 나타났고, 열에 의한 이행성 특성에 해당하는 가열감량 결과에서도 동일하게 p(BA-co-HPA)가 배합된 p-PVC의 중량이 가장 적게 감소되었다. 열적 특성 분석 결과, 아크릴 올리고머가 함유된 모든 PVC 시편의 Tg는 DINCH 단독 사용 PVC보다 더 높게 측정되었으며, 열 분해 온도도 동일한 결과를 나타내었다. 한편, 기계적 특성 분석 결과, 아크릴 올리고머가 소량 함유된 PVC 시편의 인장강도, 연신율, 그리고 모듈러스는 DINCH 단독 사용 PVC 와 상응한 결과를 보여주었고, Shore A hardness 측정 결과의 경도 차이도 크게 나지 않았다. 종합적으로 검토할 때 이행성 특성 분석에서 가장 우수한 내이행성 결과를 보여준 p(BA-co-HPA) 올리고머가 DINCH 가소제와 함께 배합된 p-PVC의 열적 특성 및 기계적 특성이 크게 악화되지 않았기 때문에 p(BA-co-HPA) 아크릴 올리고머가 본 연구의 목표에 가장 부합되는 물질로 사료된다.
This Article2024; 48(6): 669-676
Published online Nov 25, 2024
Services
Correspondence toDepartment of Polymer Science and Engineering, Sungkyunkwan University, 300 Chunchun-dong, Jangan-gu, Suwon, Gyeonggi-do 16419, Korea