
Department of Mechanical Design Engineering, Graduate School, 237 Sangidaehak-ro, Siheung-si, Tech University of Korea, Siheung 15073, Korea
한국공학대학교 기계설계공학과
Reproduction, stored in a retrieval system, or transmitted in any form of any part of this publication is permitted only by written permission from the Polymer Society of Korea.
We investigated the characteristics of specimens produced using screw extrusion 3D printing with carbon fiber-nylon composite pellets for potential application into rapid tooling and high strength application. From thermal analysis on nylon66 material with 20 wt% carbon fiber, the thermal decomposition temperature, melting temperature, and crystallization temperature are determined. Tensile test results for specimens obtained from the 3D printed single-layer wall parts revealed that tensile strength and elastic modulus were proportional to the interface temperature. Notably, the interface temperature below the crystallization temperature significantly decreased interfacial adhesion strength due to bead surface crystallization. According to this crystallization behavior, the warpage of the printed part was minimized under combined conditions of high extrusion temperature and low printing bed temperature. These findings contribute to defining a process window for the additive manufacturing of high-strength nylon composite.
본 연구에서는 고강도 부품과 신속 툴링 등에 적용하기 위해 탄소섬유-나일론 복합재 펠렛을 이용한 스크류 압출 기반 3D 프린팅에 있어서 공정 조건에 따른 시편의 특성에 대해 연구하였다. 탄소섬유가 20 wt% 첨가된 나일론66 소재의 열분해온도, 용융온도, 결정화온도를 파악하였다. 스크류 압출 방식의 3D 프린터로 제작된 단일 벽 파트로부터 분리한 시편에 대한 인장시험을 실시한 결과, 인장강도와 탄성계수는 계면온도에 비례하는 것을 알 수 있었다. 특히 결정화 온도 이하의 계면온도에서는 비드 표면의 결정화로 인해 폴리머 사슬의 확산이 저해되어 비드간 접합력이 크게 저하되었다. 열 수축과 결정화 거동의 영향으로 인하여 나일론 적층 부재의 휨 변형은 압출온도가 높고 베드온도가 낮은 조건에서 최소화되었다. 본 연구 결과를 통해 고강도 나일론 복합재의 3D 프린팅 공정의 프로세스 윈도우를 제공할 수 있다.
The properties of carbon-fiber reinforced nylon 66 specimens produced using 3D printing are highly dependent on the printing temperature conditions. The tensile strength is proportional to the interfacial temperature of the beads; however, if the interfacial temperature drops below the crystallization temperature, the interlayer adhesion is significantly weakened due to surface crystallization.

Keywords: polyamide66, additive manufacturing, tensile strength, warpage.
본 연구는 경기도의 경기도지역협력연구센터(GRRC) 사업의 일환으로 수행하였음(GRRC한국공대2020-B01, 자동차용 고강도, 경량, 내열, 발열 부품의 고속 적층가공기술 개발).
저자(들)는 이해상충이 없음을 선언합니다.
3D 프린팅(3D printing) 또는 적층제조(additive manufacturing)는 재료제거가공이나 성형가공 등 전통적인 주요 생산기술과 비교하여 유연성, 처리 속도, 비용 효율성 등이 우수하다. 생산에 필요한 장비, 도구, 그리고 인력이 현저히 줄어들기 때문이다. 또한 종래의 절삭이나 성형가공에 비해 설계와 크기의 제약도 적다. 이러한 이유로 3D 프린팅은 바이오
에서부터 건축 및 항공우주에까지 적용 분야와 시장이 계속 확대되고 있다.1,2 또한 글로벌 환경에서 맞춤형 생산과 지역화에 용이하므로 단순한 프로토타이핑(prototyping)에서 벗어나 생산수단으로도 적극 활용되고 있다.3,4
자동차 분야에서는 소규모 배치 생산(batch production) 혹은 시험 생산(pilot production)을 위한 치공구, 다이(die) 등 신속 툴링(rapid tooling) 기술로서 3D 프린팅의 응용연구가 증가하고 있다. 또한 항공 분야에서도 복합재료 도입이 확대됨에 따라 오토클레이브 성형 등에 필요한 금형에 3D 프린팅이 응용되고 있다.5-6 플라스틱 및 복합 소재는 친환경 규제강화에 따른 경량화에 필수적이므로 향후의 응용 잠재력이 높다.7,8
이러한 산업용 3D 프린팅 및 신속 툴링에 powder bed fusion(PBF) 방식 등의 금속재료를 적용하고자 하는 많은 연구가 있으나, 여전히 높은 재료 및 공정비용과 장시간의 후처리 과정 등이 단점이다.9
한편 다양한 엔지니어링 플라스틱과 고분자 복합재를 이용할 수 있는 압출 기반 3D 프린팅 방식이 접근성이 좋고 경제성이 우수하므로 응용 연구가 활성화되고 있다. 압출 기반 3D 프린팅 기술로서 fused filament fabrication(FFF) 방식은 활용이 매우 쉽지만, 필라멘트 소재 선택의 제한과 FFF 프린터 고유의 낮은 처리량 속도(보통 0.02-0.2 kg/h 사이)가 산업적 응용에 중요 제약 요소이다.10,11 필라멘트 대신 펠렛(pellet)을 공급하는 스크류 압출(screw extrusion)은 고속의 중대형 부품 출력에 이상적인 방식으로써, 재료를 다양화하기 쉬워 출력 파트의 물성 개선에도 유리하다. 스크류 압출기술은 미국 에너지부와 Cincinnati Inc.가 공동 개발한 big area additive manufacturing(BAAM)이 대표적인데, 유량이 수십 kg/h 안팎에 이르는 대형의 스크류 압출기를 적용한 방식으로써 3D 프린팅에 의한 전기차용 일체형 차체, 풍력 터빈 블레이드나 기체 부품 성형용 금형 등에 적용되어 왔다.12,13
스크류 압출의 유량이 FFF의 그것보다 훨씬 높고 압출비드(bead) 및 적층 파트의 크기가 커서 냉각 시간이 길기 때문에 수축과 변형은 중요한 해결과제이다. 또한 다공성(porosity)과 이방성(anisotropy)은 압출 기반 3D 프린팅의 고유한 특성으로서, 3D 프린팅 파트의 결함으로 작용하여 기계적 성능을 저하하는데, 이를 최소화하기 위해서는 압출 비드간 접합(interbead adhesion) 혹은 층간 접합(interlayer adhesion)이 잘 이루어져야 한다.11,14-16 섬유 강화 비결정성(amorphous) 고분자 복합재료는 이러한 스크류 압출에 적합한 소재로서 층간접합이 원활하고 열수축이 적기 때문이다. 구체적으로 매트릭스 재료로는 acrylonitrile butadiene styrene(ABS)과 polycarbonate(PC)가, 첨가제로는 탄소섬유(carbon fiber, CF) 유리섬유(glass fiber, GF), 나무섬유(wood fiber)가 주로 사용되어 왔다.
한편, 기계적 물성, 내화학성 및 고온 성능이 우수한 반결정성(semi-crystalline) 고분자 및 그 복합재는 응용 사례가 충분하지 않다. Polyetheretherketone(PEEK), polyphenylen sulfide (PPS)와 같은 고내열성 반결정성 고분자들은 금속 대체 소재로서 성능이 대단히 우수하지만, 재료비 단가가 매우 높고 공정 조건이 까다롭다. 반결정성 폴리머는 냉각 및 고화 과정에서의 결정화(crystallization)로 인해 비드간 접합과 수축에 큰 영향을 주어 3D 프린팅 공정을 까다롭게 하기 때문이다. 결정화 과정은 큰 체적 수축, 약한 층간 결합, 휨(warpage), 잔류응력에 의한 크랙 등과 같은 이슈를 초래한다. 이러한 특징은 반결정성 고분자 종류마다 결정화 속도 측면에서 개별적으로 거동하므로 다양한 소재 응용이 쉽지 않다.17,18 Polylactic acid(PLA)는 반결정성 고분자 중에서 결정화 속도가 가장 느리고 수축률이 매우 낮으며 프린팅 조건에 민감하지 않아 매우 유용하게 사용되는 재료이다.15,19 고내열성 반결정성 고분자로서 polyetherketoneketone(PEKK)는 같은 계열의 PEEK에 비해 결정화도를 낮출 수 있어 프린팅에 유망한 소재이다.20,21 Polyethylene terephthalate(PET)와 polypropylene(PP)는 PLA와 PEKK 보다 상대적으로 빠른 결정화 속도를 보이는 반결정성 소재지만 섬유 강화를 통해 수축이나 휨 변형을 완화할 수 있다.22-24
나일론 소재는 우수한 기계적 특성과 열적 안정성이 있고, 탄소섬유 강화를 통해 강도와 강성을 향상하게 시켜 신속 툴링 등 견고하고 내구성 있는 소재로서 응용 가능성이 있다.25,26 PA11, PA12가 FFF에서 필라멘트 소재로 상용화되어 있지만, 스크류 압출에서는 나일론 소재의 적용 연구가 드물다. Barera등은 탄소섬유가 40 wt% 강화된 나일론6 복합재의 공정온도 윈도우를 제시하고, 어닐링(annealing) 효과를 분석하였다.27 Tagscherer등은 같은 소재의 온도조건을 분석하였는데, 결정화도를 토대로 프린팅 시편의 굽힘 강도와의 관계를 논의하였다.28
본 연구는 탄소섬유 함량이 20 wt%인 강화 나일론66(polyamide66) 복합재료(CF-PA66)를 스크류 압출 기반 3D 프린팅에 적용에 대해 연구하였다. 나일론66 복합재는 기계적 강도와 내열 특성이 매우 우수한 구조 소재로서 많은 활용도가 기대되나 저자들이 조사한바 3D 프린팅 응용 연구 사례를 찾아볼 수 없었다. 본 연구에서는 나일론66 복합재에 대해 열중량 분석(TGA), 시차주사열량법(DSC), 그리고 점탄성 분석을 통해 기초 재료 물성을 파악하고, 공정 조건과 기계적 물성 및 수축률과의 상호 관계를 분석하였다. 스크류 기반 3D 프린터를 이용하여 적층하는 과정에서 압출온도(extrudate temperature, Text)와 아래층 온도(sublayer temperature, Tsub)를 변수로 하여 결정화 재료의 온도조건 의존적 거동을 파악하고자 하였다.
재료. 본 연구에서 사용한 나일론66 복합재는 지팜사의 CR14-C2으로서 밀도 1.6 g/cm3이고 자체적인 사출성형으로 인장시편을 제작하여 인장 시험을 하였다. 재료는 공정에 투입 전에 강제 순환형 오븐에서 90 ℃, 8시간 동안 건조하여 사용하였다.
측정. 나일론66 복합재 공정 온도 상한으로서 열분해 온도를 파악하기 위하여 열중량분석기(TA Instrument Q500, USA)를 이용하였고, 승온속도 10 ℃/min, 10-700 ℃@N2의 온도 범위에서 측정하였다. 유리전이온도, 결정화 온도를 알기 위하여 시차주사열량계(DSC, Netzsch DSC200F3, Germany)를 사용하여 10-360 ℃ 온도범위에서 승온 및 냉각속도 20 ℃/min 조건에서 열 흐름을 측정하였다.
재료 용융체의 점탄성거동을 측정하기 위하여 직경 25 mm 평행평판 점도계(TA Instrument, DHR1, USA)를 이용하여 측정하였다. 온도 290 ℃에서 주파수 스윕(frequency sweep) 테스트를 실시하였고, 변형(strain)은 0.1%로 고정하였으며, 각 주파수 0.1에서 100 rad/s에서의 점탄성 물성을 측정하였다. 비교를 위해 스크류 압출 3D 프린팅에서 가장 많이 활용되는 탄소섬유 20 wt% 강화 ABS 복합재를(CF20-ABS) 온도 230 ℃에서 측정하였다.
압출온도 및 비드의 온도를 측정하기 위해서 열화상 카메라(FLIR A65, USA)를 이용하였다.
3D 프린팅 장치. 자체 제작한 스크류 압출기를 Figure 1에 나타내었다. 스크류는 직경(D) 15 mm, 총 길이(L) 300 mm이며, 공급부-압축부-계량부의 3개의 존(zone)의 각 길이 비는 9D:6D:5D이다. 계량부와 공급부에서 채널의 깊이 비로 정의되는 압축비는 3.5이다. 노즐은 직경 2 mm를 사용하였다. 배럴 외측에 코일 히터를 적용하였으며, 최대 가열 온도는 450 ℃이다. 프린팅 베드(printing bed)로서 히터 플레이트는 알루미늄 소재와 부착된 필름 히터를 통해 최대 110 ℃를 유지할 수 있으며 베드표면은 마스킹 테이프를 부착하였다. 스크류와 XYZ 축은 4축 모션제어기를 통해 제어하며, 3D모델을 G-Code로 변환하여 적층 경로를 입력할 수 있다. 3D 프린팅 할 수 있는 최대 크기는 210×210×175 mm3이다.
시편 제작. 3D 프린팅의 출력 형상과 시편 획득방법 및 공정 조건을 각각 Figure 2, Table 1에 나타내었다. Figure 2(a)은 인장 물성 평가를 위한 프린팅 및 시편 절취 방법으로서, 운동장 형상의 단일 벽(wall) 입체(180×20×165 mm3)를 압출온도 등 공정 조건을 적용하여 3D 프린팅한다. 단일 벽 입체는 채움(infill)이나 공극(void)의 영향을 배제하고 공정조건에 따른 층간 결합과 결정화 등의 영향을 보는데 적합하다.27,29 워터젯(water-jet)을 이용하여 프린팅 길이 방향과 높이 방향으로 2종의 인장시편을 도려내었다. 시편은 ASTM D638 Type 1(165×13×3.2 mm3)에 근거하였으나 다만 프린팅 온도조건에 따른 점도 변화로 비드의 폭이 달라지므로 시편의 두께는 측정값을 적용하였다. 압출기 온도 설정(3 zone)에 따른 압출온도와 베드온드의 영향을 분석하고자 하였다. Table1에 3D 프린팅 공정조건을 제시하였다. 압출온도는 250-290 ℃ 범위에서 4단계로 설정하였다. 레이어타임(layer time)은 한 층의 출력시간으로서, 3D 프린팅 공정에서 중요 공정 변수이다.29 레이어 타임이 증가할 수록 아래층의 냉각시간이 길어지고 출력 재료와 환경에 따라 온도는 낮아진다. 레이어타임을 통해 아래층의 온도를 조절하였으며 본 연구에서 6, 12, 18초의 3단계로 설정하였다. 베드온도는 인장시편 출력 시 50 ℃로 고정하였다. Figure 2(b)는 수축에 의한 휨 변형을 평가하기 위한 샘플로서 별도의 후가공 없이 출력물로 휨을 평가하였다. 압출온도 4단계, 베드온도 50, 100 ℃ 2단계로 설정하여 평가하였다. 레이어타임은 휨 측정시 12 s로 고정하고 나머지 인장시편과 동일한 조건으로 하였다. 3D 프린팅 시편 제작시에는 압출온도 등 장치가 충분히 열적으로 안정화 상태에서 실험을 수행하였고, 압출유량과 프린팅 속도를 일정하게 하였다. 모든 출력조건에서 5개의 샘플을 제작하였다. 또한 사출성형 시편 제작은 3 ton 탁상형 사출기(Digg Benchtop, RobotDigg, China)를 이용하였고, 노즐부 온도 270 ℃ 압력은 10 MPa로 설정하였다. 또한 보압시간은 30초, 냉각시간은 30초로 설정하였다.
인장물성. 3D 프린팅한 파트는 24시간 이상 경과 후 인장시편을 절취하였으며, 모두 50 ℃의 오븐 챔버에서 48시간 건조하고, 15시간 이상 지난 후 테스트를 진행하였다. 인장시험은 5 kN의 로드셀이 장착된 만능재료시험기(Instron 3345, Instron, USA)을 사용하였으며, 인장 시 크로스헤드의 속도는 1.5 mm/min을 적용하였다. 각 조건당 5개씩 측정하였으며, 탄성계수와 인장강도를 평가하였다. 시편의 중심부를 커터로 절단하여 단면적을 실제 측정하여 적용하였다. 비드 방향 인장시편(0o)은 비드 양단 봉우리도 면적에 포함하였고, 수직 방향 시편(90o)은 실제 접합부 폭만 고려하여 봉우리는 제외하였다. 이는 프린팅 조건에 따른 접합부 폭의 변화와 그에 따른 단면적의 변화를 고려한 것이다.
휨 측정. 캘리퍼스를 이용하여 시편 꼭짓점에서 두께(기준값 20 mm)를 측정한 다음, 측정 정반 위에 내려놓고 하이트 게이지를 이용하여 꼭지점의 높이를 측정한다. 높이에서 두께를 빼서 휨을 측정하였다. 시편 1개당 네 군데의 꼭짓점에 대해 측정하고 평균값을 기록하였다. 압출온도는 4단계로, 베드온도는 50, 100 ℃ 2단계로 설정하여 평가하였다. 레이어타임은 12 s로 고정하고 나머지 인장시편과 동일한 조건으로 하였다. 3D 프린팅 시편 제작시에는 압출온도 등 장치가 충분히 열적으로 안정화 상태에서 실험을 수행하였고, 압출유량과 프린팅 속도를 고정하였다. 모든 출력조건에서 5개의 샘플을 제작하였다.
|
Figure 1 3D printing apparatus. |
|
Figure 2 3D printing geometry and specimen for tensile test and warpage measurement. |
열거동. Figure 3에 TGA 분석 결과를 나타내었다. 약 330 ℃에서부터 질량 감소가 시작되며 367 ℃에서 5%의 손실이 발생하였다. 이를 바탕으로 압출온도의 상한을 320 ℃로 설정하였다.
DSC결과를 Figure 4에 나타내었다. 첫 번째 가열곡선은 펠렛제조 과정의 열 이력에 따라 263 ℃의 용용점이 나타났으나, 두 번째 가열곡선에서 용융은 240-261 ℃ 구간으로 다소 낮아졌다. 통상 3D 프린팅 공정에서 압출온도의 하한으로 설정되는 유리전이온도는 55 ℃로 측정되었다. 첫 번째 냉각곡선에서 결정화가 시작되는 온도(Toc)는 229.6 ℃이고 피크 온도(Tc)는 224.6 ℃로 나타났다. DSC의 가열-냉각속도 조건은 20 ℃/min이지만, 스크류 압출에서 가열속도와 압출 직후 냉각속도는 DSC 조건보다 훨씬 크다. 따라서 냉각과정의 결정화 지연에 따라 결정화 시작 온도는 더 낮아질 것이다. 유리섬유가 함유된 나일론66 복합재의 경우 50 ℃/min에서 결정화 피크 온도가 215 ℃ 냉각온도까지 낮아지는 것으로 보고되었다.30 3D 프린팅과 분석 조건의 차이 때문에 DSC 결과를 프린팅 조건에서 직접 적용하기 어려우나, 결정화 온도 이하의 온도조건에서는 층간 결합이 잘 이루어지지 않으며, 분리된 층간 접합면이 투명하고 매끈하게 관측되었는데 이는 계면부 결정화가 주 원인으로 추정된다.
점탄성거동. Figure 5에 나타난 바와 같이, 나일론66 복합재는 각가속도 전 구간에서 저장 탄성율이 손실 탄성율에 비해 크게 나타나고 복합점도는 주파수의 증가에 따라 일정하게 감소하였다. 이러한 점탄성 고체 성질과 전단박화 거동은 CF20-ABS와 유사하지만, Figure 5(c)에 나타난 바와 같이 복합점도는 더 크고 손실계수(tan(d))는 낮다. 실제 나일론66 복합재의 프린팅 실험에서 압출온도 290 ℃에서 압출-적층된 비드가 자중에 의해 변형되는 모습이 보이지 않았고 ABS 복합재보다 탄성이 높게 보였다. 이러한 성질은 비드 간의 밀착의 밀착을 어렵게 하므로 고분자 사슬의 계면 확산을 저해하는 요인이 될 수 있다.
적층단면분석. Figure 6(a)는 압출온도와 레이어타임에 따른 3D 프린팅 단일벽의 단면을 측정한 결과이다. 아래층과 위층 비드 간의 접촉 폭을 측정하였다. 압출온도가 높을수록, 레이어 타임이 짧을수록 최소 1.98 mm, 최대 2.51 mm까지 접촉 폭이 변화한다. 압출온도와 냉각시간에 따른 점성변화의 영향으로 일정한 높이에서 비드 폭과 접촉폭이 변화하므로 측정치를 강도와 탄성계수 계산에 반영하였다. Figure 6(b)는 레이어타임 12 s의 90° 방향 인장 시편 계면의 사진이며, 표면 상태를 분석하였다. 접합이 잘 이루어지지 않은 최저 압출온도에서는 계면의 결정화로 인해 표면의 파상도(waviness)가 뚜렷하고 투명함을 보였다 반면, 압출온도가 올라갈수록 계면이 평탄하고 미세 파단돌기에 의한 거칠기를 보여 밀착 접합되었다. 또한 290 ℃에서 다수의 기공이 관찰되었다.
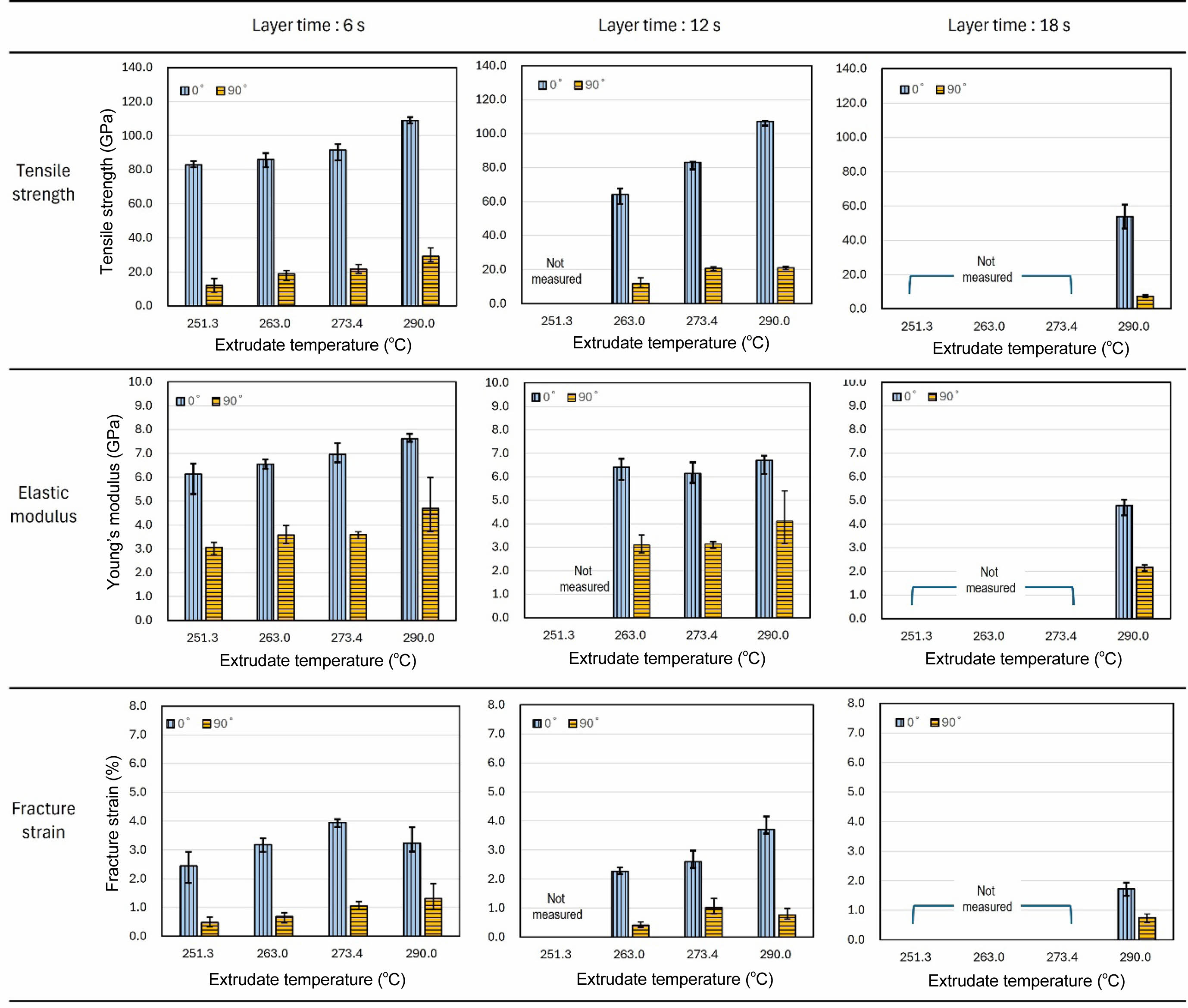
인장시험 결과. Figure 7에는 인장시편의 프린트 방향(0°)과 수직(90°) 방향의 인장시험 결과로서, Table 1에서 제시한 레이어타임과 압출온도에 따른 인장강도, 탄성계수, 파단연신율을 나타내었다. 측정 데이터가 없는(not measured) 구간은 3D 프린팅 이후 시편을 커팅하는 과정에서 층이 분리되어 파괴되어 인장 물성을 측정할 수 없었기 때문이다. 레이어타임 증가에 따라 일정 온도 이하로 냉각되면 접합강도가 현격하게 저하되며, 레이어타임 12초에서는 최저 압출온도에서 층 분리가 발생하였고, 18초에서는 최고 압출온도에서만 측정이 가능하였다. 강도와 탄성계수 전반에 압출온도와의 비례관계를 보여주고 있으며, 레이어타임이 짧고 압출온도가 높을수록 인장 물성이 개선됨을 알 수 있다. 이는 높은 압출온도에 의해 활발해진 열 이동성으로 접합 계면을 가로질러 고분자 사슬 확산이 촉진되었기 때문이다. 또한 압출 비드는 아래층 비드를 재가열하게 되므로 높은 압출온도와 짧은 레이어타임은 계면온도를 높이고, 분자 운동이 정지되는 유리전이온도에 도달하기까지의 시간이 연장된다. 비드간 접합 외에 기계적 물성 증가의 이유로 결정화 거동을 들 수 있다. 나일론66 복합재는 사출성형이나 FFF방식의 3D 프린팅에서 높은 공정 온도 및 느린 냉각속도에서 결정화도와 결정 크기가 증가하는 것으로 보고되었으며, 결정구조의 증가에 의해 기계적 물성이 강화된다.18,31 시편의 방향성이 매우 뚜렷하게 나타나는데 0° 대비 90° 방향 시험에서 탄성계수는 50~62%, 인장강도와 연신율은 10-20% 수준이다. 이러한 이방성, 즉 90° 방향 인장강도가 특히 낮은 이유는 비드간 접합의 취약성 때문이다. 가장 짧은 레이어타임 6초에서 프린트방향 탄성계수는 6.1-7.6 GPa, 인장강도 82.9-108.8 MPa, 연신율은 2.4-4.0% 범위에 있으며, 사출성형 시편의 경우 탄성계수 11.6 GPa, 인장강도 212.6 MPa이었으므로 프린트 시편과는 뚜렷한 차이가 있다.
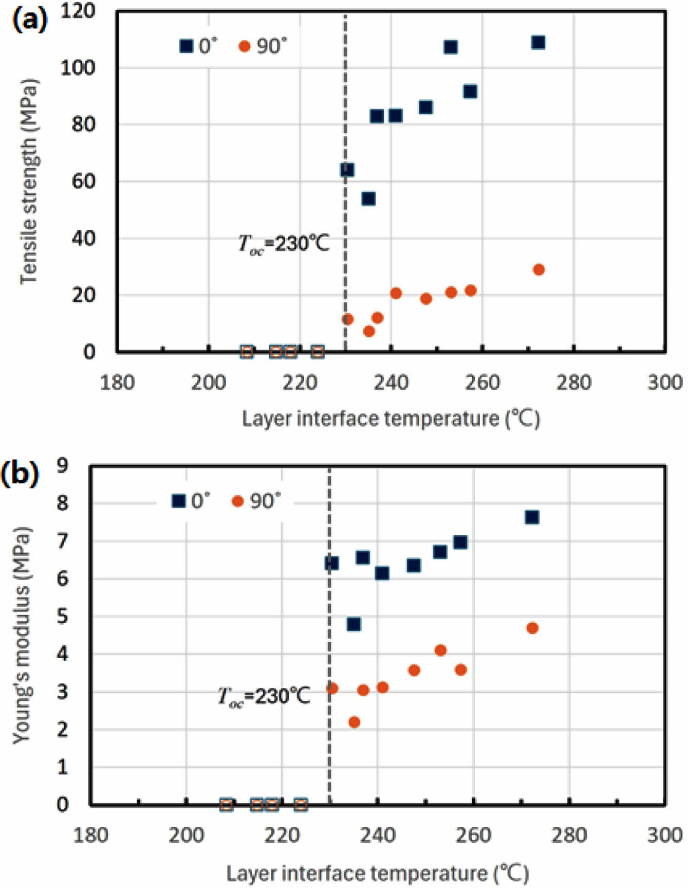
계면온도. Figure 8은 열화상카메라로 단일 벽 박스 구조물을 3D 프린팅할 때, 압출온도와 레이어타임의 변화에 대한 노즐의 연직 아래층 온도를 측정한 결과이다. 레이어타임이 짧을수록, 압출온도가 높을수록 아래층 온도는 선형 비례하여 증가하고 있다. 레이어타임 6초, 압출온도 263 ℃ 이상에서 아래층 온도는 결정화 시작 온도(Toc=230 ℃)보다 높고, 나머지 온도조건에서 모두 유리전이온도 이상에 있다. 계면온도(interface temperature, Tint)는 압출온도와 아래층 온도의 평균으로 다음과 같이 정의된다.16,27-28

Figure 9은 측정한 압출온도와 아래층 온도로 계산한 계면온도에 따른 인장강도와 탄성계수를 나타낸 것이다. 2가지 물성 모두 계면온도에 비례하여 증가하는 경향을 확인할 수 있다. 주목할 점은 뚜렷한 층간 접합강도의 저하가 나타나는 지점이 계면온도는 230 ℃이며 이 온도는 재료의 결정화 시작 온도이다. 90° 방향의 인장강도를 보면 계면온도와의 비례관계를 알 수 있는데 접합강도가 230 ℃ 이하에서 자연스럽게 0으로 가까워지고 있다. 즉, 계면온도가 떨어져 결정화 개시온도에 이를 때 재료 결정화에 따른 층간 접합강도가 매우 약해지는 것으로 파악된다.
휨 측정 결과. 압출된 소재는 베드면 위 혹은 아래층 위에 증착되며 점착 냉각, 고화된다. 베드위에 출력층은 가장 먼저 베드온도에 의해 냉각되고 상층으로 갈수록 냉각속도가 달라지고 열 구배가 발생하게 된다. 각 층과 국부적인 온도 편차에 의해 프린트 부재의 수축은 휨이나 뒤틀림을 유발하게 된다. 반결정성 재료는 열 수축에 추가로 결정화 수축이 발생한다.
베드면과의 결합이 충분히 이루어지지 않으면 높은 수축으로 인해 출력물의 과도한 변형으로 적층이 불가능해지기 쉽다.17,31 Figure 10에 나일론66 복합재의 3D 프린팅시에 4 단계의 압출온도와 2단계의 베드온도로 3D 프린팅한 시편의 휨 값을 나타내었다. 압출온도의 영향은 베드표면과의 결합, 온도구배 형성 그리고 결정화에 영향을 줄 수 있다. 실험결과, 압출온도가 상승함에 따라 휨은 선형적으로 줄어들고 있는데 이는 압출온도 증가로 베드면 및 적층 층간 접합력이 증가함에 따라 수축/변형이 억제된 것으로 생각된다. 베드온도는 100 ℃의 휨에 비해 50 ℃에서 평균 18%가 감소하였다. 베드온도에 대한 기존 연구에서와 같이, 낮은 베드온도에 의한 빠른 냉각속도는 결정화도를 감소시키고 더 넓은 비정질 영역을 유지하여 결정화 수축을 줄이는 것으로 생각된다.32-33
|
Figure 3 TGA measurement result. |
|
Figure 4 DSC measurement result of CF-PA66 at heat/cool rate of 20 ℃/min. |
|
Figure 5 (a) Rheometer measurement result of CF20-PA66; (b) CF20-ABS; (c) complex viscosity and loss tangent (Tan(δ)). |
|
Figure 6 (a) Image of section cut from 3D printed single box according layer and extrudate temperature; (b) and failed bond surface of 90° specimens with layertime 12s. |
|
Figure 7 Tensile test results: (a) elastic modulus; (b) tensile strength; (c) fracture strain. |
|
Figure 8 sublayer temperature result according to extrusion temperature and layer time. |
|
Figure 9 Tensile strength: (a) elastic modulus; (b) according to layer interface temperature. |
|
Figure 10 Warpage results according to extrude temperature and bed temperature. |
본 연구에서는 탄소섬유 강화 나일론66 복합재의 3D 프린팅 특성에 대해 분석하였다. DSC 분석으로 파악한 용융온도와 결정화 온도를 고려하여 압출온도와 레이어타임을 공정변수로 설정하여 시험 파트를 출력하였다. 점탄성 분석에서는 탄소함량이 동일한 ABS 복합재에 비해 높은 탄성계수와 손실계수를 보였다. 나일론66 복합재의 점탄성거동은 3D 프린팅 과정에서 적합함을 나타내었다. 3D 프린팅 파트에서 시편을 잘라내어 인장시험 결과, 탄성계수와 인장강도가 압출온도가 높을수록, 레이어타임이 짧을수록 증가하였다. 이는 고분자 사슬의 이동성이 온도에 비례하여 증가하므로 높은 온도조건에서 활발한 확산 접합이 주요한 원인이다. 반대로 압출온도가 낮고 레이어타임이 길어질수록 접합강도가 저하된다. 특히 결정화 온도를 기준으로 기계적 물성은 현저히 감소하므로, 표면의 결정화와 그로 인한 분자사슬 이동의 제한의 영향이 클 것으로 추정된다. 압출온도와 아래층 온도의 평균으로서 계면온도는 공정 조건의 결정할 때 효율적 변수가 될 수 있다.
나일론66 복합재의 결정화에 따른 수축에도 불구하고 탄소섬유의 효과로 인해 휨 변형이 억제되어 충분히 3차원 형상 파트를 프린팅할 수 있었다. 압출온도가 높을수록, 베드온도가 낮을수록 휨 변형이 감소하였다. 압출온도가 낮을수록 베드면 및 층간 접합강도가 낮아지고 발생 잔류응력에 대한 저항성이 낮아지므로 변형이 증가한다. 반면 베드온도가 낮은 경우에 결정화율이 낮고 수축이 감소하기 때문에 휨 변형이 줄어든 것으로 판단된다.
탄소섬유 강화 나일론66에 대한 연구 결과를 통하여 3D 프린팅 공정의 중요한 매개변수인 압출온도, 레이어타임 또는 이전층의 온도, 그리고 베드온도에 대해 효과적으로 설정할 수 있다. 3D 프린팅에 난해하다고 여겨져 온 반결정성 고강도 폴리머에 대해, 기계적 물성과 치수 안정성을 효율적으로 확보할 수 있는 프로세스 윈도우가 될 뿐만 아니라, 후절삭가공이나 금형으로의 적용으로서 성형공정에서도 비드간 강한 접합을 통해 소재의 특성을 최대로 구현하는 데 도움이 될 것으로 기대한다. 이후 주변온도 혹은 챔버온도의 영향, 온도와 적층경로 등에 따른 비드의 점도와 밀착 효과 등에 대해서는 추가 연구가 필요하다.
This Article2025; 49(1): 104-112
Published online Jan 25, 2025
Services
Correspondence toDepartment of Mechanical Design Engineering, Graduate School, 237 Sangidaehak-ro, Siheung-si, Tech University of Korea, Siheung 15073, Korea