
School of Chemical and Biological Engineering, Seoul National University, 1 Gwanak-ro, Seoul 08826, Korea
*Department of Chemical Engineering, Soongsil University, 369 Sangdo-ro, Seoul 06978, Korea
서울대학교 화학생물공학부, *숭실대학교 화학공학과
Reproduction, stored in a retrieval system, or transmitted in any form of any part of this publication is permitted only by written permission from the Polymer Society of Korea.
Polyketone (PK) is a polymer material with various excellent properties, but its rapid crystallization rate presents limitations by reducing processability. In this study, polyamide 6 (PA6), known for its good miscibility with PK, was introduced in the form of a blend to effectively control the crystallization rate of PK. The non-isothermal crystallization kinetics of PK/PA6 blends were analyzed using differential scanning calorimetry (DSC), and the crystal growth rate and morphology were observed using polarized optical microscopy (POM). The results showed that PA6 can act as a dual-function additive that either retards or promotes the crystallization of PK depending on its content in the blend. These findings demonstrate that PA6 is an effective additive capable of precisely controlling the crystallization behavior of PK.
폴리케톤(PK)은 다양한 우수한 물성을 가진 고분자 소재이지만, 빠른 결정화 속도로 인해 가공성이 저하되는 한계를 지닌다. 본 연구에서는 PK의 결정화 속도를 효과적으로 조절하기 위해 상용성이 우수한 폴리아마이드 6(PA6)를 블렌드 형태로 도입하였다. 시차주사열량계법(DSC)으로 PK/PA6 블렌드의 비등온 결정화 동역학을 분석하였으며, 편광현미경(POM)을 이용해 결정 성장 속도 및 결정 구조의 변화를 관찰하였다. 분석 결과, PA6는 첨가량에 따라 PK의 결정화 속도를 지연 또는 촉진시키는 이중적인 역할을 수행할 수 있으며, PK의 결정화 거동을 정밀하게 조절할 수 있는 유효한 첨가제임을 확인하였다.
Polyamide 6 (PA6) was blended with polyketone (PK) to effectively control the crystallization rate. Depending on the amount of PA6 added, it can either retard or accelerate the crystallization of PK. This demonstrates that PA6 is an effective additive for fine-tuning the crystallization behavior of PK.

Keywords: polyketone, polyamide 6, polymer blends, non-isothermal crystallization behavior, miscibility.
이 논문은 교육부의 재원으로 한국연구재단의 기본연구사업의 지원을 받아 수행된 연구입니다(NRF-2020R1A6A1A03044977).
저자들은 이해상충이 없음을 선언합니다.
고분자 소재는 내구성, 강성, 인성, 내화학성 등 다양한 우수한 물성이 요구되는 현대 산업 환경에 대응하여, 지속적인 성능 향상과 함께 신소재 개발이 활발히 이루어지고 있다. 이 중 1970년대 Shell사에서 개발된 폴리케톤(polyketone, PK)은 일산화탄소와 올레핀계 단량체의 공중합을 통해 팔라듐(Pd) 촉매 하에 합성되는 열가소성 고분자로, 탁월한 기계적 강도, 내충격성, 내마모성, 기체 차단성 및 내화학성을 바탕으로 기존 엔지니어링 플라스틱을 대체할 수 있는 고기능성 소재로 주목받고 있다.1,2
그러나 PK는 매우 빠른 결정화 속도를 지니고 있어, 유리섬유나 무기 충전제를 이용한 강인화 공정에서 분산성이 저하되는 문제점이 있으며, 이로 인해 가공성과 물성의 균일성 확보에 어려움이 따른다.3 따라서 PK의 활용 범위를 확대하기 위해서는 결정화 속도를 제어할 수 있는 기술의 확보와 함께 결정화 동역학 메커니즘에 대한 분석이 필요하다.
고분자의 결정화 속도를 지연시키기 위해 다양한 방법들이 제시되어 왔으며, 그 중 하나는 서로 다른 용융 온도를 가진 반결정성(semicrystalline) 고분자 간의 블렌드를 도입하는 방법이다. Penning 등은 poly(vinylidene fluoride)와 poly(butylene adipate) 블렌드를 이용하여, 낮은 용융 온도를 갖는 고분자가 높은 용융 온도를 갖는 고분자의 결정화를 희석 효과(dilution effect)를 통해 지연시킬 수 있음을 보고하였다.4,5 또 다른 방법으로는 상용성(miscibility)이 높은 고분자 간의 블렌드를 도입하는 것이다. Castro 등은 poly(ethylene oxide)와 poly(vinyl chloride) 블렌드를 이용하여, 상용성이 높은 고분자 블렌드에서는 고분자 사슬 사이의 상호작용이 고분자 사슬의 자유로운 운동을 억제함으로써 결정 성장을 저해할 수 있음을 보고하였다.5,6
고분자의 결정화 동역학 메커니즘을 분석하는 데 있어 가장 간단하고 널리 사용되는 방법은 일차 결정화(primary crystallization) 단계에서 선형 결정 성장 속도를 기반으로 해석하는 Avrami 모델을 적용하는 것이다.7 그러나 Avrami 모델은 주로 등온 결정화 거동의 동역학적 해석을 목적으로 개발된 것으로, 실제 가공 환경에서는 온도가 시간에 따라 지속적으로 변화하는 비등온 조건이 일반적이다. 따라서 비등온 조건을 고려한 결정화 거동 해석이 실질적인 공정 적용 측면에서 더욱 중요하다.
이에 본 연구에서는 극성 아마이드기(-CONH-)를 갖는 polyamide 6(PA6)를 첨가하여, 극성 케톤기(-CO-)를 포함하는 PK와의 상용성을 부여하고, 이를 통해 PK의 결정화 속도를 제어하고자 하였다. 다양한 조성의 PK/PA6 블렌드를 제조하고, 시차주사열량계(differential scanning calorimeter, DSC)를 이용하여 비등온 결정화 거동을 분석하였다. 또한 Jeziorny가 수정한 Avrami 모델을 적용하여 비등온 결정화 동역학을 정량적으로 해석하였으며,8 편광현미경(polarized optical microscope, POM)을 통해 결정 성장 과정을 관찰하였다. 아울러, 동적기계분석(dynamic mechanical analysis, DMA)을 통해 각 조성의 유리전이온도(glass transition temperature)를 측정하고, 블렌드의 상용성을 평가하였다. 본 연구는 PA6 첨가에 따른 PK의 결정화 속도 및 결정 구조의 변화를 체계적으로 고찰함으로써, PK 기반 고분자 복합소재의 결정화 제어 및 가공성 향상을 위한 기초 자료를 제공하고자 한다.
시약 및 재료. Polyketone(Hyosung, Korea, M330A grade), polyamide 6(Hyosung, Korea, 1011BRT), hexafluoroisopropanol (HFIP, 대연화학, Korea).
PK/PA6 블렌드 제조. 사용된 PK와 PA6의 구조를 Figure 1에 나타내었다. PK와 PA6를 HFIP 용매에 용해시킨 후, 용액 혼합(solution blending) 방식으로 블렌드를 제조하였다.9,10 블렌드 조성은 PK를 기준으로 PA6를 1, 3, 5, 10, 15 wt% 첨가하여 구성하였으며, 각 시편은 질량 분율에 따라 PK는 K, PA6는 A로 표기하였다. 예를 들어 K90A10은 PK가 90 wt%이고, PA6가 10 wt%로 구성된 블렌드를 의미한다.
비등온 결정화 거동 분석. PK/PA6 블렌드의 비등온 결정화 거동은 시차주사열량계(TA Instruments, USA, US/DSC2920)를 이용하여 분석하였다. 시료는 상온에서 10 ℃/min의 속도로 240 ℃까지 승온한 후, 열이력을 제거하기 위해 240 ℃에서 5분간 등온 처리하였다. 이후 5, 10, 20, 40 ℃/min의 냉각 속도로 25 ℃까지 냉각하여, 냉각 속도에 따른 결정화 거동 변화를 관찰하였다.
결정화 형태 분석. PK/PA6 블렌드의 조성 변화에 따른 결정 형태를 관찰하기 위해 hot stage가 장착된 편광현미경(LEITZ, Germany, Labolux 12 POL S)을 사용하였다. 시편은 실리콘 웨이퍼 위에 3000 rpm으로 1분간 스핀 코팅하여 얇은 필름 형태로 제작하였다. 제조된 필름은 240 ℃에서 5분간 등온 처리하여 열이력을 제거한 후, 5 ℃/min의 속도로 160 ℃까지 냉각하면서 결정 형성 과정을 관찰하였다. 각 조성에 대해 임의로 선택한 5개의 구정(spherulite)에 대해 시간에 따른 지름의 변화를 Image Pro Plus 프로그램을 사용하여 측정하였으며, 그 평균값을 spherulite의 결정 성장 속도(crystal growth rate)로 정의하였다.
PK/PA6 블렌드의 유리전이온도 분석. PK/PA6 블렌드의 조성에 따른 유리전이온도(Tg) 변화를 분석하기 위해, 동적기계분석기(TA Instruments, USA, DMA 2980)를 사용하였다. 시편은 길이 35 mm, 폭 5 mm, 두께 2 mm의 치수로 사출 성형을 통해 제작하였으며, 측정은 알려진 PK와 PA6의 Tg 범위를 고려하여 -50 ℃에서 100 ℃까지의 온도 구간에서 수행하였다. 온도 상승 속도는 2 ℃/min으로 설정하였고, 진동수는 1 Hz로 일정하게 유지하였다.
|
Figure 1 Chemical structures of PK and PA6. Mol fraction of PK: n = 0.94, m = 0.06. |
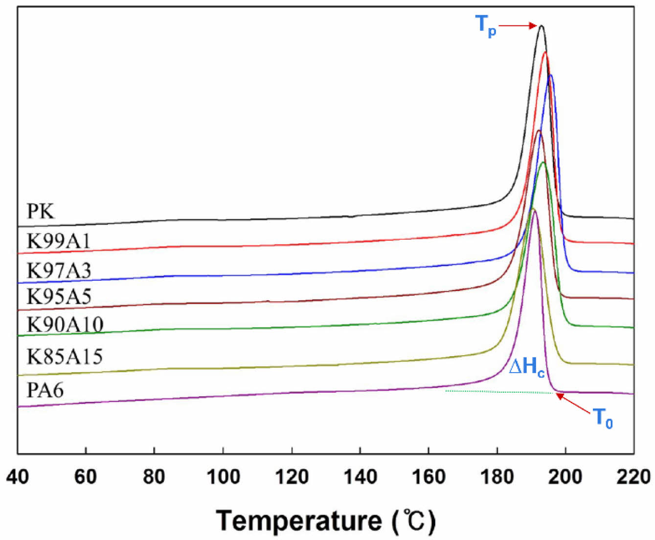
비등온 결정화 거동 분석. PK/PA6 블렌드의 비등온 결정화 거동을 DSC를 통해 분석하였다. 각 시편을 240 ℃까지 승온한 후, 10 ℃/min의 속도로 냉각시킨 DSC 결정화 곡선을 Figure 2에 나타내었다. 해당 곡선으로부터 결정화 개시 온도(initial crystallization temperature, T0), 발열 피크 온도(peak temperature, Tp), 결정화 엔탈피(ΔHc), 결정화도(crystallinity, Xc)를 도출하였으며, 이 결과를 Table 1에 정리하였다. 결정화 엔탈피는 발열 피크 면적의 적분값으로 산출하였고, 결정화도는 다음 식을 이용하여 계산하였다.11

ΔHc: 블렌드의 결정화 엔탈피(J/g)
ΔH0m,PK: 완전 결정성 PK의 융해열(227 J/g)12
ΔH0m,PA: 완전 결정성 PA6의 융해열(230 J/g)13
Φ: PK의 질량 분율(%)
PK/PA6 블렌드의 시간에 따른 상대 결정화도(relative cryst-allinity, Xt) 변화를 Figure 3에 나타내었으며, 상대 결정화도가 0.5에 도달하는 반결정화 시간(half-crystallization time, t1/2)은 Table 1에 나타내었다. 상대 결정화도는 다음 식을 이용하여 계산하였다.

T: 시간 t에서의 온도
T0: 결정화 개시 온도
T∞: 결정화 종료 온도
dH/dT: DSC의 heat flow
Figure 3의 상대 결정화도 곡선에서 표시한 영역의 선형 구간을 선택하여,14 수정 Avrami 식(modified Avrami equation)에 적용한 결과를 Figure 4에 나타내었다. 아래의 식은 Jeziorny가 비등온 결정화 조건을 고려하기 위해 냉각속도를 반영하여 Avrami 식을 수정한 형태이다.7,8 Figure 4의 그래프에서 기울기로부터 Avrami 상수(n), 절편으로부터 수정된 결정화 속도 상수(Zc)를 도출하였으며, 이들의 값을 Table 1에 정리하였다.

Table 1의 결과를 종합하면, PA6의 도입은 PK의 결정화 거동에 유의미한 영향을 미치는 것으로 나타났다. 전반적으로 PA6의 함량이 증가할수록 반결정화 시간(t1/2)은 길어지고, 결정화 속도 상수(Zc)는 감소하는 경향을 보여 PA6 도입이 PK의 결정화 속도를 저하시킨다는 점을 확인할 수 있었다. 이러한 경향은 예상된 바와 일치하며, 상용성이 좋은 PA6가 PK의 결정화 속도 조절에 효과적인 첨가제임을 의미한다.
흥미롭게도, 소량의 PA6가 첨가된 K99A1 및 K97A3 시편에서는 neat PK보다 오히려 더 빠른 결정화 속도를 나타냈다. 이는 PA6가 PK 매트릭스 내에서 기핵제로 작용한 결과로 해석되며, 실제로 모든 블렌드 조성에서 결정화 개시 온도(T0)가 neat PK보다 높은 값을 보인 점이 이를 뒷받침한다. 소량의 PA6가 도입될 경우, 형성된 결정핵이 균일하게 분산되어 상호 간섭 없이 기핵 작용이 극대화되는 반면, 일정 함량 이상의 PA6가 첨가되면 결정핵의 과도한 형성으로 인해 결정 성장 과정에서 간섭이 발생하고, 결과적으로 전체 결정화 속도가 저하되는 것으로 판단된다.5
Avrami 식에서 Avrami 상수(n)는 결정 성장의 차원(nd)과 결정핵 생성의 시간 의존성 지수(nn)를 함께 반영하는 지표로, n = nd + nn으로 정의된다.15,16 결정 성장 차원(nd)은 고분자의 결정 형태에 따라 달라지며, axialite 구조의 경우 2, spherulite 구조의 경우 3의 값을 갖는다. 한편, 결정핵 생성의 시간 의존성 지수(nn)는 0에서 1 사이의 값을 가지며, nn 값이 0일 경우 결정핵이 초기 순간에 일괄적으로 생성되고, nn 값이 1일 경우에는 핵 생성이 결정화 과정 동안 간헐적으로 발생함을 의미한다. 실제 고분자의 결정화 거동에서는 이 두 극단 사이의 중간 형태가 흔히 나타나며, 일부 연구에서는 spherulite의 성장이 시간에 따라 선형적으로 진행되지 않고 확산 지배적으로 이루어지는 경우 nn 값이 0.5에 근접한다고 보고한 바 있다.17 본 연구의 모든 블렌드 조성에서 Avrami 상수(n)는 3.0에서 3.4 사이의 값을 나타내었으며, 이는 결정 성장이 주로 spherulite 구조를 형성하는 3차원 성장을 따르고 있음을 반영한다.15,16
고분자의 물성에 큰 영향을 미치는 결정 형태(morphology)는 냉각 속도의 영향을 받는다. 이에 본 연구에서는 PK/PA6 블렌드의 냉각 속도 변화에 따른 비등온 결정화 거동을 분석하였다. 분석 대상은 neat PK를 기준으로, PA6의 첨가에 따라 결정화가 가속된 K97A3 시편과 지연된 K90A10 시편을 선정하였으며, 각 시편에 대해 5, 10, 20, 40 ℃/min의 냉각 속도로 DSC 분석을 수행하였으며, 그 결과를 Table 2에 정리하였다. 모든 조성에서 냉각 속도가 증가함에 따라 결정화도가 감소하는 경향이 관찰되었다. 이는 급속한 냉각 과정에서 고분자 사슬이 결정 구조를 형성할 충분한 시간적 여유를 확보하지 못함에 따라 결정의 성장이 제한되고, 그 결과 무정형(amorphous) 영역의 비율이 증가하기 때문으로 해석된다.18 또한 동일한 냉각 속도 조건에서 K97A3 시편은 neat PK보다 결정화 속도가 가속된 반면, K90A10 시편은 지연되는 양상을 보였다. 이러한 결과는 PA6의 도입 효과가 냉각 속도와 무관하게 일관된 경향을 유지함을 의미한다.
결정화 형태 분석. PK/PA6 블렌드의 결정 성장 속도에 대한 POM 분석 결과를 Figure 5에 나타내었다. 그림 상단에 neat PK의 결정 성장 과정을 예시로 나타내었으며, 예시와 같이 각 조성에 대해 임의로 선택한 5개의 spherulite를 대상으로 시간에 따른 결정 지름의 변화를 측정하고, 이를 평균하여 결정 성장 속도를 산출하였다. 그 결과, K99A1 및 K97A3 시편은 neat PK에 비해 빠른 결정 성장 속도를 보인 반면, K90A10 시편은 상대적으로 느린 성장 속도를 나타내었다. 이는 앞서 비등온 DSC 분석을 통해 확인된 결정화 경향성과 일치하는 결과로, PA6 첨가에 따른 결정화 특성이 POM 관찰을 통해서도 일관되게 검증되었음을 의미한다.
Figure 6은 결정화가 완료된 후 각 시편에서 관찰된 spherulite의 형태를 POM으로 촬영한 결과를 나타낸 것이다. Neat PK의 경우, spherulite의 지름이 약 30-70 μm 범위로 성장하는 것으로 확인되었다. 반면, PK/PA6 블렌드에서는 spherulite의 지름이 20 μm 이하로 감소하였으며, 전체적인 개수는 현저히 증가하는 경향을 보였다. 이러한 morphology는 일반적으로 외부 기핵제가 존재할 경우 관찰되는 전형적인 결정화 양상으로, 이전의 연구에서도 유사한 결과가 보고된 바 있다.19 따라서 본 연구에서도 PA6가 PK 매트릭스 내에서 기핵제 역할을 수행하여 spherulite의 성장을 억제하고, 결정핵의 수를 증가시킨 것으로 판단된다.
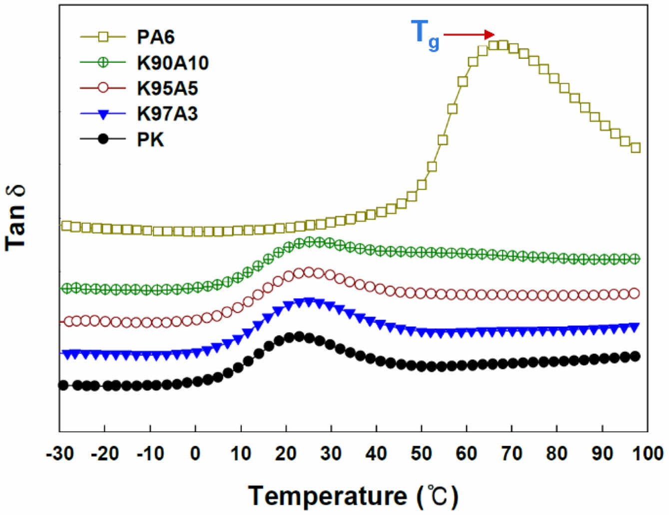
PK/PA6 블렌드의 상용성 분석. Figure 7에 PK/PA6 블렌드의 DMA 측정 결과를 도시하였다. Tan δ는 loss modulus와 storage modulus의 비율로 정의되며, 이 값이 최대에 도달하는 온도는 해당 시편의 유리전이온도(Tg)를 나타낸다. 일반적으로 상용성이 높은 반결정성 고분자 간의 블렌드에서는 단일 Tg가 관찰되며, 반대로 상용성이 낮은 경우 각 성분 고분자의 Tg가 각각 나타나는 것으로 알려져 있다.20
측정 결과, neat PK는 22.2 ℃, PA6는 66.8 ℃의 Tg를 나타내었으며, 블렌드 조성인 K97/A3, K95/A5, K90/A10에서는 각각 23.9, 24.5, 26.1 ℃의 단일 Tg가 관찰되었다. 또한 PA6의 함량이 증가함에 따라 Tg는 점차 PA6의 Tg 방향으로 이동하는 경향을 나타내었다. 이러한 결과는 PK와 PA6 간에 비결정질 영역에서 상용성이 존재함을 시사한다.
이전 연구들에 따르면,5,6 상용성이 높은 고분자 블렌드에서는 고분자 간 상호작용에 의해 사슬의 유동성이 억제되고, 이로 인해 결정화 속도가 저하되는 현상이 자주 보고되어 왔다. 본 연구에서도 이와 유사하게, PK와 PA6 간의 상용성으로 인해 PK 사슬의 운동성이 제한되었고, 이로 인해 결정화 속도가 감소한 것으로 판단된다.
|
Figure 2 DSC cooling curves of PK/PA6 blends at a cooling rate of 10 ℃/min |
|
Figure 3 Plots of relative crystallinity as a function of time for PK/ PA6 blends obtained from DSC cooling data. |
|
Figure 4 Modified Avrami plots for PK/PA6 blends, obtained by applying the modified Avrami equation to the linear range of the relative crystallinity curves shown in Figure 3. |
|
Figure 5 Crystal growth rate of PK/PA6 blends observed by POM. The average crystal growth rate was determined by measuring the diameter change for five randomly selected spherulites. |
|
Figure 6 Spherulitic morphology of PK/PA6 blends observed by POM after crystallization was completed. |
|
Figure 7 DMA curves of PK/PA6 blends showing Tan δ as a function of temperature. |
|
Table 1 Summary of Non-isothermal Crystallization Behavior of PK/PA6 Blends Obtained from DSC Analysis at a Cooling Rate of 10 ℃/min |
|
Table 2 Summary of the Non-isothermal Crystallization Behavior of PK/PA6 Blends Obtained from DSC Analysis at Various Cooling Rates |
본 연구에서는 PK의 빠른 결정화 속도를 제어하기 위해, 상용성이 우수한 PA6를 첨가한 PK/PA6 블렌드를 제조하고 비등온 결정화 거동을 체계적으로 분석하였다. 분석 결과, PA6가 일정 함량 이상 첨가될 경우 PK의 결정화 속도가 뚜렷하게 저하되는 경향이 확인되었다. 이러한 현상은 (1) 과도한 결정핵 형성으로 인한 결정 성장 과정에서의 상호 간섭, (2) PK와 PA6 간의 높은 상용성으로 인한 사슬 운동성 억제라는 두 가지 주요 요인에 기인하는 것으로 판단된다. 반면, 소량의 PA6 첨가 시에는 결정화 속도가 오히려 증가하는 양상이 관찰되었는데, 이는 PA6가 효과적인 기핵제로 작용함을 시사한다. 이와 같이 PA6는 첨가량에 따라 PK의 결정화 속도를 지연 또는 촉진시키는 이중적 역할을 수행할 수 있으며, PK의 결정화 거동을 정밀하게 조절할 수 있는 유효한 첨가제임을 확인하였다. 본 연구 결과는 PK 기반 고분자 소재의 결정화 제어 및 가공성 향상을 위한 실질적인 블렌드 설계 전략 수립에 기여할 수 있을 것으로 기대된다.
This Article2025; 49(4): 524-529
Published online Jul 25, 2025
Services
Correspondence toSchool of Chemical and Biological Engineering, Seoul National University, 1 Gwanak-ro, Seoul 08826, Korea
*Department of Chemical Engineering, Soongsil University, 369 Sangdo-ro, Seoul 06978, Korea