
Giyeong Nam, Jihee An, Huiyeol Choi, Suwan Park, Boram Gu†
, and Daehoon Han† 
School of Chemical Engineering, Chonnam National University, Gwangju 61186, Korea
전남대학교 화학공학부
Reproduction, stored in a retrieval system, or transmitted in any form of any part of this publication is permitted only by written permission from the Polymer Society of Korea.
Light-responsive hydrogels enable remote, noncontact, and spatiotemporally precise actuation, making them attractive for applications in actuators, sensors, and biomedical systems. An effective design strategy for light-responsive hydrogels involves incorporating photothermal agents into temperature-responsive hydrogels, where absorbed light is converted into localized heat that triggers reversible volumetric transitions of the hydrogels. Here, we report smart light-responsive hydrogel composites consisting of poly(N-isopropylacrylamide) (PNIPAAm) as the temperature-responsive matrix and reduced graphene oxide (rGO) sheets as photothermal agents. The thermo- and light-responsive swelling behaviors of the composites are systematically investigated as a function of NIPAAm concentration and rGO loading. Moreover, light-triggered volume shrinkage of the composites is successfully demonstrated using the composites. These findings highlight the potential of rGO-PNIPAAm composites as tunable platforms for next-generation soft actuators and biomedical devices.
광반응성 하이드로젤은 원격, 비접촉, 그리고 시공간적으로 정밀한 작동을 가능하게 하며, 액추에이터, 센서 및 생의학 시스템과 같은 응용 분야에서 매력적인 소재로 주목받고 있다. 광반응성 하이드로젤을 설계하는 효과적인 전략 중 하나는 광열제를 온도반응성 하이드로젤에 도입하는 것으로, 광열제가 흡수한 빛이 국소적인 열로 전환되어 하이드로젤의 가역적 부피 변화를 유도한다. 본 연구에서는 온도반응성 매트릭스로 poly(N-isopropylacrylamide)를 사용하고, 광열제로 환원 그래핀 산화물을 활용한 스마트 광반응성 하이드로젤 복합체를 보고한다. 이 복합체의 온도 및 광반응성 팽윤 거동은 NIPAAm 농도와 rGO 함량의 함수로 체계적으로 조사되었다. 또한, 복합체를 이용하여 광조사에 의해 유도되는 부피 수축이 성공적으로 입증되었다. 이러한 결과는 rGO-PNIPAAm 복합체가 차세대 소프트 액추에이터 및 생의학 장치를 위한 조절 가능한 플랫폼으로의 충분한 잠재력을 지님을 보여준다.
Smart light-responsive hydrogel composites are developed by incorporating reduced graphene oxide (rGO) sheets into a poly(N-isopropylacrylamide) (PNIPAAm) matrix. The composites preserve the thermo-responsive behavior of PNIPAAm while gaining rapid and tunable light-induced volume shrinkage through the photothermal effect of rGO. These findings demonstrate the potential of rGO–PNIPAAm composites as versatile platforms for soft actuators and biomedical applications.

Keywords: smart materials, light-responsive hydrogels, poly(N-isopropylacrylamide), reduced graphene oxide, swelling behavior.
This work was supported by the National Research Foundation of Korea (NRF) grant funded by the Korea government (MSIT) (No. RS-2023-00247767). This result was also supported by the “Regional Innovation System & Education (RISE)” through the Gwangju RISE Center, funded by the Ministry of Education (MOE) and the Gwangju Metropolitan Government, Republic of Korea (2025-RISE-05-011).
The authors declare that there is no conflict of interest.
Hydrogels are three-dimensional (3D) crosslinked polymeric networks with high hydrophilicity, enabling them to absorb and retain large quantities of water. Their structural stability is achieved through either chemical covalent bonds or physical interactions, and their intrinsic similarity to tissues has attracted significant research attention in biological and biomedical fields.1,2 However, the increasing complexity of biomedical and engineering demands cannot be fully addressed by static material properties alone. Consequently, stimuli-responsive hydrogels have emerged as functional platforms that can reversibly alter their network structure and physicochemical properties in response to diverse external cues, including temperature, pH, light, electric or magnetic fields, ions or salts, and enzymatic activity.3
Such hydrogels undergo reversible swelling, deswelling, or morphological transformations depending on the stimulus. Isotropic responses typically result in uniform volumetric changes, whereas anisotropic responses produce more complex deformations, such as bending, twisting, or folding.4
These dynamic and reversible characteristics position stimuli-responsive hydrogels as versatile platforms for a wide range of applications, including smart soft actuators,5,6
sensors,7-9 drug delivery systems,10-12 and tissue engineering.13-15 In particular, light-responsive hydrogels offer the advantage of noncontact and remote actuation by employing light as an external stimulus, thereby enabling precise spatiotemporal control of hydrogel deformation.16,17 Light-responsive hydrogels can be engineered through the incorporation of supramolecular networks containing azobenzene units18 or anthracene-based small molecules,19 which undergo reversible conformational or chemical changes upon light irradiation. An alternative strategy involves the integration of photothermal agents into temperature-responsive hydrogels, which exhibit reversible volumetric expansion or contraction in response to temperature variations.20-22
Photothermal agents exhibit the photothermal effect, in which absorbed optical energy is converted into heat through nonradiative relaxation.23
The localized heating generated by the photothermal agent is subsequently transferred to the surrounding temperature-responsive hydrogel, thereby inducing light-triggered volumetric transitions.24
Poly(N-isopropylacrylamide) (PNIPAAm), one of the widely studied temperature-responsive hydrogels, exhibits reversible volume changes at its lower critical solution temperature (LCST, typically 32-35 ℃) (Figure 1). Below the LCST, PNIPAAm chains adopt a hydrated coil conformation that promotes significant water uptake and swelling of the hydrogel network. In contrast, above the LCST, hydrogen bonding with water is weakened, hydrophobic interactions dominate, and the polymer chains collapse into compact globules, resulting in significant volumetric shrinkage.4,25-28
To transform PNIPAAm hydrogels into light-responsive systems, a variety of photothermal agents have been incorporated into PNIPAAm hydrogel networks, including plasmonic nanoparticles (e.g., gold nanospheres,29 nanorods,30,31 silver nanorods32), inorganic semiconductors (e.g., Fe3O4,33 Cu7S4,34 MoS2,35 ZnO36), carbon-based nanomaterials (e.g., graphene oxide (GO),37 reduced graphene oxide (rGO),38 carbon nanotubes,39 MXene40,41), polymeric nanomaterials (e.g., polypyrrole,42polyaniline,43,44 poly (diketopyrrolopyrrole-alt-3,4-ethylenedioxythiophene)45), and biomimetic materials (e.g., polydopamine20,46,47). Among these candidates, rGO sheet has gained particular attention owing to its broad optical absorption in the visible and near-infrared regions, excellent biocompatibility with simple surface functionalization, and high stability against repeated light irradiation.48
rGO is derived from the reduction of GO, which removes oxygen-containing functional groups and restores the sp2-conjugated p electron network. This structural restoration significantly improves electronic conductivity and enhances electron-phonon interactions, enabling rapid dissipation of the absorbed photon energy into lattice vibrations with high thermal conversion efficiency.48-50In addition to its functional advantages, rGO can be synthesized in bulk quantities from inexpensive graphite precursors, providing a scalable and cost-effective route relative to noble metal- or semiconductor-based photothermal agents.51
Here, we present smart light-responsive hydrogel composites based on PNIPAAm incorporated with rGO sheets (Figure 1). To fabricate these composites, all photocurable resins were prepared by dissolving NIPAAm as a monomer, N,N'-methylene-bis(acrylamide) as a cross-linker, phenylbis(2,4,6-tri-methyl-benzoyl)phosphine oxide as a photo-initiator in ethanol as a base solvent, followed by mixing with an rGO solution. The prepared resins were cured under UV light (365 nm) to form hydrogel composites. For subsequent studies, film samples were fabricated using a sandwich-structured mold and then processed into disk-shaped specimens using a punch tool. Using the disk-shaped samples, we evaluated the temperature-dependent swelling behavior of the hydrogel composites in aqueous environments as a function of NIPAAm concentration and rGO loading. The photothermal effects of GO and rGO were further validated through light irradiation experiments. In addition, the light-responsive volume change of the composites was successfully demonstrated under white image projection, and their swelling behaviors were systematically correlated with the rGO content.
|
Figure 1 Schematic illustration of smart light-responsive hydrogel composites and their light-responsive swelling behavior. |
Materials. The resin formulation used in this study consisted of N-isopropylacrylamide (NIPAAm; Fisher Scientific, USA) as the monomer, N,N'-methylene-bis(acrylamide) as the cross-linker (cross-linker to monomer molar ratio fixed at 0.05; e.g., 1.32 M NIPAAm (15% w/v) and 69.6 mM cross-linker; Sigma-Aldrich, USA), phenylbis(2,4,6-tri-methylbenzoyl)phosphine oxide as the photo-initiator (initiator to monomer molar ratio fixed at 0.008; e.g., 1.32 M NIPAAm (15% w/v) and 10.2 mM initiator; Sigma Aldrich, USA), and an rGO solution (Graphene Supermarket, USA). All materials were used as received.
Disk-shaped Sample Fabrication. Photocurable resins were injected into a transparent glass sandwich-structured mold (1.0 mm thickness) and cured in a UV oven (CL-3000, 365 nm, Analytik Jena) for 30 minutes on each side, yielding uniformly crosslinked hydrogel composite films. Disk-shaped specimens with a diameter of 4.8 mm were then obtained using a punch tool. All samples were immersed in deionized (DI) water for 24 hours and subsequently stored at 5 ℃ in a refrigerator prior to use.
Temperature-responsive Swelling Characterization. Disk-shaped hydrogel composite samples were placed in a temperature-controlled water chamber, and the lateral swelling ratio was measured at every 5 ℃ while increasing temperature from 10 ℃ to 60 ℃. To ensure that the samples reached equilibrium, the temperature was maintained for 3 hours at each set point. At every temperature, top-view images of the samples were recorded, and the diameters were measured using the ImageJ software. The swelling ratio (D/D0) was then calculated, where D is the diameter of the sample at equilibrium and D0 is the original diameter (as fabricated, 4.8 mm).
Photothermal Effect of GO and rGO Solutions. GO (Graphene Supermarket, USA) and rGO ethanol dispersions (0.08% (w/v)) were transferred into containers and adjusted to a solution height of 1 mm. A commercial digital projector (PJD6531w/DLP, ViewSonic) was employed as a light source with an intensity of 0.77 W/cm2. A white image was projected onto the top surface of the solutions to induce the photothermal effect. The solution temperature was monitored using a thermocouple and recorded with LabVIEW. Pure ethanol was used as a control.
Light-responsive Swelling Characterization. Disk-shaped hydrogel composite specimens were placed in air at room temperature and irradiated with a white image projection at an intensity of 0.77 W/cm2. Top-view images of the samples were captured at 1-minute intervals using a digital camera. The diameters of the samples were then measured using ImageJ to calculate the swelling ratios.
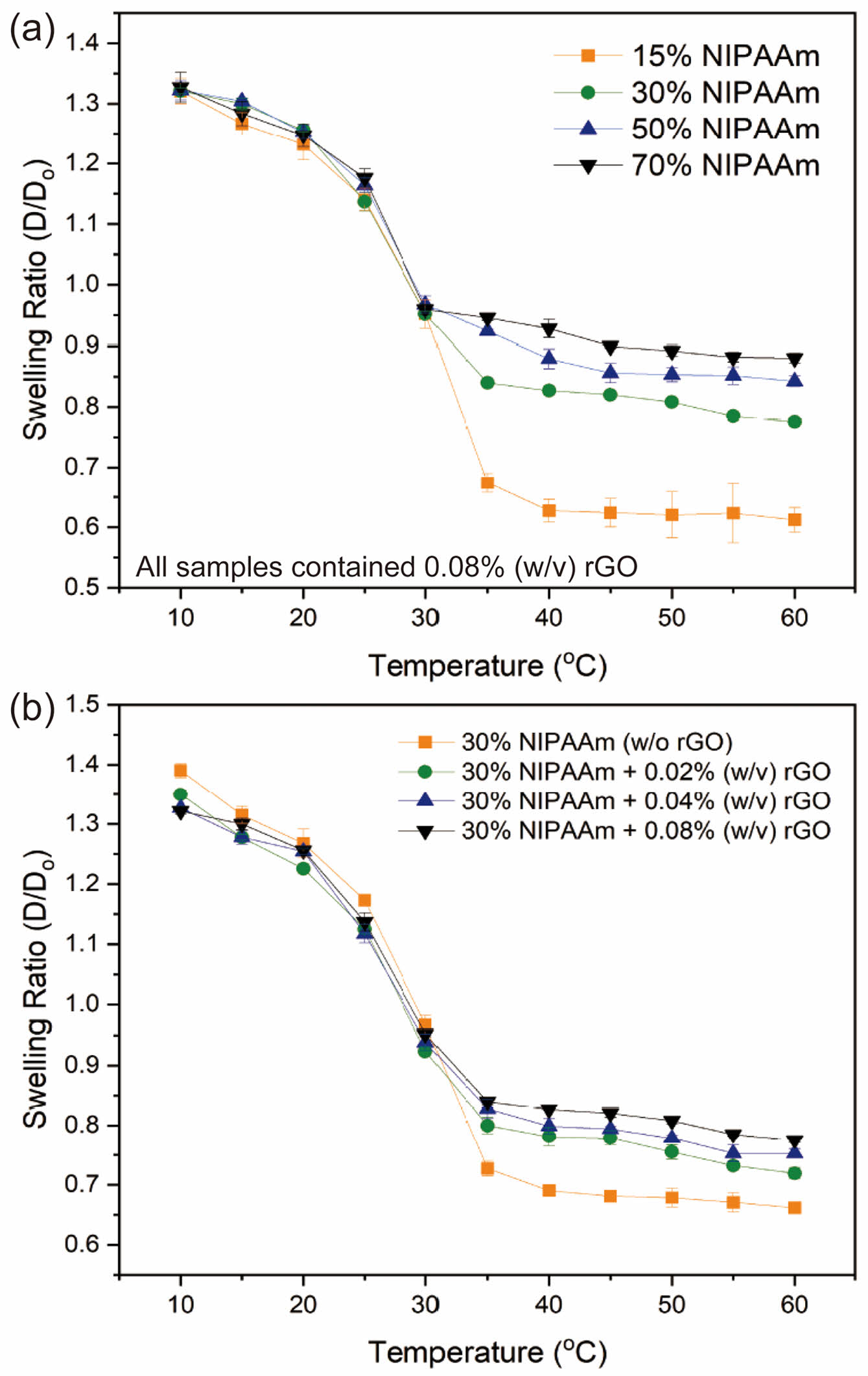
Effect of Monomer Concentration on Temperature-responsive Swelling. The temperature-dependent volumetric change of PNIPAAm hydrogels is the primary factor governing the volume transitions of light-responsive hydrogel composites under light irradiation. Thus, understanding the influence of the NIPAAm monomer concentration on the swelling behavior of the composites is essential for effectively programming and controlling the response of light-responsive systems. In our previous study,26 pure PNIPAAm hydrogels fabricated with higher monomer concentrations exhibited a higher overall network density, which resulted in greater volume of shrunken hydrogels (i.e., larger swelling ratio) at high temperature. To determine whether light-responsive hydrogels incorporating rGO sheets exhibit similar swelling behavior, disk-shaped light-responsive hydrogels were fabricated with four different monomer concentrations (15%, 30%, 50%, and 70% (w/v)), while the rGO concentration was fixed at 0.08%. The swelling behaviors of these samples were then evaluated in a temperature-controlled chamber filled with DI water.
As shown in Figure 2(a), all light-responsive hydrogel composites exhibited a gradual decrease in swelling ratio with increasing temperature, accompanied by a sharp volume transition near the LCST of PNIPAAm (~32 ℃). Despite the incorporation of rGO, the overall thermo-responsive behavior remained consistent with that of pure PNIPAAm hydrogels. Furthermore, composites prepared with higher monomer concentrations retained larger volumes (i.e., greater swelling ratio) at high temperature, indicating the influence of network density on thermal deswelling. At 60 ℃, the swelling ratios of samples fabricated with 15%, 30%, 50%, and 70% monomer concentrations were 0.61 (orange squares), 0.78 (green circles), 0.84 (blue triangles), and 0.88 (black inverted triangles), respectively. These results confirm that the light-responsive hydrogel composites preserve the intrinsic thermal characteristics of PNIPAAm hydrogel, suggesting that the volumetric transitions are primarily governed by the PNIPAAm matrix rather than the presence of rGO.
Effect of rGO Concentration on Temperature-responsive Swelling. Although the overall temperature-responsive trend of the hydrogels was maintained after the incorporation of rGO, the hydrophobic nature of rGO influenced the degree of swelling at low temperatures. As the rGO content increased, the amount of water retained within the hydrogel decreased, resulting in a lower swelling degree at low temperature (10 ℃). In addition, higher rGO loadings increased the overall network density of the polymer/rGO composite, which led to larger swelling ratio values in the shrunken state at high temperatures. To examine the influence of rGO incorporation and concentration on the swelling behavior of light-responsive hydrogel composites, three disk-shaped samples were fabricated with a fixed NIPAAm concentration of 30% and rGO concentrations of 0.02%, 0.04%, and 0.08% (w/v). A pure PNIPAAm hydrogel without rGO was also prepared as a control.
Figure 2(b) shows that composites containing 0.02%, 0.04%, and 0.08% rGO exhibited lower swelling ratios at 10 ℃ (1.35, green circles; 1.33, blue triangles; and 1.32, black inverted triangles, respectively) compared with the pure PNIPAAm hydrogel (1.39, orange squares). In contrast, at high temperature (60 ℃), the rGO-containing hydrogels showed higher swelling ratios of 0.72, 0.75, and 0.78, respectively, whereas the pure PNIPAAm hydrogel exhibited a lower value of 0.66. These results indicate that increasing rGO content reduces the degree of swelling at low temperature due to its hydrophobic nature, while simultaneously producing greater volume retention in the shrunken state at high temperature as a consequence of the denser polymer/rGO composite network.
Photothermal Effect of GO and rGO Solutions. The photothermal effect of rGO embedded within the PNIPAAm network is critical for achieving effective light-induced actuation of the hydrogel composites. Insufficient photothermal conversion would fail to raise the temperature above the LCST of PNIPAAm, thereby suppressing volumetric transitions and diminishing the light-responsiveness of the composite. To quantitatively evaluate the heat generation capacity of rGO, we monitored the temperature change of pure rGO solution (0.08% rGO in ethanol) under light irradiation in the absence of the polymer matrix. For comparison, GO solution (0.08% GO in ethanol) and pure ethanol were also examined under identical conditions. Each solution was confined to a height of 1 mm in a chamber, and a white image (0.77 W/cm2) was projected onto the surface using a commercial digital projector. The solution temperature was continuously monitored with a thermocouple (Figure 3(a)).
The temperature of pure ethanol without any photothermal agents increased only by ~2 ℃ under light irradiation (orange circles in Figure 3(b)), which can be attributed to thermal radiation emitted from the light source. Although a slight temperature rise was observed, incorporation of a photothermal agent is essential for triggering the actuation of light-responsive hydrogel composites. In this study, GO and rGO were examined as photothermal agents. After approximately 6 minutes of irradiation, the temperature of the GO solution reached ~39 ℃ (green triangles in Figure 3(b)), whereas the rGO solution increased to ~44 ℃ (blue inverted triangles in Figure 3(b)). Both solutions demonstrated evident photothermal heating, with rGO consistently exhibiting higher temperatures and a faster initial rise compared with GO. This difference arises from the distinct chemical compositions and electronic structures of GO and rGO. In GO, the presence of oxygen-containing functional groups disrupts the continuity of the sp2 carbon network, increases sp3 bonding, and restricts charge mobility. As a result, disorder-induced localized states are formed, preventing absorbed photons from being efficiently converted into heat through nonradiative electron-phonon relaxation. In contrast, reduction of GO removes oxygen functionalities, restores distorted sp2 domains, and generates new sp2 clusters. This structural restoration enhances charge mobility and strengthens p-p* transitions, thereby improving optical absorption from the visible to near-infrared region.49
Consequently, under identical conditions, rGO transfers absorbed photon energy into phonons more efficiently than GO, leading to higher temperature increases and superior photothermal conversion efficiency. Therefore, rGO solution was used for photothermal agent in all subsequent studies.
Swelling Behavior Under Light Irradiation. As discussed above, rGO effectively generates heat under light irradiation. In light-responsive hydrogel composites, however, rGO sheets are dispersed within the PNIPAAm hydrogel, and the generated heat is transferred not only to the polymer matrix but also to the water inside the composites, which has a high specific heat capacity. As a result, the temperature rise of the composites under identical irradiation times is inherently lower than that of rGO solution. To examine whether the temperature increase induced by the photothermal effect of rGO is sufficient to trigger the volume contraction of composite, disk-shaped samples were fabricated with 15% NIPAAm and 0.08% rGO. Furthermore, to ensure that the volume shrinkage originated from the photothermal effect rather than natural water evaporation within the composite, two disk-shaped samples were placed in air, and only one sample was exposed to light (white image, 0.77 W/cm2) while the other was kept in the dark (Figure 4(a)).
As shown in Figure 4(b), both samples exhibited an initial swelling ratio of ~1.32 before light irradiation. The non-irradiated sample (blue squares) showed negligible change, confirming that natural evaporation did not contribute to volume shrinkage within 10 minutes. In contrast, the irradiated sample shrunk rapidly, decreasing to ~1.09 within 1 minute and reaching equilibrium at ~1.03 within 2 minutes. This shrinkage indicates that the heat generated by the photothermal effect of rGO was efficiently transferred throughout the composite network, enabling rapid thermal equilibration and triggering the LCST-based phase transition of the PNIPAAm network, which in turn mediated light-induced volume shrinkage. However, when compared with the swelling behavior of composites measured in the temperature-controlled chamber under identical conditions without light irradiation (orange squares in Figure 2(a)), the equilibrium temperature of the irradiated composite can be estimated to be ~28 ℃. This equilibrium temperature is lower than the temperature rise observed for the rGO solution under light irradiation (reaching ~38 ℃ within 2 minutes, Figure 3(b)). The lower temperature reduced the degree of shrinkage in the composite, thereby limiting the overall volume shrinkage to ~1.03. These findings highlight the intrinsic difference between dispersed rGO within the hydrogel matrix and rGO in free solution, which arises from thermal energy dissipation into the surrounding polymer network and water.
Effect of rGO Concentration on Light-responsive Volume Shrinkage. Some approaches could be considered to enhance the shrinkage of the composites, such as increasing rGO loading, improving rGO dispersion, incorporating synergistic photothermal agents, or employing light sources with higher penetration. Among these strategies, increasing the rGO content enables greater heat generation under the same light energy and provides additional heat-transfer pathways due to the higher rGO density, thereby allowing the composite to reach a higher equilibrium temperature and greater volume shrinkage of the composite. To study the effect of rGO content on swelling behavior of the composites under light irradiation, five disk-shaped samples were fabricated with different rGO concentrations of 0%, 0.001%, 0.010%, 0.050%, and 0.245%, while the NIPAAm concentration was fixed at 15%. The samples were then stored at 5 ℃ in a refrigerator prior to use.
Similar to the results in Figure 2(b), the hydrophobic nature of rGO caused the samples to exhibit lower swelling ratios at low temperature (refrigeration temperature, ~5 ℃) with increasing rGO content. Accordingly, the initial swelling ratios were 1.34, 1.32, 1.29, 1.27, and 1.17 for rGO concentrations of 0% (orange squares), 0.001% (red circles), 0.010% (green triangles), 0.050% (blue inverted triangles), and 0.245% (black diamonds), respectively, as shown in Figure 5. The swelling behavior of the samples was subsequently monitored under light irradiation in air. The pure PNIPAAm hydrogel without rGO showed negligible changes in swelling ratio over 8 minutes under light irradiation due to the absence of a photothermal agent, which limited the temperature rise of the composite. In contrast, all rGO-containing samples exhibited a decrease in swelling ratio with irradiation time and reached equilibrium within 2 minutes. As expected, the equilibrium swelling ratios (0.001%, 1.28; 0.010%, 1.03; 0.050%, 1.01; 0.245%, 0.94) decreased with increasing rGO content, attributed to enhanced heat generation and additional heat-transfer pathways. These findings demonstrate that the incorporation of rGO not only offers light-responsiveness to PNIPAAm hydrogels but also enables precise modulation of volume shrinkage. Accordingly, the rGO content can be regarded as a key design parameter for tailoring the actuation behavior of light-responsive hydrogel composites.
|
Figure 2 Temperature-dependent swelling behavior of light-responsive hydrogel composites. Effects of (a) NIPAAm concentration; (b) rGO concentration on the swelling behavior of the hydrogel composites. |
|
Figure 3 Photothermal heat generation of rGO solution: (a) schematic of the experimental setup used to monitor temperature changes of the solutions under light irradiation; (b) temperature profiles of ethanol, GO, and rGO solutions under light irradiation. |
|
Figure 4 Light-triggered volume shrinkage of smart light-responsive hydrogel composites: (a) schematic of the experimental setup used to investigate the swelling behavior of the composites; (b) swelling behavior of the composites with and without light irradiation. |
|
Figure 5 Effect of rGO concentration on the volume shrinkage of the light-responsive hydrogel composites under light irradiation. |
In this study, smart light-responsive hydrogel composites were successfully fabricated by incorporating rGO sheets into PNIPAAm networks. The thermo- and photo-responsive behaviors of the composites were systematically investigated by varying the NIPAAm monomer concentration and the rGO loading. The results of this study can be summarized in three aspects. First, variation in NIPAAm concentration influenced the thermo-responsive swelling behavior of the composites. Hydrogel composites with higher monomer concentrations formed denser networks and exhibited greater volume retention at high temperatures, while preserving the intrinsic LCST-driven transitions of PNIPAAm. Second, variation in rGO concentration affected the swelling behavior of the composites under temperature changes. Increased rGO loading reduced swelling at low temperatures due to its hydrophobic nature, but enhanced volume retention at high temperatures as a result of the denser polymer/rGO composite network. Third, rGO content also influenced the kinetics and degree of light-responsive shrinkage of the composites. Pure PNIPAAm hydrogels showed negligible response to irradiation, whereas rGO-containing composites exhibited rapid shrinkage, reaching equilibrium within 2 minutes. The degree of shrinkage increased with higher rGO loadings, reflecting greater heat generation and additional heat-transfer pathways. Also, this work demonstrated the feasibility of projector-based wide-area light irradiation as a scalable and accessible actuation method, extending beyond conventional laser-based approaches. Overall, these results establish rGO as an efficient and scalable photothermal agent for engineering light-responsive hydrogel composites. The tunable actuation achieved by varying rGO concentration highlights the critical role of rGO content as a design parameter for optimizing performance. This work provides fundamental insights and design guidelines for the development of next-generation light-driven actuators, soft robotic components, and biomedical platforms based on the hydrogel composites.
This Article2025; 49(6): 838-845
Published online Nov 25, 2025
ServicesIntroduction
Experimental
Results and Discussion
Conclusions
Correspondence toSchool of Chemical Engineering, Chonnam National University, Gwangju 61186, Korea