
In Gyu Choi*, **, Tae Min Lee*, **, Se Jun Yang*, **, Seung-Ju Oh*, **, Jin Woo Bae*, **,†
, and Byeong Uk Nam*,† 
*Department of Chemical and Biological Engineering, Korea University of Technology and Education, 1600, Chunjeol-ro, Byeongcheon-myeon, Dongnam-gu, Cheonan-si, Chungcheongnam-do, 31253, Korea
**Future Convergence Engineering, Korea University of Technology and Education 1600, Chunjeol-ro, Byeongcheon-myeon, Dongnam-gu, Cheonan-si, Chungcheongnam-do, 31253, Korea
최인규*, ** · 이태민*, ** · 양세준*, ** · 오승주*, ** · 배진우*, **,†
· 남병욱*,† 
*한국기술교육대학교 화학생명공학전공, **한국기술교육대학교 미래융합공학전공
Reproduction, stored in a retrieval system, or transmitted in any form of any part of this publication is permitted only by written permission from the Polymer Society of Korea.
Phenolic resin, a thermosetting resin, possesses excellent mechanical properties. However, due to its thermosetting nature, it is difficult to recycle after use, resulting in 15-20% of the total production being discarded. In this study, thermosetting waste phenolic resin with excellent mechanical properties was physically pulverized and recycled as a filler material for polyamide 6 (PA6) composites. First, to improve the surface adhesion between the pulverized waste phenolic resin and PA6, the surface was treated with (3-glycidyloxypropyl) trimethoxysilane, an epoxy-functional silane coupling agent. The composite was prepared by PA6 into the surface-treated recycled phenolic resin using a twin-screw extruder. Unlike composites made with untreated recycled phenolic resin, the PA6/phenolic resin composite using silane-treated recycled phenolic resin exhibited enhanced tensile strength and flexural modulus as the content increased. Additionally, the decrease in impact strength was relatively moderate. To investigate the cause of these improved mechanical properties, composites were analyzed using the infrared spectra and non-isothermal crystallization behavior under various cooling rates. The crystallinity and crystallization rate were evaluated using the modified Avrami model. The results confirmed that the silane-treated recycled phenolic resin improved the mechanical properties by promoting anisotropic crystallization growth, achieving high crystallinity, and enhancing crystallization rates due to its chemical interactions with PA6.
페놀 레진은 열경화성 수지로서 우수한 기계적 물성을 가지고 있다. 하지만 열경화 특성으로 인해 사용 후 재활용이 어렵고, 전체 생산량의 15-20%가 폐기되고 있다. 본 연구에서는 기계적 특성이 우수한 열경화성 폐페놀 레진을 물리적으로 분쇄하고 이를 폴리아미드 6(PA6) 복합체의 필러로 재활용하고자 하였다. 먼저, 분쇄시킨 폐페놀 레진을 PA6와 표면 접착력을 향상시키기 위해 에폭시 기능기가 있는 실란 커플링제인 (3-glycidyloxypropyl) trimethoxysilane으로 표면 처리하였다. 이렇게 표면 처리한 폐페놀 레진에 PA6를 도입하여 twin screw extruder에서 복합체를 제조하였다. 실란 처리한 폐페놀이 도입된 PA6/폐페놀 복합체는 실란 처리하지 않은 폐페놀이 도입된 PA6/폐페놀 복합체와 다르게, 함량이 높아질수록 인장강도와 굴곡탄성률이 높아지면서, 충격강도의 감소는 상대적으로 덜 낮아졌다. 이렇게 실란 처리한 폐페놀이 도입된 PA6/폐페놀 복합체의 향상된 기계적 물성의 원인을 확인하기 위해서 적외선 분광분석법과 다양한 냉각 속도 조건 하에서 비등온 결정화 거동을 분석하고 수정된 Avrami 모델을 적용하여 결정화도와 결정화 속도 등을 확인하였다. 이를 통해서 실란 처리한 폐페놀 레진이 PA6와의 화학적 상호작용으로 비등방성 결정화 성장과정과 높은 결정화도와 빠른 결정화 속도를 구현하여 기계적 물성에 영향을 미쳤다.
We fabricated polyamide (PA) composites. E-recycled phenolic composite (RPhC) fillers were surface treated with glycidoxypropyl trimethoxysilane (GPTMS). Our composites exhibited high glass transition temperature and tensile strength.

Keywords: recycle, phenol composite, (3-glycidyloxypropyl) trimethoxysilane, polyamide 6, modified Avrami model, crystallinity.
본 과제(결과물)는 2024년도 교육부의 재원으로 한국연구재단의 지원을 받아 수행된 지자체-대학 협력기반 지역혁신 사업(2021RIS-004), 한국기술교육대학교의 2024년도 교육연구진흥비의 지원에 의한 결과입니다.
저자들은 이해상충이 없음을 선언합니다.
페놀 수지, 에폭시 수지, 폴리에스터 및 멜라민 포름알데히드와 같은 열경화성 고분자는 뛰어난 기계적 특성, 화학적, 내열성 및 치수 안정성으로 인해 전자 장비, 자동차 부품, 토목 구조물 및 항공 우주 분야에서 널리 사용된다.1,2 이들 제품의 유지 및 보수로 인해 많은 양의 열경화성 폐기물을 발생시키며 전 세계적으로 연간 약 6500만 톤이 폐기되고 있으며, 축적된 양의 열경화성 폐기물은 일반적으로 매립해서 처리한다.3,4 이러한 처리 방법은 폐기물의 난분해성 특성으로 인하여 환경 문제, 지하수로의 독성 화학물질 방출로 이어져 심각한 문제를 일으킬 수 있다.5,6 따라서 매립에 의한 의존도를 낮추기 위하여 열경화성 폐기물이 지속 가능한 방식으로 재활용되는 것이 시급하다.7,8 일반적으로 고분자 재활용의 방법은 기계적 및 화학적 재활용이 있다.9 폐 고분자의 기계적 재활용은 용융, 파쇄 또는 펠릿으로 만들어 새로운 모양으로 성형하거나, 복합재료 등으로 제조하는 방법이다.9,10 화학적 재활용은 매우 높은 공정온도에서 촉매를 사용하여 열분해(pyrolysis)를 통해 저분자량의 유기 물질(액체 또는 가스)를 얻는 방법이다.11,12 최근 연구에 따르면 기계적 분쇄공정에서 생성된 열경화성 플라스틱을 필러로 사용하는 물리적 재활용 방법이 가장 간단한 방법 중의 하나가 될 수 있다고 보고되었다.1
폴리아미드 6(polyamide 6, PA6)는 우수한 열 안정성, 높은 인장강도로 다양한 산업분야에 사용되고 있다. 일반적으로 PA6는 단독으로 사용되기 보다는 필러와 같은 첨가제를 사용하여 복합체로 제작하고 기계적 및 열적 특성을 비롯한 물성을 향상시켜 사용한다.13,14 하지만, 고분자 복합체의 물성을 향상시키기 위해 다량의 필러를 사용하는 경우, 고분자와 필러 계면에서 입자의 불균일한 분산과 응집으로 사출 공정에서 흐름성이 저하된다고 보고되었다.15 따라서 복합체 제조 시 고분자/필러 계면에서의 상호작용을 위한 화학적 표면 처리는 복합체의 상용성과 흐름성을 높일 수 있고, 고분자 매트릭스에서 보다 많은 연속적인 네트워크를 형성할 수 있어 분산성을 효율적으로 개선할 수 있다.16 일반적으로 실란 커플링제는 분자 내에 친수성 작용기와 소수성 작용기를 동시에 가지고 있는 물질로 상용성이 약한 친수성 무기물과 소수성 유기물의 중간체 역할을 하여 계면 접착을 향상시킬 수 있다.17 또한, 2 개 이상의 작용기를 가지고 있으며, 그 중 하나는 친수성 필러와 반응하고, 다른 한쪽은 고분자와 반응하여 필러와 유기질 고분자 물질을 화학적으로 결합시켜 기계적 및 열적 특성을 향상시킬 수 있다.18
고분자 용융 가공에서 가해지는 열 이력과 힘에 의해 결정성 고분자의 배양 혹은 결정과 같은 거시구조를 가진 성형체가 형성된다.19 고분자의 결정화는 등온 결정화와 비등온 결정화로 진행될 수 있다. 등온 결정화는 고분자의 결정화 거동을 확인할 수 있는 가장 이상적인 방법으로 알려져 있으며, 이는 Avrami model을 통해 시간에 따른 결정화 확률을 계산하여 확인할 수 있다. 그러나 실제 고분자 용융 가공에서는 다이에서 형성된 필름이나 제품이 냉각 과정을 거치면서 비등온 결정화가 일어난다.20 비등온 결정화에서는 냉각 속도를 조절하여 결정화 과정을 제어할 수 있기 때문에, 사용되는 제품의 결정화도를 조절하려면 비등온 조건에서의 결정화 거동을 이해하는 것이 매우 중요하다. 비등온 결정화 모델로는 Jeziorny의 modified Avrami model, Ozawa model, Mo의 Avrami-Ozawa model 등이 일반적으로 사용된다.21-23
본 연구에서는 사출 공정에서 발생되어 폐기되는 폐페놀 레진을 수거하여 분쇄하고, 필러 소재로 재활용하고자 PA6와 용융 블렌드하여 복합체를 제조하였다. 계면 접착력을 향상시키기 위해 분쇄 폐페놀 레진(recycled phenol resin composite, RPhC)에 에폭시 기능기가 있는 (3-glycidyloxypropyl) trimethoxysilan (GPTMS)으로 표면 처리하였으며, 개질된 폐페놀 레진(E-RPhC)을 5, 10, 20 phr 함량으로 PA6와 용융 혼련하여 복합체를 제조하였다. 사출된 복합체 시편을 이용하여 열적 및 기계적 물성 변화를 조사하였고, modified Avrami model과 Avrami-Ozawa model의 비등온 결정화 모델을 적용하여 이들의 결정화 거동을 해석하였다.
재료. 본 연구에서 사용된 PA6는 Hyosung TNC사(Korea)의 1026BRT(MI=30 g/10 min, 235 ℃, 2.16 kg) 그레이드의 분말을 사용하였으며, 폐페놀 레진은 신흥화학(Korea)에서 폐기되는 노볼락 수지의 스프루/런너를 분쇄한 폐페놀 레진(recycled phenol resin composite, RPhC, <150 μm) 분말을 사용하였다. RPhC 분말의 표면 처리를 위해 사용된 실란 커플링제는 Sigma Aldrich사(USA)의 (3-glycidoxypropyl) trimethoxysilane(GPTMS)을 사용하였다.
샘플의 조성 및 제조. 연구에 필요한 실란 처리를 위하여 증류수/에탄올 1:4 비율로 혼합한 용액에 아세트산을 첨가하여 pH 4로 조정하고, GPTMS 3 g을 천천히 떨어뜨려 첨가하였다. 40 ℃에서 30분 동안 교반하여 알콕시 실란을 실란올로 가수분해하였다. 그 후, RPhC 분말 100 g을 천천히 첨가하였고 40 ℃에서 60분 동안 기계적 교반을 통해 균질화하고 RPhC 분말 표면에 실란올이 반응하여 화학적 결합하게 하였다. 교반 후 감압 여과 후, 여과된 분말을 120 ℃ vacuum oven에서 2시간 이상 건조하여 축합 중합을 진행하고 반응을 마무리하였다.
용융 압출법을 이용하여 개질되지 않은 RPhC 분말과 개질된 RPhC 분말(E-RPhC)을 각각 5, 10, 20 phr과 같은 조성으로 PA6 복합체를 제조하였다. 제조에 사용된 장비는 co-rotating type의 이축 압출기(Bautek, BA19, LD=40, 19Ø, Korea)를 사용하였다. 공정 스크류 속도는 100 rpm으로 설정하였으며, feeder부터 die까지의 온도는 230-240 ℃로 설정하였다. 개질되지 않은 RPhC함량에 따라 제작된 복합체를 RPhCx, 개질된 RPhC 함량에 따라 제작된 복합체를 E-RPhCx로 나타내었다. RPhC는 recycled phenol composite의 약자이며, E는 에폭시계 실란을 의미한다. 뒤에 나타낸 x 숫자는 도입된 폐페놀 레진 분말의 phr 함량을 의미한다. 제조된 복합체를 펠릿으로 제작하고, 60 ℃에서 24시간 건조하였다. 건조된 펠릿은 수직형 사출기(Heunghwa Machinery, HVM-25VS, Korea)를 이용하여 230 ℃의 사출 온도와 80 ℃의 금형 온도에서 ASTM D638 규격(165×12.5×3.2 mm)의 dog-bone 형태 시편을 제조하였다. 이렇게 얻어진 시편의 인장 물성은 변형속도 50 mm/min으로 시험 평가하였고, 굴곡 탄성율은 ASTM D790 규격(63.5× 12.7×3.2 mm)에 따라 시편을 제조하여 변형속도 5 mm/min으로 시험평가 하였다. Notched Izod 충격강도는 ASTM D256 규격(65×12.5×3.2 mm)에 따라 막대 시편을 제조하여 반경 0.25 mm로 노치를 만들어 측정하였다.
구조적 특성 분석. 폐페놀 레진 분말 표면의 실란 표면 처리 유무를 확인하기 위한 구조 분석은 푸리에 변환 적외선 분광기(Fourier-transform infrared spectrometer, FTIR, Perkinelmer, spectrometer 100, USA)를 이용하여 400-4000 cm-1 영역에서 16회 조사하여 스펙트럼을 얻었다.
기계적 물성 분석. 제조된 시편의 기계적 물성 중 인장강도와 굴곡탄성률은 만능재료시험기(UTM, Tinius Olsen, H5KT, USA)를 이용하여 측정하였고, Izod 충격강도는 충격강도기(impact tester, QMESYS, QM7 00A, Korea)를 이용하여 측정하였다. 시험 결과에 대한 신뢰성을 확보하기 위해 각각의 시험 항목에 대하여 총 7회 측정하였으며, 최대값 및 최소값을 제외하고 5개의 평균값을 나타내었다.
모폴로지 특성 분석. RPhC 분말을 도입한 PA6 복합체의 형태학적 특성은 주사 전자 현미경(scanning electron microscopy, SEM, ThermoFisher, Phenom ProX, USA)를 사용하여 분석하였다. 충격강도 시험 후 파단된 시편에서 얻어진 단면을 스퍼터 코팅기(sputter coater, SEMIAN, SMC-12R, Korea)를 이용하여 백금 코팅 후 1000배의 배율로 촬영하였다.
열적 분석. PA6 복합체의 온도 변화에 따른 기계적인 물성 변화는 동역학적 분석기(dynamic mechanical analyzer, DMA, PerkinElmer, DMA8000, USA)로 길이 10.5×7.5×3.5 mm 시편을 제조하여 진폭 20 mm의 sine 파형의 하중을 가하여 주파수 1 Hz, 승온 속도 2 ℃/min로 0-100 ℃까지 측정하였다. 열적 특성을 확인하기 위해 시차 주사 열량계(differential scanning calorimetry, DSC, PerkinElmer, DSC4000, USA)를 사용하였다. 10±0.2 mg의 시료를 넣고 질소 가스 분위기에서 각 시료를 10 ℃/min 속도로 상온에서 250 ℃로 1차 승온 한 후 0 ℃까지 냉각하였고 다시 250 ℃까지 가열하였다. 비등온 결정화 분석을 위해서 냉각 속도를 2.5, 5.0, 10, 20, 40 ℃/min으로 측정하였다. PA6 복합체의 결정화도(Xc)는 식 (1)로 정의하였다.24

여기서, φ는 폐페놀 레진 분말의 무게 분율을 의미하고, ΔHm는 측정된 용융 엔탈피, ΔH0m는 PA6가 100% 결정화되었을 때의 용융 엔탈피를 나타낸다. 순수 PA6에 대한 ΔH0m는 문헌에서 알려진 값인 255 J/g을 사용하였다.25
결정화 동역학 분석. 핵의 생성 과정과 비등온 결정화 거동은 Avrami 방정식을 확장하여 많이 적용한다. 변형된 modified Avrami model은 비등온 조건에서 결정화를 해석할 수 있도록 Avrami 방정식을 수정하였다.26,27

Mo는 Ozawa와 Avrami model을 모두 결합한 접근 방식을 사용하였다. 결정화도는 냉각 속도 및 결정화 시간과 직접적으로 관련되기 때문에, φ와 t의 관계는 결정화도에 정의할 수 있으며, 새로운 운동 방정식이 얻어진다.27,28

여기서 F(T)와 α는 lnφ와 lnt plot의 절편과 기울기로 각각 구할 수 있으며 α는 Avrami식과 Ozawa 지수의 비(n/m)를, F(T)는 결정화 시점에 선택된 냉각 속도의 값으로, 결정화 어려움의 정도를 나타낸다.29
실란 표면 처리 및 구조적 특성 분석. Scheme 1은 실란 커플링제 첨가에 따른 RPhC 분말의 표면 개질 과정을 나타내었다. GPTMS는 에폭시 기와 3개의 메톡시 기를 갖는 규소 화합물로 GPTMS의 silane과 RPhC 분말의 하이드록시기(-OH)와 축합반응을 통해 공유결합을 형성한다. 실란 커플링제의 Si-O-R 작용기는 물과 반응하여 Si-OH 작용기를 생성하고 siloxane 올리고머를 형성한다. 그 후, RPhC 분말의 -OH 작용기와 반응하여 표면에 공유 결합을 형성하고 RPhC 분말 표면에 실란 커플링제가 결합한다. 이렇게 E-RPhC 분말이 표면 개질 되었는지를 확인하기 위하여 개질되지 않은 RPhC 분말과 표면 개질된 E-RPhC 분말의 FTIR을 측정한 결과를 Figure 1에 나타내었다. 먼저 RPhC 분말은 3249 cm-1부근에서 -OH 작용기의 신축 진동 피크가 넓고 강하게 확인되었다. 반면에, 표면 개질된 E-RPhC 분말은 -OH 작용기의 신축 진동 피크는 3450 cm-1부근의 넓은 범위에서 관찰되면서 세기가 약해졌다. 이는 RPhC 분말의 -OH 작용기와 가수분해된 GPTMS의 Si-OH 작용기 사이의 축합 반응을 통한 공유결합이 형성되어 -OH 작용기가 감소하여 세기가 감소하면서 피크가 이동된 것으로 판단된다.30 또한, 표면 개질된 E-RPhC 분말은 3200-3600 cm-1에서 두 개 이상의 -OH 작용기 피크가 관찰되었다. 이는 3625 cm-1에서의 Si-OH작용기 피크, 3524 cm-1에서의 silanol간 수소결합 피크, 그리고 3450 cm-1에서의 silanol과 RPhC 표면 간 수소결합 피크로 분리되어 나타난 결과로 해석된다.31 더욱이 E-RPhC 분말의 910 cm-1에서 Si-O-Si에 해당하는 신축진동 피크가 관찰되는 것으로 보아 가수분해 및 축합반응 후에 GPTMS간의 가교가 형성된 것을 알 수 있었다. 마지막으로 1154 cm-1 에서 Si-O-C에 해당하는 신축진동 피크가 관찰되었는데, 이를 통해 RPhC의 -OH 작용기와 GPTMS의 silanol 사이에서 Si-OH의 공유결합이 형성되어 Scheme 1에 보인 반응 메커니즘처럼 표면 개질이 성공적으로 진행된 것을 알 수 있었다.30,32 
Scheme 1. Reaction mechanism between RPhC and GPTMS for E-RPhC.
기계적 물성 분석 결과. Figure 2는 개질되지 않은 RPhC와 개질된 E-RPhC를 사용하여 각각 제조한 PA6 복합체의 인장강도를 측정하여 나타내었다. RPhC 복합체는 RPhC5, RPhC10, RPhC20에서 각각 47.1, 44.8, 41.4 MPa로 RPhC 분말의 함량이 증가함에 따라 인장강도는 점차적으로 감소하는 경향을 보였다. 반면에, E-RPhC 복합체는 E-RPhC5, E-RPhC10, E-RPhC20에서 각각 51.7, 54.9, 55.3 MPa로 E-RPhC 분말의 함량이 증가함에 따라 인장강도 또한 증가하는 경향을 보였다. 또한, Figure 3에 개질되지 않은 RPhC와 개질된 E-RPhC 분말을 사용하여 각각 제조한 복합체의 굴곡탄성률을 측정하여 나타내었다. RPhC 복합체는 RPhC5, RPhC10, RPhC20에서 각각 11600, 13500, 14700 kg/cm2를 보였고, E-RPhC 복합체는 E-RPhC5, E-RPhC10, E-RPhC20에서 각각 13600, 15200, 16700 kg/cm2를 보였다. Figure 4는 개질되지 않은 RPhC 분말과 개질된 E-RPhC 분말을 사용하여 각각 제조한 PA6 복합체의 Izod 충격강도를 측정하여 나타내었다. RPhC 복합체는 RPhC5, RPhC10, RPhC20에서 각각 18, 15, 12 J/m를 보였고, E-RPhC 복합체는 E-RPhC5, E-RPhC10, E-RPhC20에서 각각 26, 23, 19 J/m를 보였다. RPhC 복합체와 E-RPhC 복합체 모두에서 Izod 충격강도가 현저하게 감소함을 확인하였다. 그러나 RPhC 분말로 제조된 PA6 복합체와 비교하면 E-RPhC 분말로 제조된 PA6 복합체의 Izod 충격강도가 개선됨을 확인하였다.
이처럼 E-RPhC 복합체는 E-RPhC 함량이 증가할수록 인장강도와 굴곡탄성률은 더 크게 증가하였고, 충격강도의 저하는 많이 개선됨을 확인할 수 있었다. 이러한 경향은 표면 개질된 E-RPhC와 PA6 사이의 계면 결합이 강화되고 분산성이 향상되어 PA6 매트릭스에서 응력 전달을 잘 유도하여 외부 힘으로 인한 균열을 억제했다는 의미로 해석할 수 있었다.33
복합체의 모폴로지 및 구조적 특성 분석 결과. 기계적 특성 결과를 확인하고자, PA6 복합체의 FTIR을 통한 구조 분석과 SEM을 통한 모폴로지를 확인하였다. Figure 5는 개질되지 않은 RPhC 분말과 개질된 E-RPhC 분말을 사용하여 각각 제조한 PA6 복합체의 FTIR 측정 결과를 나타내었다. 개질되지 않은 RPhC 분말로 제조된 RPhC20 복합체는 3130-3640 cm-1의 넓은 범위의 -OH 피크가 관찰되었다. 반면에 개질된 RPhC 분말로 제조된 E-RPhC20 복합체는 -OH 작용기 피크의 크기가 RPhC20 복합체에 비해 증가한 것을 관찰하였다. Figure 1 결과에서 알 수 있듯이, E-RPhC 분말은 표면 개질 처리되면서 -OH 작용기 피크 세기가 감소하였으나, E-RPhC20 복합체에서는 RPhC20 복합체보다 3130-3640 cm-1의 넓은 범위에서 -OH 작용기 피크의 세기가 증가하는 경향을 보였다. 이것은 Scheme 2에서 나타낸 것처럼, 표면 개질된 E-RPhC 분말에 도입된 에폭시 작용기가 PA6와의 화학적 결합으로 -OH 작용기가 새롭게 생성되어 더 강하게 나타나게 된 것으로 판단할 수 있었다.34,35 Figure 6은 개질되지 않은 RPhC 분말과 개질된 E-RPhC 분말을 사용하여 제조된 PA6복합체의 모폴로지를 관찰한 결과로, 충격강도 시험 후 파단된 시편의 단면을 분석하였다. E-RPhC 복합체의 계면 접착력과 분산성의 차이를 평가하고, 이러한 구조적 특성이 기계적 물성에 미치는 영향을 분석하였다. E-RPhC 복합체의 파단면은 RPhC 복합체에 비해 더 거칠고 불규칙적인 표면 구조를 보였으며, 이는 분산성과 계면 접착력의 증가로 인해 충격 시 시편이 파단될 때 더 높은 에너지가 흡수되었음을 나타낸다.36 이러한 결과는 기계적 물성 분석에서 관찰된 기계적 특성과 유사하며, 실란 커플링제를 통한 계면 접착력 및 분산성에 기인한 결과로 해석된다.37
Scheme 2. Reaction mechanism between PA6 and E-RPhC.
열적 특성 및 결정화 동역학 분석. Figure 7은 개질되지 않은 RPhC 분말과 개질된 E-RPhC 분말을 사용하여 각각 제조한 복합체의 tan δ의 변화를 나타내었다. tan δ는 저장 탄성률의 급격한 감소와 같이 큰 저장 에너지를 소멸시키는데 전체 구조의 유리전이에 따른 운동에 기인한다.38 유리전이온도 분석은 PA6에 RPhC 분말과 E-RPhC 분말 첨가에 미치는 영향을 예측할 수 있는 효과적인 방법이다. Figure 7(a)에서 Neat PA6의 Tg는 47.9 ℃로 관찰되었고, RPhC 복합체인 RPhC5, PRhC10, RPhC20의 Tg는 각각 53.4, 60.1, 61.8 ℃의 값을 가졌다. 이를 통해 RPhC 분말의 함량이 증가함에 따라 피크의 위치는 온도가 높은 방향으로 이동하는 것이 관찰되었다. E-RPhC 복합체인 E-RPhC5, E-RPhC10, E-RPhC20의 Tg는 각각 58.8, 63.3, 65.8 ℃의 값을 확인할 수 있었다. E-RPhC 분말의 함량이 증가할수록 피크의 위치 역시 온도가 높은 방향으로 이동함을 Figure 7(b)에서 확인할 수 있었다. Tan δ에 미치는 영향을 보면, 같은 함량으로 도입된 E-RPhC기반 복합체가 RPhC기반 복합체에 비해 Tg가 3-5 ℃ 더 높은 것을 알 수 있었다. 이는 Scheme 1에서 확인할 수 있듯이, silane 구조에 있는 메톡시 그룹이 가수분해되어 silanol을 형성하고 RPhC 분말의 -OH와 결합하여 Coupling agent로 작용하게 된다. 이 후, Scheme 2에 나타낸 것처럼, PA6와 계면결합을 강하게 유도하여 Tg 열적특성에 더 강하게 영향을 주는 것을 알 수 있었다.39
Figure 8은 개질되지 않은 RPhC 복합체와 개질된 E-RPhC 복합체의 열적-기계적 특성을 확인하기 위해 냉각 속도 변화에 따른 DSC 결과를 나타내었다. 냉각 속도가 증가함에 따라 결정화 온도(crystallization Temperature, Tc)는 낮은 온도로 이동하며 발열양이 증가하였다. 이는 주어진 온도를 거치는 시간이 짧아지고, 결정화에 기여할 수 있는 반응시간이 짧아지게 되면서 결정화가 빠르게 진행되는 것을 의미한다. Figure 8에서 확인할 수 있듯이, RPhC 복합체보다 E-RPhC 복합체의 Tc가 더 높은 온도에서 관찰되었다. 결과적으로, E-RPhC 분말이 PA6간의 분산성을 높이고, 고분자와 계면 결합을 높여 기계적 물성의 영향을 미치는 결과를 보이는 것과 유사한 경향을 보였다.
Figure 9는 각 냉각 속도로부터 상대결정화도를 시간에 따라 구하여 나타낸 것으로 시간에 따른 상대결정화도 Xc(T)의 변화를 나타내었다. Figure 9(a)는 Neat PA6의 상대결정화도를 나타낸 것이며, Figure 9(b-d)는 각각 개질되지 않은 RPhC 복합체 RPhC5, RPhC10, RPhC20의 상대결정화도를 나타내었다. RPhC 분말의 함량이 증가할수록 상대결정화도 시간은 조금씩 빠르게 진행되는 것을 확인할 수 있다. Figure 9(e-g)는 개질된 E-RPhC 복합체 E-RPhC5, E-RPhC10, E-RPhC20의 상대결정화도를 나타내었다. 마찬가지로 E-RPhC 분말의 함량이 증가할수록 상대결정화도 시간은 빠르게 진행되는 것을 확인할 수 있었다. 냉각 속도가 증가함에 따라 상대결정화도가 더 빠르게 100%에 도달하였으며, 결정화 속도가 증가하는 경향을 보였다. RPhC 복합체와 비교했을 때, E-RPhC 복합체는 상대결정화도가 전체적으로 더 빠르게 진행됨을 확인할 수 있었다. 식 (1)로부터 계산하여 구한 결정화도는 Table 1에 정리하였으며, 이는 상대결정화도 속도와 동일한 경향을 보였다. 이를 통해 E-RPhC 분말에 의해 핵 생성 효과가 높아져 결정화도가 증가하고, 결정화 속도가 증가함을 확인하였다.
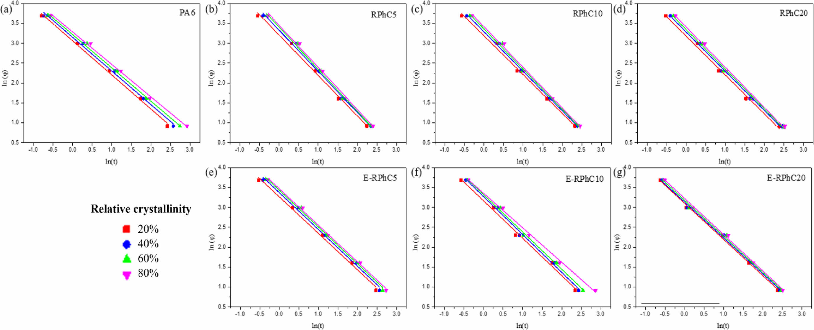
Figure 10은 식 (2)로부터 계산한 결과로 ln[-ln(1-Xt)] vs. In(t) plot을 나타내었다. 이때 핵 생성 과정과 비 선형적인 구간을 제외한 일차 선형 구간만을 사용하여 계산하였다.40 이때, 각 냉각 속도와 시간의 관계가 선형적(correlation coefficient(R2): 0.9951-0.9991)임을 확인하였다. RPhC 복합체와 E-RPhC 복합체의 Avrami parameter를 Table 1에 정리하였다. RPhC 복합체에서 n은 3.49-4.09 값을 가지며, E-RPhC 복합체에서 n은 3.65-4.16 값을 보였다. 이는, RPhC 분말과 E-RPhC 분말 모두 결정성장의 핵을 형성하며 성장이 동시다발적으로 발생되며 다양한 결정형태를 보이는 것으로 해석할 수 있다.41 또한, 표면 개질에 따라 Avrami 지수 n이 증가하였고, 이를 통해 PA6와 실란 커플링제의 화학적 상호작용에 의하여 형태학적으로의 구조적 형성에 차이가 있음을 확인할 수 있었다.
Figure 11은 Avrami와 Ozawa model을 결합한 Mo 모델의 식 (3)을 계산하여 나타낸 결과를 보여준다. 개질되지 않은 RPhC 복합체와 개질된 E-RPhC 복합체의 함량에 따른 냉각 속도와 시간의 곡선이 선형적(correlation coefficient(R2): 0.9949-0.9977)으로 나타났다. Figure 11에서 구한 절편과 기울기로부터 F(T)와 α를 구하여 Table 2에 나타냈다. E-RPhC 복합체는 실란의 화학적 상호작용으로 결정화 성장과정이 RPhC 복합체에 비해 비등방성으로 성장함을 알 수 있다. 이는 실란 처리를 통해 E-RPhC 분말과 PA6 매트릭스 간의 계면 접착력이 강화되면서, 분말이 결정 성장의 핵으로 작용하는 효과가 증대하였고, 분말 함량이 증가할수록 Tc가 더 높은 온도에서 시작하며 결정화 성장 속도가 증가한 결과로 해석된다. 이는 실란 처리로 인해 PA6와 E-RPhC간의 화학적 상호작용이 강화되어, 결정화 과정에서 핵 생성 및 성장 메커니즘이 더욱 촉진되었음을 나타낸다.42 E-RPhC 복합체는 결정화 성장속도의 증가와 높은 결정화도를 통해 비등방성 결정화 성장을 유도하였으며, 결과적으로 우수한 기계적 특성을 나타냈다. 이를 통해서 기계적 특성은 화학적 상호작용으로 높은 결정화도와 비등방성 결정화 성장에 기인한다.
|
Figure 1 FTIR spectra for unmodified and GPTMS modified RPhC. |
|
Figure 2 Effect of RPhC content on the Tensile Strength results of the PA6 composite. |
|
Figure 3 Effect of RPhC content on the flexural modulus results of the PA6 composite. |
|
Figure 4 Effect of RPhC content on the Izod impact strength results of the PA6 composite. |
|
Figure 5 FTIR spectra of the PA6 composite. |
|
Figure 6 Effect of RPhC content on the SEM image of the PA6 composite |
|
Figure 7 Effect of RPhC content on the Tan δ of the PA6 composite: (a) RPhC; (b) E-RPhC. |
|
Figure 8 Effect of RPhC and E-RPhC content on the DSC cooling thermograms of the PA6 composite. |
|
Figure 9 Plot of Xc(T) versus time for non-isothermal crystallization of PA6 composite: (a) PA6; (b) RPhC5; (c) RPhC10; (d)RPhC20; (e) E-RPhC5; (f) E-RPhC10; (g) E-RPhC20. |
|
Figure 10 Plot of ln[-ln(1-Xt)] vs. ln (t): (a) PA6; (b) RPhC5; (c) RPhC10; (d) RPhC20; (e)E-RPhC5; (f) E-RPhC10; (g) E-RPhC20. |
|
Figure 11 Effect of RPhC content on the Avrami-Ozawa plots of PA6 composite: (a) PA6; (b) RPhC5; (c) RPhC10; (d) RPhC20; (e) ERPhC5; (f) E-RPhC10; (g) E-RPhC20. |
|
Table 1 Crystallization, Melting Temperature and Modified-Avrami Parameters of PA6 and PA6 Composite |
|
Table 2 Non-isothermal Crystallization Kinetics Parameters from Combination of Avrami-Ozawa Equations |
본 연구는 기계적 특성이 우수한 열경화성 폐페놀 레진을 필러로 사용하여 PA6와 용융 블렌드하여 PA6복합재를 제작하였다. 먼저, 열경화성 폐페놀 레진을 필러로 재활용하기 위하여 분쇄된 폐페놀 레진을 에폭시 기능기가 있는 실란 커플링제인 (3-glycidyloxypropyl) trimethoxysilane으로 표면 처리하여 E-RPhC를 제조하였다. 이축 압출 성형기로 개질되지 않은 RPhC 분말과 개질된 E-RPhC 분말을 함량별로 도입하여 PA6 복합체를 제조하였다. E-RPhC 복합체는 RPhC 복합체와 달리, 필러 함량이 증가할수록 인장강도와 굴곡탄성률은 많이 증가하면서도, 충격강도의 감소 폭은 매우 낮아졌다. 이것은 실란 커플링제에 의한 폐페놀 레진의 표면 처리로 에폭시 화합물이 도입되고 PA6와의 화학적 공유결합으로 인해 분산성 및 계면 접착력을 향상시켜 기계적 물성을 향상시킨 것을 FTIR과 SEM으로 확인하였다. 또한 이러한 E-RPhC과 PA6와의 화학적 상호작용은 결정화 성장 속도를 증가시켜 높은 결정화도와 비등방성 결정화 성장을 유도하고 결과적으로 기계적 물성에 영향을 미친 것을 확인하였다.
This Article2025; 49(3): 306-316
Published online May 25, 2025
Services
Correspondence to*Department of Chemical and Biological Engineering, Korea University of Technology and Education, 1600, Chunjeol-ro, Byeongcheon-myeon, Dongnam-gu, Cheonan-si, Chungcheongnam-do, 31253, Korea
**Future Convergence Engineering, Korea University of Technology and Education 1600, Chunjeol-ro, Byeongcheon-myeon, Dongnam-gu, Cheonan-si, Chungcheongnam-do, 31253, Korea