
Department of Optometry and Vision Science, Daegu Catholic University, Gyeongbuk 38430, Korea
*Chunma College of General Studies, Yeungnam University, Gyeongbuk 38541, Korea
대구가톨릭대학교 안경광학과, *영남대학교 천마학부대학 교양학부
Reproduction, stored in a retrieval system, or transmitted in any form of any part of this publication is permitted only by written permission from the Polymer Society of Korea.
This study aimed to overcome the limitations of silicone monomers by synthesizing the silicone monomer 3-(3-(bis(trimethylsiloxy)(methyl)silyl) propanoyloxy)-2-hydroxy propylmethacrylate (SiGMA-O) and fabricating a polymer contact lens using it to confirm its potential as a contact lens material. The structure of the synthesized monomer was confirmed through 1H NMR and 13C NMR analyses, and the fabricated lenses were evaluated for moisture content, contact angle, oxygen permeability, light transmittance, refractive index and protein adsorption. The performance was compared with that of 3-[tris(trimethylsiloxy)silyl]propyl methacrylate (Tris) and 3-methacryloxy-2-hydroxypropoxy) propylbis(trimethylsiloxy)methylsilane (SiGMA), which are mainly used in existing contact lenses. The SiGMA-O-based lenses had higher water content and oxygen permeability than the conventional monomers, and improved wettability with a low contact angle. In addition, protein adsorption to the contact lens was reduced. This confirms that the newly synthesized SiGMA-O is a material applicable to contact lenses with improved performance.
본 연구는 실리콘 단량체의 한계를 극복하기 위해, 실리콘 단량체 3-(3-(bis(trimethylsiloxy)(methyl)silyl) propanoyloxy)-2-hydroxy propylmethacrylate(SiGMA-O)를 합성하고, 이것을 이용한 중합체인 콘택트렌즈를 제작하여 콘택트렌즈 소재의 가능성을 확인하고자 하였다. 합성된 단량체의 구조는 1H NMR, 13C NMR 분석을 통해 확인하였으며, 제작된 렌즈는 함수율, 접촉각, 산소투과율, 광투과율, 굴절률 및 단백질 흡착량 등을 평가하였다. 기존 콘택트렌즈에 주로 사용하고 있는 3-[tris(trimethylsiloxy)silyl]propyl merthacrylate(Tris) 및 3-methacryloxy-2-hydroxypropxy)propylbis (trimethylsiloxy)methylsilane(SiGMA) 기반 렌즈와 성능을 비교하였다. SiGMA-O 기반 렌즈는 기존 단량체 대비 함수율과 산소투과율이 높았으며 낮은 접촉각으로 습윤성이 향상되었다. 또한 콘택트렌즈로의 단백질 흡착도 감소하였다. 이로써 새로 합성한 SiGMA-O는 성능이 향상된 콘택트렌즈에 적용 가능한 소재임을 확인하였다.
A novel silicone monomer, SiGMA-O, was synthesized, and the properties of polymers using it were evaluated. The polymers using the synthesized monomer demonstrated excellent oxygen transmissibility and wettability, confirming their potential as contact lens materials.

Keywords: modified silicone monomer, silicone hydrogel, contact lens, protein adsorption, physicochemical properties.
본 연구는 2021년도 정부(교육부)의 재원으로 한국연구재단의 지원을 받아 수행된 기초연구 사업(No. 2021R1F1A106332211)으로 연구되었습니다.
저자들은 이해상충이 없음을 선언합니다.
정보화 사회의 발전과 스마트폰, 디지털 기기의 보급으로 인해 눈의 피로도가 증가하고 있으며, 이로 인해 콘택트렌즈의 장시간 착용 빈도도 지속적으로 증가하고 있다. 이러한 사용 환경의 변화는 안구건조증, 각막 부종, 저산소증에 따른 각막 곡률 변화1,2 및 시력 저하와3,4 같은 다양한 안구 질환2,5의 유발 요인이 될 수 있다.
특히 콘택트렌즈는 눈 표면과 직접 접촉하는 생체재료로, 장시간 안전하게 착용되기 위해서는 산소투과율, 함수율, 친수성 및 단백질 흡착 억제와 같은 물리적·화학적 특성을 동시에 만족해야 한다. 이에 따라 콘택트렌즈의 기능적 안정성과 생체적합성을 향상시키기 위한 소재 개발에 대한 관심이 꾸준히 증가하고 있으며,6 실제로 다양한 고분자 기반의 하이드로젤 및 실리콘 렌즈가 상용화되어 왔다.7
하이드로젤 콘택트렌즈는 높은 함수율과 유연성으로 인해 착용 초기의 쾌적함을 제공하였지만, 산소 투과율이 낮아 장시간 착용 시 각막의 대사 요구를 충족시키지 못하는 문제가 있었다.8 산소부족은 각막의 혼탁, 부종, 시력 저하와 같은 이상을 유발하며, 장기적으로는 렌즈 착용 순응도를 저하시키는 원인이 된다.9
이를 해결하기 위해 고안된 실리콘 하이드로젤 렌즈는 실록산 기반의 단량체를 활용하여 기존 하이드로젤 대비 월등한 산소투과율을 확보함으로써 각막 대사 요구를 보다 효과적으로 충족시킬 수 있게 되었다.10 하지만 실리콘 고유의 소수성으로 인해 렌즈 표면의 친수성이 저하되고, 이로 인해 눈물의 안정성이 떨어지며, 단백질과 지질등의 침착물이 부착되어 이물감, 염증, 감염 등 착용 중 불편을 유발하는 요인이 된다.11 특히, 실리콘 하이드로젤 콘택트렌즈는 산소투과율이 높아진 대신 착용감, 습윤성, 청결 유지 측면에서 일정 부분 성능 정하를 감수해야 하는 이중적인 특성을 지닌다.
실리콘 하이드로젤 렌즈의 물성 개선을 위해서는 산소투과율만 고려해서는 안되며, 친수성, 단백질 저항성, 표면 안정성 등 다양한 특성 간의 균형을 동시에 만족시켜야 한다는 점에서 고분자 설계의 복잡성이 크게 증가한다.12,13
실리콘 하이드로젤 렌즈의 상용화 이후 다양한 실리콘계 단량체들이 개발되어 왔으며, 대표적으로 3-[tris(trimethylsiloxy) silyl] propyl methacrylate(Tris)는 높은 산소투과율을 제공하는 단량체로 널리 사용되었다.14 하지만 Tris는 분자 내에 친수성 작용기가 없어 소수성이 강하고, 이로 인해 렌즈 표면의 습윤성과 단백질이나 지질 등의 생체물질이 쉽게 부착되는 단점이 있다.15
3-Methacryloxy-2-hydroxypropoxy)propylbis(trimethylsiloxy) methylsilane(SiGMA)는 실록산 구조에 친수성 작용기를 도입하여 수분 유지력을 증가시키는 구조로 제안되었으며, 일정 수준의 습윤성 개선 효과를 보여주었다.16 그러나 SiGMA 역시 장시간 착용에 요구되는 친수성과 단백질 흡착 저항성 측면에서 한계가 있는 것으로 보고되었다.17,18 최근에는 이러한 단량체의 기능적 한계를 극복하기 위해 단순한 말단 작용기 도입을 넘어, 실리콘 단량체의 분자 중심 구조 자체를 조절하여 물성 전반에 영향을 주는 전략적 접근이 시도하고 있다. 이는 기존의 조성 최적화 방식과 달리, 단량체의 화학 구조를 분자 설계 단계에서 조절함으로써 중합체 물성을 보다 정밀하게 제어하고자 하는 전략적 접근이라 할 수 있다.
본 연구는 기존의 실리콘 단랭체를 이용한 콘택트렌즈의 단순한 조성 변화가 아닌 단량체 구조를 개량함으로써 콘택트렌즈 소재의 물리 화학적 특성을 전반적으로 향상시키고자 하는 데 있다. 이를 위해 기존 실리콘 단량체의 한계를 극복할 수 있는 신규 실리콘 단량체(SiGMA-O)를 합성하였다. 또한 SiGMA-O를 활용하여 실리콘 하이드로젤 콘택트렌즈를 제작한 뒤, 렌즈의 물리적 특성 및 단백질 흡착에 대한 평가를 통해 기존 실리콘 단량체 기반 렌즈와의 성능 차이를 비교하고, 콘택트렌즈 소재로서의 적합성을 파악하고자 한다.
재료 및 시약. 본 연구에 사용된 실리콘 단량체인 3-[tris (trimethylsiloxy)silyl]propyl methacrylate(Tris), (3-methacryloxy-2-hydroxypropoxy)propylbis(trimethylsiloxy)methylsilane (SiGMA), 친수성 단량체인 N-vinyl-2-pyrrolidone(NVP), N,N-dimethylacetamide(DMA), 가교제인 ethylene glycol dimethacrylate (EGDMA)와 열개시제 benzoyl peroxide(BPO)는 Sigma-Aldrich(USA)에서 구매하여 사용하였다.
신규 실리콘 단량체(SiGMA-O)의 합성에는 1-(acryloyloxy)- 3-(methacryloyloxy)-2-propanol과 1,1,1,3,5,5,5-heptamethyl- trisiloxane을 반응시약으로 사용하였으며, 촉매제로는 Platium(0)-1,1,3,3-tetramethyldisiloxane complex solution, 용매로는 toluene을 사용하였다. 이 중 1-(acryloyloxy)-3-(methacryloyloxy)-2-propanol은 TCI(Japan)에서, 나머지 Sigma-Aldrich(USA)에서 구매하였다.
단백질 흡착 실험에 사용된 소혈청알부민(bovine serum albumin, BSA)는 Sigma-Aldrich(USA)에서 구입하여 사용하였으며, phosphate-buffered saline(PBS, pH 7.4) 용액에 용해하여 사용하였다. PBS 용액은 실험실에서 직접 제조하여 사용하였다.
1H NMR(400 MHz)과 13C NMR(100 MHz)은 내부표준물질인 CDCl3 용액에서 측정하였으며, 화학적 이동값(δ, ppm)은 내부 표준물질인 CHCl3를 기준으로 보고 하였다(1H NMR: 7.24 ppm, 13C NMR: 77.0 ppm). 모든 용매는 별도의 정제 과정을 거치지 않고 사용하였다.
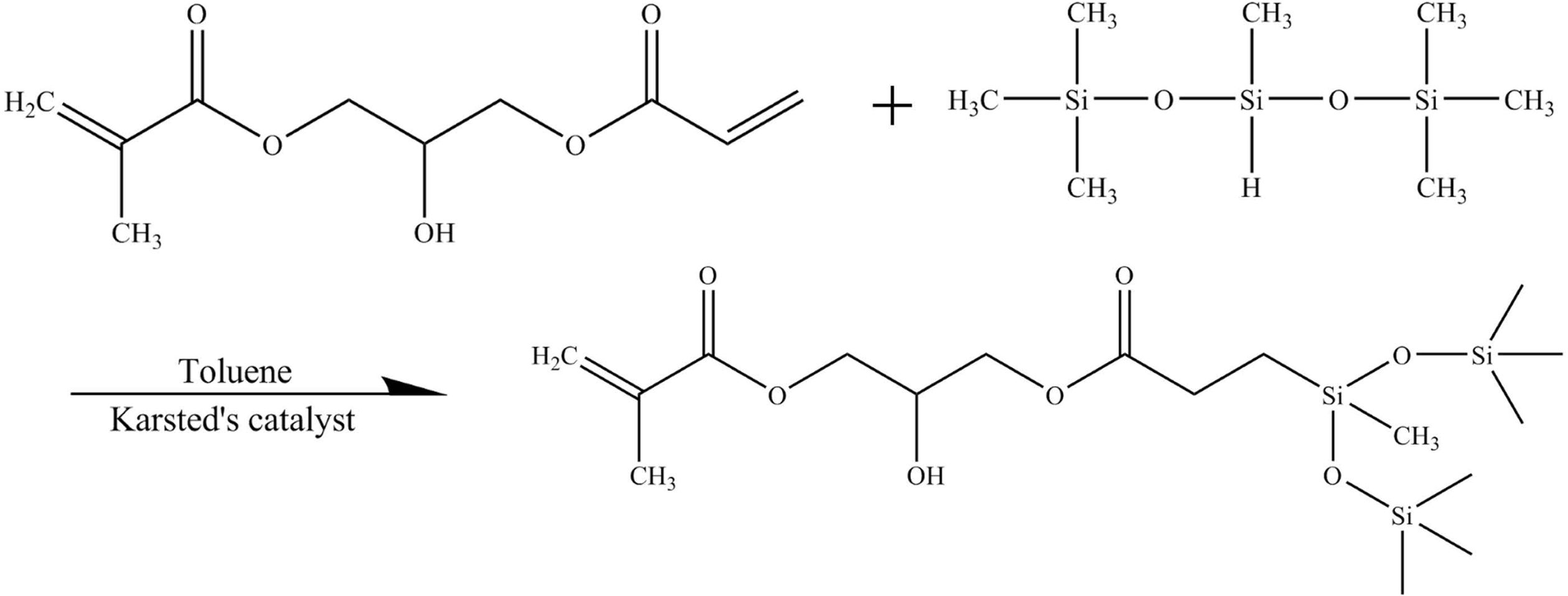
합성 SiGMA-O 합성 및 구조분석. 3-(3-(Bis(trimethylsiloxy) (methyl)silyl)propanoyloxy)-2-hydroxypropylmethacrylate (SiGMA-O)는 250 mL 3구 둥근 플라스크에 교반기, 환류관 및 오일배스를 장착하고 질소 분위기 하에서 합성하였으며 반응식은 Scheme 1에 제시하였다. 1-(acryloyloxy)-3-(methacryloyloxy)-2-propanol(11.85 g, 0.06 mol)을 toluene(25 mL)에 용해시킨 후, 70 ℃로 가열하였다. Karsted’s catalyst 용액을 한 방울을 첨가하고 1,1,1,3,5,5,5-heptamethyltrisiloxane(13.35 g, 0.06 mol)을 toluene(25 mL)에 용해한 용액을 15분간 점진적으로 첨가하였다. 반응 혼합물을 5시간 교반 후, 연한 황색으로 변하였다. 반응 종료 후 용매를 rotary evaporator에 (60 ℃ 10 mmHg) 제거하였고, 잔여물을 여과 및 감압하여 연한 황색의 액체를 얻었다. 이 후, 1H NMR, 13C NMR 분석을 통해 구조를 확인하였다. 1H NMR (400 MHz, CDCl3): d 6.20, 5.60 (s, 1H, g, C=CH2), 4.45-4.05 (m, 2H, c, -O-CH2-), 3.85-3.65 (m, 3H, d,e, -CH-OH, -O-CH2-), 1.95 (s, 3H, f, =C-CH3), 1.75-1.50 (m, 2H, b, -CH2-), 1.00-0.95 (m, 2H, a, -CH2-), 0.25-0.05 (s, 18H, silyl-, Silyl groups), 0.02 (s, 3H, h, Si-CH3). 13C NMR (100 MHz, CDCl3): d 174.8 (h, O-C(=O)-), 167.9 (d, O-C(=O)-), 135.5 (b, C=vinyl), 126.3 (a, CH2=), 70.6 (e, -O-CH2-CO-), 67.8 (f, -CH-OH-), 63.2 (g, -CH2-O), 32.4 (i, -CH2-C(=O)-), 18.2 (c, =C-CH3), 9.1 (j, -CH2-Si-, weak), 2.0 (k,m, Si(CH3)3; silyl methyls), -0.34 (l, Si-CH3)
Scheme 1. Synthetic route of SiGMA-O via hydrosilylation reaction
콘택트렌즈 제작. 합성한 실리콘 단량체(SiGMA-O)와 비교군 단량체인 Tris, SiGMA를 기본 단량체로 사용하였고, N,N-dimethylacetamide(DMA), N-vinyl-2-pyrrolidone(NVP)을 친수성 보조 단량체로, ethylene glycol dimethacrylate(EGDMA)를 가교제로, benzoyl peroxide(BPO)를 열 개시제로 사용하였다. 모든 조성물은 교반기를 이용하여 15분간 균일하게 혼합한 뒤, 0.00 D polypropylene(P.P) 몰드를 사용하여 120 ℃에서 2시간 동안 열중합하였다.
중합이 완료된 콘택트렌즈는 몰드에서 분리한후,미반응 단량체를 제거하기 위해 증류수로 2회 세척한 이 후 실험에 사용하였다.
각 시료의 조성 및 혼합 비율은 Table 1에 나타내었으며, 모든 비율은 vol% 기준으로 설정하였다.
콘택트렌즈의 특성 분석방법. 광투과율:광투과율은 UV-vis 분광광도계(Cary 60 UV-Vis, Agilent Technologies, USA)를 사용하여 측정하였다. ISO 18369에 준하여 가시광 영역 380-780 nm에서 스펙트럼 투과율을 획득하였다. 렌즈는 PBS(pH 7.4)에서 24시간 안정화 후 표면의 수분을 가볍게 제거하여 측정 셀에 장착하였다. 각 시료는 3회씩 측정하여 평균값을 백분율로 나타내었다.
함수율: 함수율은 ISO 18369-4:2017의 Opthalmic optics Contact lenses Part 4: Physicochemical properties of contact lens materials 중량 측정법(gravimetric method)으로 측정하였다. 제작된 렌즈를 24시간 동안 PBS 용액에 침지하여 평형 상태에 도달시킨 후, 표면의 물기를 제거하고 습윤 상태의 무게(Wwet)를 측정하였다. 이 후 렌즈를 60 ℃ 오븐에서 24시간 건조하여 건조 상태의 무게(Wdry)를 측정하였다. 함수율(%)은 다음 식에 따라 계산 하였다.

모든 시료는 동일 조건에서 10회씩 측정하여 평균값으로 제시하였다.
산소투과율: 산소투과율은 polarographic method로 측정하였다. 렌즈는 측정 전 36 ± 0.5 ℃, 상대 습도 98% 조건의 WL1000S(WITHLAB, Korea) 항온기에서 2시간 이상 안정화한 후, Model 201T permeometerTM(CREATECH, USA)로 측정된 전류 값을 통해 산소침투성과 산소전달률을 측정하였다. 콘택트렌즈 두께는 Litematic VL-50(Mitutoyo, Japan)을 사용하여 측정하였으며, 산소전달률 계산에 사용되었다. 모든 시료는 3회씩 측정 후, 평균값으로 나타내었다.
접촉각: 표면 친수성 평가는 sessile drop 방법으로 측정하였다. Kruss GMBH사의 Drop Shape Analyzer-DSA30을 사용하여 안정화된 렌즈 표면 의 물기를 제거한 후 20 ± 0.5 ℃에서 초순수 3 mL를 콘택트렌즈에 떨어뜨려 생성된 각을 측정하였다. 모든 시료는 3회씩 측정 후, 평균값으로 나타내었다.
굴절률: 수화 렌즈의 굴절률은 ABBE 굴절계(ATAGO NAR-1T, Japan)로 측정하였다. 측정 전 렌즈는 PBS(pH 7.4)에서 24시간 평형화 하였으며, 표면의 잔여 용액을 가볍게 제거한 후 측정하였다. 모든 시료는 3회씩 측정 후, 평균값으로 나타내었다.
단백질 흡착:BSA 용액은 PBS에 3.88 mg/mL로 용해하여 준비하였다. 각 실험군 렌즈는 10 mL 바이알에 준비된 BSA 용액 2 mL와 함께 넣은 뒤, 37 ℃ 인큐베이터에 보관하여 24시간 동안 흡착을 유도하였다. 이 후 렌즈를 꺼내어 냉장 보관된 PBS 용액으로 두 차례 세척하여 비흡착 단백질을 제거하였다.
단백질 탈착하기 위해 각 렌즈는 3% sodium dodecyl sulfate (SDS) 용액 3 mL에 담근 후, 5분간 천천히 교반기로 흔들어 시료에 붙어있는 단백질을 탈착시킨다. 용출된 단백질 함량은 UV-vis 분광광도계(Cary 60 UV-Vis, Agilent Technologies, USA)을 이용하여 280 nm에서 흡광도를 측정하였다. 측정은 Baseline을 3% SDS 용액으로 설정한 후 진행하였으며,

여기서 A280은 280 nm에서의 흡광도 값이며, 2.6은 BSA의 몰 흡광계수(e, extinction coefficient)이다. 모든 시료는 3회씩 측정하여 평균값으로 나타내었다.
통계분석: 수집된 데이터의 통계 분석은 SPSS for Window (Ver.22)를 사용하여 수행하였다. 각 시료군 간의 데이터를 비교하기 위해 일원분산분석(one-way ANOVA)을 실시하였으며, 사후 검정으로 Tukey HSD 검정을 적용하여 그룹 간 유의성을 확인하였다. 모든 데이터는 평균 ± 표준편차(mean ± SD)로 표시하였으며, 통계적 유의수준은 *p<0.05, **p<0.01, ***p<0.001로 설정하였다.
합성 SiGMA-O 구조분석. 1H NMR: 1H NMR(400 MHz, CDCl3), 13C NMR(100 MHz, CDCl3) 분석결과는 Figure 1에 나타내었다. δ 0.0-0.2 ppm에서는 다수의 메틸 프로톤에 해당하는 강한 피크가 관찰되어 실록산(-Si-CH3) 신호로 배정하였다. δ 3.4-4.4 ppm 구간에서는 -O-CH2- 및 -CH-O- 프로톤에 해당되는 multiplet 신호가 나타나, 아크릴레이트 작용기와 연결된 에스터 결합(-COO-)이 형성되었음을 확인하였다. δ 1.9 ppm에서 관찰된 3H singlet는 메타크릴테이트의 메틸기(=C-CH3)에 해당하였다. δ 5.6 및 6.2 ppm에서는 각각 1H의 vinyl proton 신호가 관찰되어 중합 반응에 참여 가능한 이중결합이 보존되었음을 시사하였다.
13C NMR:13C NMR(100MHz, CDCl3) 분석결과는, 171.4 및 166.9 ppm 부근에서 에스터 결합(-COO-)에 해당되는 카보닐 탄소 신호가 뚜렷하게 확인되었다. d135.9-121.2 ppm 구간에서는 아크릴레이트 작용기의 이중결합을 구성하는 vinyl carbon 신호들이 확인되어, 중합 가능한 불포화 결합이 보존되었음을 확인할 수 있었다. δ 65.8~61.4 ppm 영역에서는 -O-CH2- 및 -CH-O-에 해당하는 에스터 결합 주변의 산소 결합 탄소 신호가 나타났으며, 이는 1H NMR에서 관찰된 다중 피크와 일치하였다. δ 31.7-18.2 ppm 구간에서는 메틸 및 메틸렌 탄소의 신호가 분포하였으며, 특히 d 18.2 ppm 부근의 피크는 메타크릴레이트의 말단 메틸기(=C-CH3)에 해당하였다. δ 0.1 ppm에서는 다수의 강한 실록산(-Si-CH3)로 확인하였다.
콘택트렌즈의 물성. 광투과율: 기본 단량체가 서로 다른 콘택트렌즈의 광투과율 측정 결과를 Figure 2에 나타내었다.
Tris의 광투과율은 94.78 ± 1.14%, SiGMA는 97.85 ± 0.64%, SiGMA-O는 98.16 ± 0.37%로 나타났다. 세 시료 모두 ANZI Z80.20 콘택트렌즈 국제 표준에서 제시하는 가시광선 투과율 기준인 88%를 충족하였다. 세 그룹간 차이는 통계적으로 유의하였으며(p=0.003), 사후 검정 결과 Tris는 SiGMA와 SiGMA-O 대비 유의하게 낮은 값을 보였으나(p<0.01), SiGMA와 SiGMA-O 간에는 유의한 차이가 확인되지 않았다.
이러한 결과는 실리콘 하이드로젤의 광학 특성이 주로 중합체 매트릭스 내 미세분리와 산란원 형성 여부에 의해 좌우된다는 기존 연구와 일치한다.19,20 SiGMA-O는 단량체 구조가 변경되었음에도 굴절률 불일치를 일으킬만한 요소나 산란 중심을 증가시키는 요인을 포함하지 않아, 광학적 특성에 부정적인 영향을 미치지 않았다.21 따라서 SiGMA-O 렌즈는 기존 소재와 비교하여 시각적 품질 저하의 위험에 없으며, 후속적으로 평가되는 함수율 및 산소투과율 개선 여부를 고려할 때에도 광학적 안정성이 유지되는 재료임을 확인할 수 있다.
함수율: 함수율은 렌즈의 착용감과 각막 건강에 직접적인 영향을 미치는 물리적 특성으로, 본 연구에서 측정한 세 시료의 함수율은 Figure 3에 나타내었다.
SiGMA-O 단량체로 중합한 콘택트렌즈의 함수율의 경우, Tris는 61.11 0.90%, SiGMA는 69.18 ± 3.57%, SiGMA-O는 71.60 ± 3.16%로 나타났다. 세 시료 모두 소프트 콘택트렌즈로서 임상적으로 요구되는 수분 함량 범위에 포함되었으며,22 세 시료간 함수율 차이는 통계적으로 유의하였다(p<0.0001). 또한, 사후 검정 결과, 모든 그룹 간 유의한 차이가 확인되었다(p<0.01).
Tris 대비 SiGMA, 그리고 SiGMA 대비 SiGMA-O에서 함수율이 점진적으로 증가하는 경향이 관찰되었는데, 이는 단량체 구조에서 친수성 작용기의 차이로 판단된다.23 합성된 SiGMA-O는 실록산 사슬과 아크릴레이트 작용기 사이에 에스터 결합(-COO-)을 도입한 구조적 개량 단량체로, 단순한 말단 친수성 작용기 부착을 넘어서 고분자 네트워크 내 수분 결합력 및 분자 간 상호작용을 조절하도록 설계하였다. 이러한 개량은 친수성 및 수분 유지력 향상, 표면 에너지 변화, 산소 이동 경로 확보 등으로 이어질 수 있으며, 기존 SiGMA와 비교 했을때 보다 유연한 분자구조를 통해 고분자화 후 형성된 렌즈의 기계적 안정성과 착용감 개선에도 기여할 것으로 기대된다. 실제로 SiGMA-O의 에스터기의 도입이 증가하면서 고분자 사슬 내 극성기가 많아졌고, 이로 인해 물 분자와의 상호작용 및 수소결합 형성이 보다 용이해졌다. 이는 실록산 기반 단량체에 극성기 또는 bulky group을 도입했을 때 수분 친화성이 향상된다고 보고한 이전 연구와도 일치한다.24 이러한 분자 수준의 변화는 매트릭스 내 수분 보유 능력을 강화시키는 결과로 이어졌을 가능성이 높다.
함수율 향상은 콘택트렌즈의 착용감과 안구 표면 습윤성을 유지하는 데 중요한 의미를 갖는다. 함수율이 높을수록 렌즈는 눈물막과의 계면에서 더욱 안정적으로 습윤성을 유지할 수 있으며, 초기 착용 시 이물감 감소와 건조감 완화에 기여할 수 있다.25 또한 함수율은 산소 용해도와도 밀접하게 연관되므로,26 SiGMA-O의 함수율 증가 경향은 산소 확산 경로 확보에도 긍정적으로 작용할 수 있다. 비록 세 시료간의 수치 차이가 2% 이내로 제한적이었으나, 통계적으로 유의한 개선이 확인되었으며, 이는 구조적 개질을 통해 함수율을 안정적으로 유지하면서 동시에 향상시킬 수 있음을 보여준다.
따라서 SiGMA-O 렌즈는 기존 Tris 및 SiGMA 렌즈와 비교했을 때 함수율 특성에서 동등 이상의 안정성을 확보했으며, 특히 에스터기 증가에 따른 친수성 향상은 장시간 착용 환경에서의 습윤성과 산소 공급 능력을 뒷받침하는 중요한 요인으로 해석된다. 이러한 특성은 SiGMA-O가 기존 소재 대비 임상적 활용 가능성을 높이는 근거로 작용할 수 있다.
산소투과율: 산소투과율은 콘택트렌즈 착용 시 각막으로의 산소 공급을 평가하는 핵심 지표로, 렌즈 재질 및 함수율과 밀접한 관련이 있다. 본 연구에서 측정한 산소투과율 값은 Figure 4에 나타내었다.
산소투과율 결과, SiGMA-O는 32.46 ± 0.30 Dk/t를 나타내었으며, Tris와 SiGMA는 각각 28.76 ± 1.23 Dk/t, 31.14 ± 0.91 Dk/t이었다. 세 시료 모두 장시간 착용에 요구되는 최소 기준인 24 Dk/t를 충분히 충족하였으며,27,28 세 시료간 차이는 통계적으로 유의하였다(p<0.0001). 또한 사후 검정 결과, 모든 그룹 간 유의한 차이가 확인되었다(p<0.01).
이러한 결과는 SiGMA-O 단량체 구조 변화로 인한 함수율 증가와 관련이 있을 수 있다. 일반적으로 산소투과율은 재료의 실리콘 함량과 수분 함량에 의해 결정되는데, SiGMA-O는 에스터기의 증가로 인해 수분 결합력이 개선되면서 미세한 확산 경로가 확보되었을 가능성이 있다.29,30 이로 인해 산소의 용해와 확산이 Tris 대비 원활해졌으며,31 결과적으로 산소투과성이 향상되는 경향을 보인 것으로 해석된다.
SiGMA-O는 SiGMA 및 Tris와 비교하여 산소투과율에서 유사하거나 더 우수한 성능을 유지하였으며,32 이는 장시간 착용 시 각막 저산소증 발생 위험을 최소화하는 데 기여할 수 있다. 특히 함수율, 접촉각 등 다른 물리적 특성과 함께 고려할 때, SiGMA-O는 기존 소재와 동등 이상의 안정성을 보장하면서 착용감과 산소 공급 측면에서도 개선 가능성을 보여주는 재료로 평가된다.
접촉각:접촉각은 렌즈 표면의 친수성 또는 소수성을 나타내는 지표로, 값이 낮을수록 표면이 친수성이며, 눈물막과 습윤성이 우수하다. 본 연구에서 측정한 정적 접촉각은 Figure 5에 나타내었다.
접촉각 측정 결과, Tris는 114.23 ± 0.29°, SiGMA는 105.25 ± 0.71°, SiGMA-O는 93.44 ± 0.73° 순으로 나타났으며, 세 그룹 간 차이는 통계적으로 유의하였다(p<0.0001). 사후 검정 또한, 모든 그룹 간 유의한 차이가 확인되었다(p<0.01).
접촉각은 낮을수록 표면 친수성이 높고 습윤성이 우수함을 의미하는데, SiGMA-O는 Tris 대비 약 21°, SiGMA 대비 약 12° 낮은 접촉각을 보여 세 시료 중 가장 우수한 표면 친수성을 나타냈다. 이러한 결과는 SiGMA-O의 화학 구조적 특성, 특히 에스터기의 증가에 따른 극성기 도입과 표면 에너지 향상으로 판단된다.33 이로 인해 물 분자와의 상호작용이 강화되고, 렌즈 표면에서 눈물막이 보다 안정적으로 확산될 수 있는 환경이 조성된 것으로 해석된다.
접촉각의 감소는 콘택트렌즈 착용 시 임상적으로 중요한 의미를 갖는다. 높은 표면 친수성은 눈물막의 안정성을 유지시켜 착용 중 건조감과 이물감을 완화하며, 단백질 및 지질의 비특이적 침착을 억제하는 데에도 긍정적으로 작용한다.34 따라서 SiGMA-O는 기존 소재와 비교했을 때 렌즈 표면의 습윤성이 현저히 개선되었음을 확인할 수 있으며, 이는 장시간 착용 시 착용감을 향상시키고 각막 표면 건강 유지에 유리한 특성이다.35
결과적으로, SiGMA-O 콘택트렌즈는 기존 Tris 및 SiGMA 소재와 비교하여 뚜렷하게 개선된 친수성 개선을 보여주었으며, 이러한 특성은 함수율과 산소투과율의 결과가 신규 단량체가 광학적 안정성을 유지하면서 물리·화학적 특성을 향상시킬 수 있음을 확인된다.
굴절률: 굴절률은 콘택트렌즈 소재의 빛 굴절 성능을 결정하는 핵심 광학 특성으로 렌즈 수화 상태 및 고분자 밀도와 밀접한 관련이 있다. 본 연구에서 측정한 굴절률 결과는 Figure 6에 제시하였다.
굴절률 측정 결과, SiGMA-O는 1.4082 ± 0.0004을 나타내었으며, Tris 및 SiGMA는 각각 1.4361 ± 0.0018, 1.4290 ± 0.0009로 확인되었다. 세 그룹 간 굴절률 차이는 통계적으로 유의하였다(p<0.0001). 사후 검정에서도 세 그룹 간 유의한 차이가 나타났다(p<0.01).
이는 수분 함량 증가에 따라 굴절률이 감소하는 것으로 알려진 일반적 하이드로젤 특성과 일치한다.36 SiGMA-O는 기존 실리콘 단량체 대비 구조적 극성기가 증가함에 따라 수화도가 향상되었으며, 이로 인한 굴절률 감소는 고함수율 실리콘 하이드로젤에서 관찰되는 전형적인 광학적 결과로 확인된다.
콘택트렌즈의 단백질 흡착성. 단백질 흡착은 렌즈 표면의 청결 유지와 장시간 착용 안정성에 직접적인 영향을 주는 지표이다. 일반적으로 표면 친수성이 낮고 소수성이 강할수록 단백질이 쉽게 흡착되는 경향이 있으며, 이는 시력 저하와 불편감, 염증 반응을 유발할 수 있다.37 본 연구에서 측정한 단백질 흡착량은 Figure 7에 제시했다.
단백질 흡착량 결과, Tris는 1.26 ± 0.11 mg/g, SiGMA는 11.09 ± 0.03 mg/g, SiGMA-O는 3.20 ± 0.26 mg/g으로 나타났다. 통계 분석 결과, 세 시료 모두에서 유의한 차이가 관찰되었으며(p<0.0001), 사후 검정에서도 세 그룹 간 유의한 차이가 나타났다(p<0.01).
Figure 5에서 가장 높은 접촉각을 보였던 Tris 렌즈가 세 시료중 가장 낮은 단백질 흡착량을 나타내어, 소수성이 증가할수록 단백질 흡착이 증가한다는 일반적인 보고와는 상반된 결과를 보였다. 이러한 현상은 단순한 표면 외에도 소재의 화학구조, 표면 전하, 친수성 단량체의 분포, 그리고 수화층 안정성 등 복합적 요인이 단백질 흡착에 영향을 미친 결과로 해석된다.
Jones 등은 실리콘 하이드로젤 렌즈에서 단백질 흡착이 전통적인 하이드로젤보다 적지만, 단백질 변성 정도는 오히려 높다고 보고하며, 흡착 거동이 단순한 소수성 재료 조성과 표면 화학적 특성에 크게 의존함을 제시하였다.23
Van Beek 등은 히알루론산이 포함된 하이드로젤에서 단백질 흡착이 수화층 안정화에 의해 억제된다고 설명하였다.1 Zhang은 confocal microscopy를 이용하여 단백질의 침투 깊이와 분포가 소재의 친수성, 이온성, 표면 처리 상태에 따라 달라진다고 보고하여, 단백질 흡착이 단순한 소수성보다는 복합적 요인에 좌우됨을 시각적으로 입증하였다.38
따라서 본 연구에서 관찰된 Tris의 낮은 단백질 흡착 결과는 소수성 크기보다는 Si-O-Si 결합에 의한 부분적 수화 경계층 형성, 전하 분포 및 표면 에너지 균형의 복합적 작용으로 해석된다. 이러한 결과는 실리콘 렌즈의 단백질 흡착이 단순한 표면 친수성 지표보다 소재의 분자 구조와 표면 전하 특성의 복합 영향을 받는다는 기존 보고들과 일치한다.
또한, SiGMA-O 렌즈는 기존 SiGMA 대비 약 3배 이상 낮은 값을 보여 단백질 비특이적 결합이 크게 억제되었음을 확인할 수 있었다. 이러한 결과는 접촉각 결과와 밀접하게 연관되며, SiGMA-O의 에스터기 증가로 인한 극성기 도입이 표면 수분층을 안정화시켜 단백질의 직접적인 흡착을 차단한 것으로 해석된다.39 이는 SiGMA-O가 장시간 착용 시 단백질 짐착에 따른 불편감과 염증 반응을 최소화하고, 렌즈의 시각적 생체적·안정성을 유지하는데 유리한 소재임을 확인할 수 있다.
|
Figure 1 (a) 1H NMR; (b) 13C NMR of SiGMA-O. |
|
Figure 2 Transmittance of silicone hydrogel contact lenses. |
|
Figure 3 Water contents of silicone hydrogel contact lenses. |
|
Figure 4 Oxygen Transmissibility of silicone hydrogel contact lenses. |
|
Figure 5 Contact angle of silicone hydrogel contact lenses. |
|
Figure 6 Refractive index of silicone hydrogel contact lenses. |
|
Figure 7 Protein adsorption of silicone hydrogel contact lenses. |
신규 단량체인 SiGMA-O를 합성하여 콘택트렌즈로 제작하고, 기존 Tris 및 SiGMA 기반 렌즈와의 특성을 비교하였다. SiGMA-O 기반 렌즈는 높은 함수율과 산소투과율을 확보하여 착용 편의성과 각막 대사에 유리한 특성을 보였다. 특히 접촉각 감소와 단백질 흡착 억제에서 뚜렷한 개선 효과가 나타나 표면 친수성과 단백질 항부착성이 크게 향상되었다. 따라서 SiGMA-O가 기존 소재 대비 안정적인 광학 특성을 유지하면서도 물리·화학적 성능이 향상되었으며 실리콘 하이드로젤 콘택트렌즈 소재로서 활용 가능함을 확인하였다.
This Article2026; 50(2): 253-260
Published online Mar 25, 2026
Services
Correspondence toDepartment of Optometry and Vision Science, Daegu Catholic University, Gyeongbuk 38430, Korea
*Chunma College of General Studies, Yeungnam University, Gyeongbuk 38541, Korea