
Jea Hyun Kim# , Hyunsoo Kim# , Yu Jin Jeong# , and Heon Sang Lee† 
Department of Chemical Engineering, Dong-A University Busan 49315, Korea
동아대학교 화학공학과
Reproduction, stored in a retrieval system, or transmitted in any form of any part of this publication is permitted only by written permission from the Polymer Society of Korea.
Extensional flow occurs in channels with decreasing diameters and in biological systems, playing a key role in spraying, printing, and fiber spinning. To understand these processes, studying low-viscosity fluids such as polymer solutions and biofluids is essential. The steady-state extensional viscosity and finite extensionable nonlinear elastic (FENE) constant of aqueous PEO solutions measured using a differential pressure extensional rheometer (DPER) made of PDMS were influenced by the temporary extension of polymer chains due to hydrogen bonding between terminal groups in semi-dilute solutions. In this study, the extensional viscosity and finite extensionable nonlinear elastic (FENE) constant were measured for dilute and semi-dilute solutions using a nonpolar polymer and solvent system, where such transient extension effects were absent. To handle organic solvents like toluene, a chemically resistant thermosetting resin microfluidic device was fabricated, overcoming the limitations of PDMS channels. The steady-state extensional viscosity of the PS/toluene solution was successfully measured. This method enables future micro viscosity measurements for various chemicals and advances the study of extensional flow.
인장흐름은 스프레이, 프린팅, 섬유방사공정 등에서 핵심적이다. 이를 이해하기 위해 고분자 용액·나노유체·생체유체 등의 저점도 유체 연구가 필수적이다. 기존 dripping onto substrate(DoS), filament stretching extensional rheometer(FSR), capillary breakup extensional rheometer(CaBER) 등 capillary thinning법은 전이상태 인장점도 측정에 유리하지만 정상상태 측정은 어렵다. PDMS로 제작된 차압식 인장레오미터(DPER)를 이용해 측정한 PEO 수용액의 정상상태 인장점도와 finite extensionable nonlinear elastic(FENE) 상수는 말단기의 수소결합에 고분자체인의 일시적 연장에 의한 영향이 준묽은 용액에서 관찰되었으며, 본 연구에서는 비극성 고분자와 용매를 이용해 일시적 연장이 없는 상태에서 묽은 용액과 준묽은 용액의 인장점도 및 FENE 상수를 측정하였다. 이를 위해 톨루엔에 대한 내화학성이 높은 열경화성 수지로 미세유체장치를 제작하고 PS-톨루엔 용액의 정상상태 인장점도를 측정했다. 본 장치는 다양한 용매에 적용 가능해 향후 여러 화학물질의 미세점도 측정에 활용될 수 있다.
Extensional viscosity of polystyrene (PS)/toluene solutions was measured using a chemically resistant microfluidic DPER under constant extensional rates. The method enables steady-state extensional rheology of low-viscosity fluids beyond water-based systems.

Keywords: extensional viscosity, differential pressure extensional rheometer, Giesekus-Leonov model, finite extensionable nonlinear elastic, microchannel.
본 연구는 동아대학교 지원으로 이루어졌음.
저자들은 이해상충이 없음을 선언합니다.
저점도 유체의 인장점도 측정은 오랜기간 동안 혈액과 같은 생체유체, 프린팅, 코팅 및 스프레이 등 응용 분야에서 지속적인 관심을 받았다.1-3 그러나 전단흐름과 달리 일정한 인장속도에서 완전히 발달된 인장흐름을 구성하는 것이 매우 어렵다.1-3 정상상태의 전단점도는 산업 및 학술연구에서 중요하고 널리 측정된 유체의 특성이다.1-3 전단 점도는 다양한 회전형 레오미터를 이용하여 일정한 전단속도에서 완전히 발달된 흐름을 생성하고 유지할 수 있다.1-3 그리고 모세관 레오미터를 이용하면 벽의 전단율로 완전히 발달된 흐름을 생성할 수 있다.1-3
인장점도를 측정하기 위해서는 두 가지 방법이 있다. 먼저 하나는 Lee그룹에서 설계하고 제작한 차압식 인장 레오미터 (differential pressure extensional rheometer, DPER)가 있다.1-3 DPER는 인장속도의 측정 범위가 넓고 같은 인장속도를 장기간 일정하게 유지할 수 있다. 단 기하학적 효과를 제거하기 위해 여러 수축 채널들의 실험이 필요하고 적절한 구성 방정식이 필요하다.1-3 또 다른 하나는 capillary thinning 방법에 기초한 filament stretching extensional rheometer(FSR),4-7 capillary breakup extensional rheometer(CaBER),8-12 dripping onto substrate(DoS)13-22등이 있다. 먼저 FSR은 두 판 사이의 샘플 유체를 늘려서 측정하는 방법이다. 이 방법은 긴 완화시간과 높은 전단점도가 필요해 저점도 유체에는 적합하지 않다.4-7 CaBER 및 DoS는 저점도 유체의 인장점도 측정에 널리 사용되고 있다. CaBER와 DoS는 한방울의 용액만 필요하다는 장점이 있지만 인장속도의 측정 가능 범위가 제한되어 있고 인장속도가 인장흐름 동안 일정하지 않아 완전히 발달된 흐름을 유지할 수 없다.8-17 본 연구에서는 Lee그룹에서 설계하고 제작한 DPER를 사용하여 인장점도를 측정할 것이다.1-3
유체요소가 수축채널을 지나갈 때 낮은 인장속도(낮은 Weissenberg 수, Wi = ε̇λ)에서는 수직응력이 정상상태에 도달하지만 높은 Wi에서는 정상상태에 도달하지 못한다.1-3 정상상태에 도달하기 위해서는 유체요소의 체류시간(tobs = εH/ε̇, εH는 Hencky strain, ε̇는 인장속도)을 고려한 보정이 요구된다.1-3
선형고분자 용액의 3영역 유동 거동은 여러 이론들을 통해 잘 예측된다.1-3,23-29 낮은 인장속도에서 인장점도는 표준연속체 이론에 의해 제로전단점도(h0, zero-shear viscosity)의 3배에 가까운 값을 갖는다.1-3,23,24 중간 인장속도에서는 Oldroyd-B 모델에 의해 예측된 바와 같이 1/2λE(λE, 인장완화시간)의 인장속도에서 extensional thickening이 발생한다.1-3,26 높은 인장속도에서는 finite extensionable nonlinear elastic(FENE) 또는 기제쿠스-레오노프 모델(Giesekus-Leonov model, G-L 모델)에서 잘 예측된다.1-3,27-29
본 연구는 DPER을 이용하여 polystyrene/toluene 용액의 정상상태 인장점도를 측정하였다. 앞서 연구된 폴리에틸렌 옥사이드(poly(ethylene oxide), PEO) 용액의 -OH 작용기에 의한 고분자 체인의 일시적 연장에 의한 영향 때문에, FENE 상수가 묽은 용액에서의 값보다 준-묽은 용액에서 10배 크게 관찰되었다. 본 연구에서는 수소결합 등에 의한 고분자체인의 일시적 연장을 제거하기 위해, 비극성 고분자인 폴리스티렌과 비극성 용매인 톨루엔 이용하여 인장점도 및 FENE 상수를 측정하였다.
기존 PDMS기반 채널은 설계가 용이해 주로 사용되지만 톨루엔, 헥산 등 비극성 용매에 내화학성이 약해 팽윤 및 변형이 발생할 수 있어 사용하기 어렵다.30,31 이를 위해 내화학성이 우수한 액정 에폭시 수지를 이용해 채널을 제작하여 구조적 변형을 방지하였다.
이론적 배경. 선형 맥스웰 모델(Linear Maxwell Model): 선형 멕스웰 모델은 전단흐름에서 발생하는 점성과 탄성에 대해 설명할 수 있다.32 점성은 응력을 주었을 때 유체가 흐르는 성질에 대한 저항이라고 할 수 있다. 외부의 응력을 통해 변형을 주고난 후 응력을 제거하였을 때 다시 되돌아가지 않는 것을 점성이라고 하고 이는 대쉬포트로 정의된다.32 탄성은 응력을 주었을 때 응력을 저장하고 있다가 되돌아 가는 성질을 말한다.32 이는 스프링으로 정의된다. 선형 멕스웰 모델은 대쉬포트와 스프링이 일렬로 연결되어 있다. 전체변형율(γ)은 대쉬포트(γD)의 변형율과 스프링(γS)의 변형율의 합과 같다.32 대쉬포트는 뉴턴의 법칙, 스프링은 훅의 법칙을 따른다고 가정하고 점도 및 탄성율의 비를 완화시간(relaxation time)이라고 정의하면 아래의 식 (1)을 얻을 수 있다.32

9개의 응력성분에 대해 멕스웰 모델을 적용하면 아래의 식(2)으로 나타낸다.32

위의 식 (2)을 위쪽 대류 미분으로 아래의 식으로 나타낸다.32

제프리 모델: 대쉬포트와 스프링이 직렬로 연결된 모델을 멕스웰 모델이라고 하고 병렬로 연결된 모델을 캘빈 모델이라고 한다.26,32 고분자용액에서 멕스웰 모델은 선형고분자에 가깝고 캘빈 모델은 가교가 되어 고무와 같은 성질에 가깝다.26,30 제프리 모델은 멕스웰 모델과 캘빈 모델을 혼합한 것으로 가장 일반적으로 적용되는 모델이다.26,32 제프리 모델은 아래의 식 (5)과 같이 나타낸다.26,32

올드로이드 비이 모델(Oldroyd-B Model): 제프리 모델의 시간미분에 위쪽대류미분(올드로이드 미분)을 적용하면 올드로이드 비이 모델이 된다.1-3,26,32 올드로이드 비이 모델을 유체의 전단 및 인장 흐름을 간단히 기술할 수 있는 구성방정식이다.1-3,26,30 올드로이드 비이 모델에 따르면 인장점도를 아래의 식 (6)과 같이 나타낼 수 있다.

위의 식에 따르면 인장속도가 0에 가까워지면 제로전단점도의 3배가 되는 것을 알 수 있다.32 이 3배를 트라우톤의 비(Trouton ratio)라고 한다.32
기제쿠스-레오노프 모델(Giesekus-Leonov Model): 올드로이드 비이 모델을 통해 인장점도를 나타낼 수 있다. 하지만 분모의 (1/2λ1ε̇)항이 포함되어 있기 때문에 인장속도가 (1/2)λ1에 가까워지게 되는 경우 이 항은 0에 가까워지게 되어 인장점도가 무한대로 발산하게 된다.1-3,26,32 이는 물리적으로 불가능한 경우이다. 이러한 발산 문제를 해결하기 위해 유한 인장 비선형 탄성 모델(finitely extensible nonlinear elastic model)과 기제쿠스-레오노프 모델이 제안되었다. 기제쿠스-레오노프 모델은 아래의 식 (7)으로 나타낼 수 있다.1-3,28-32

위 식에서 α는 상수로써 0과 1 사이의 값을 갖는 경우 고분자가 유한하게 늘어날 수 있는 길이를 의미하게 된다.2,3,30 본 연구에서는 인장완화시간분포 대신 단일완화시간을 사용한 단일-모드 기제쿠스-레오노프 모델(single-mode Giesekus-Leonov model, SMGL)을 사용하였고 이를 통해 유체요소의 체류시간을 고려한 정상상태의 인장점도를 측정하였다.1-3
재료. 본 연구에서 사용한 폴리스티렌(polystyrene, PS, Agilent Technologies)은 Mp = 6570000 Mw/Mn = 1.05이다. 폴리에틸렌 옥사이드(Poly ethylene oxide, PEO, Sigma-Aldrich)는 Mv ~ 2000000이다.
PDMS 음각 미세채널 제작. 미세채널은 먼저 폴리디메틸실록산(polydimethylsiloxane, PDMS)를 사용해 제작하였다. PDMS는 한국다우케미칼실리콘(주)에서 구입한 경화제 (Sylgard 184 B)와 주제(Sylgard 184 A)를 사용하였다. 미세채널은 Figure 1과 같이 UV 리소그래피 공정을 통해 제작하였다. 먼저 Dupont사에서 구입한 포토레지스트필름(Negative type, GM120)을 실리콘 웨이퍼에 두께 150 μm 로 부착하고 라미네이터(ProLam Ultra, AKILES)를 이용하여 온도 120 ℃에서 Speed 6으로 래미네이션 하였다. 실리콘 웨이퍼에 포토 레지스트 필름을 부착한 후 위에 채널을 디자인한 마스크를 올려 365 nm의 UV를 15 분간 처리하였다. UV 처리로 경화되지 않은 부분을 없애기 위해 10 g/L위 K2CO3 용액을 사용하여 녹였다. 경화되지 않은 부분을 다 녹여낸 뒤 증류수로 씻어내고 상온에서 하루 동안 건조시켰다. PDMS는 경화제와 주제를 1:10 비율로 혼합하였다. 혼합된 PDMS는 기포를 제거하기 위해 desiccator를 사용하였다. UV 리소그래피 공정으로 제작된 실리콘웨이퍼 마스터 위에 기포가 제거된 PDMS를 붓고 70 ℃ 오븐에서 5.5시간 동안 경화시켰다. 경화된 PDMS를 떼어내면 미세채널이 새겨진 PDMS가 제작된다.
PDMS 양각 미세채널 제작. 양각 미세채널 PDMS는 Figure 2와 같이 제작된다. 먼저 미세채널이 새겨진 양각 PDMS를 만들기 위해 앞에 제작한 미세채널이 새겨진 음각 PDMS를 코팅하여야 한다. JUNSEI사에서 구입한 폴리바이닐 알코올 500(Polyvinyl alcohol 500, PVA)을 사용하여 PVA 0.1 wt% 코팅액을 제조한다. PDMS의 음각 미세채널이 새겨진 부분의 표면을 플라즈마 처리한다. 플라즈마 처리된 표면에 PVA 0.1 wt% 코팅액을 유리막대를 사용하여 발라주고 드라이기로 표면을 건조시킨다. PDMS 주제와 경화제를 혼합하여 코팅된 미세채널 음각 PDMS에 붓고 70 ℃ 오븐에서 5.5 시간 동안 경화시킨다. 경화된 PDMS를 떼어내고 PVA를 물에 씻겨주고 건조시킨다. 양각 PDMS가 완성된다.
에폭시 미세채널 제작. 에폭시는 국도화학에서 구입한 주제(YD-128)와 경화제(KH-816)를 사용하였다. 에폭시는 주제 및 경화제를 2:1 비율로 혼합하였다. 먼저 양각 미세채널 PDMS에 혼합한 에폭시를 붓고 드라이기를 이용하여 기포를 제거한다. 기포가 제거되면 오븐에서 50 ℃에 24 시간 경화시킨다. 경화된 에폭시를 PDMS에서 떼어낸다. Figure 3에 나타낸 것과 같이 에폭시 미세채널이 만들어진다. 줄톱을 사용하여 미세채널의 크기에 맞게 에폭시를 자른다. 유체의 입구와 출구에 튜브를 꽂기 위해 미니드릴을 사용해 1.5 mm 구경의 구멍을 뚫어준다. 원형 페트리 디쉬(직경 50 mm)에 혼합된 에폭시 3 g을 붓고 50 ℃에서 2시간 경화시킨다. 에폭시를 부어놓은 페트리 디쉬에 제작한 에폭시 미세체널을 붙인 뒤 50 ℃에서 24시간 경화시킨다. 테프론 튜브는 내경 1.0 mm, 외경 1.5 mm을 사용하여 구멍에 끼운다. 튜브에 연결된 니들은 외경 1.0 mm의 공업용 메탈 90° 커팅 니들 25 mm를 사용하였다.
전단점도 측정. PEO를 증류수에 녹여 0.5 wt% 용액으로 만든다. PS를 톨루엔을 용매로 하여 0.03, 0.1, 0.3, 0.5, 1, 1.2 및 2 wt% 용액으로 만든다. 각 용액들의 전단속도(shear rate)에 따른 전단점도(shear viscosity)를 측정한다. 측정 기기는 회전형 레오미터(TA instruments, AR-G2)를 사용하였으
며 plate는 cone & plate를 사용하였다. 용액의 양은 마이크로 피펫을 사용하여 0.67 mL를 일정하게 사용하였다. 샘플과 peltier의 간격(Truncation gap)은 52 μm로 하였으며 용매의 기화를 막기 위해 solvent trap을 사용하였다. 모든 용액들의 온도는 20℃에서 측정하였다. 전단속도는 1-700 s-1까지 측정하였고, 각각의 전단 속도를 1 분 동안 측정하여 점도 변화를 관찰하였다.
인장점도 측정. 정상상태의 인장점도를 측정하기 위해 DPER를 사용하여 측정하였다. DPER는 직선 채널과 수축 채널로 구성되어 있으며 두 채널의 압력강하 차이를 측정하였다. 수축 채널은 2가지의 수축비(contraction ratio, CR)를 가지는 채널을 사용하였으며 사용된 채널의 수축비는 각각 5와 7이다. 각각의 Hencky strain(εH = ln(W0/WC)은 각각 1.59, 1.95 이다. 채널의 크기는 Table 1에 정리 되어있으며 모든 채널의 높이(H)는 130 μm이며, W0는 500 μm, 수축채널의 수축영역의 입구와 출구 사이의 거리는 (2LC)는 1000 μm로 모두 동일하다. 직선채널과 수축채널의 압력강하 차이는 OMEGA 사의 차압 압력 트랜스듀서 PX409를 사용하였다. 차압 압력 트랜스듀서는 0-2500 Pa의 압력범위까지 측정가능하며, 2 Pa (0.08%)의 정밀도를 가지고 있다. PS 및 PEO 용액의 유량(직선채널 및 수축채널)은 실린지 펌프(New Era, NE-1600)를 사용하였다. DPER의 수축채널에서 인장속도는 아래의 식 (8)으로 계산된다.

소스미터는 Keithley 2400를 사용하였고 측정장치는 semiconductor 4145B를 사용하여 차압 압력 트렌스듀서를 작동시키고 측정값을 읽었다.
|
Figure 1 PDMS microchannel fabrication using ultraviolet lithography process. |
|
Figure 2 Fabrication of embossed microchannel. |
|
Figure 3 Microchannels made of epoxy |
Poly(ethylene oxide) 용액의 인장점도. 제작한 에폭시 미세채널이 사용가능한지 확인하기 위해 먼저 PEO 0.5 wt% 용액의 인장점도를 측정하였다. Figure 4(a)는 에폭시 채널로 인장점도를 측정한 것이다. 낮은 인장속도에서 인장점도는 제로전단점도의 3배(일축인장흐름) 또는 4배(채널흐름)로 예상된다.33,34 측정된 인장점도는 예상보다 훨씬 크게 측정된 것을 볼 수 있다.2,3,35,36 이는 채널의 기하학적 효과(geometric effect) 때문이다. 이를 보정하기 위하여 순수 인장점도와 측정된 정상상태 인장점도의 비인 β를 사용하였다.2,3

측정된 인장점도 결과를 통해 β0와 δ를 결정하였다. Figure 4(b)는 결정된 β를 사용하여 기하학적 효과(geometric effect)를 보정한 인장응력이다. 정상상태의 응력을 구해주기 위해서는 채널 내 유체요소의 체류시간을 고려해야한다.2,3 정상상태의 응력과 측정된 공간평균응력의 비를 RS라고 정의하고 RS를 이용하여 Figure 4(c)에 보정된 응력을 나타내었다. 이를 통해 구해진 정상상태의 인장점도를 기제쿠스-레오노프 단일모드와 비교하였고 이가 잘 일치함을 Figure 4(d)를 통해 확인할 수 있다. 이로써 에폭시 미세채널이 잘 제작되었음을 확인할 수 있다.
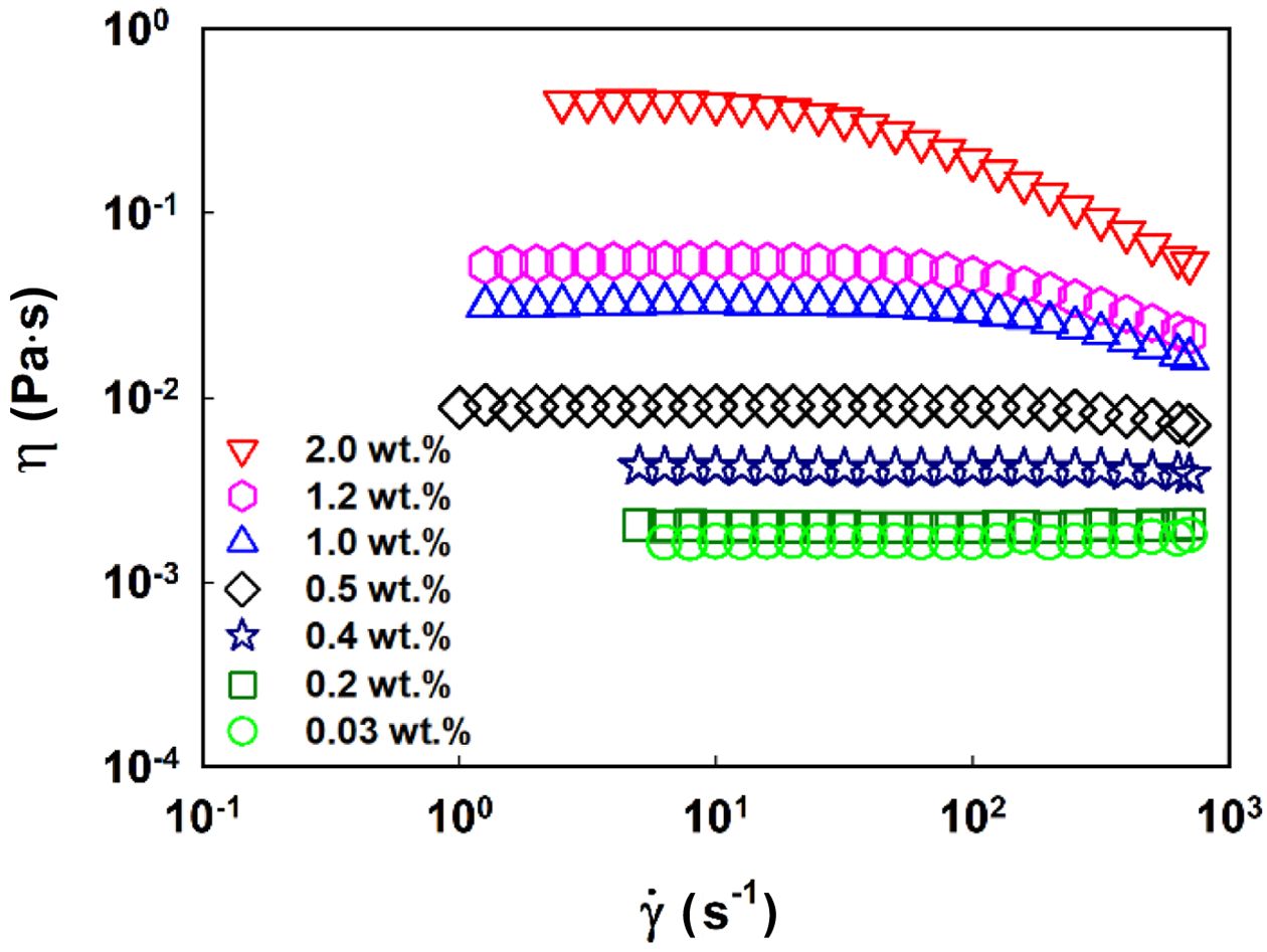
Polystyrene/Toluene 용액의 인장점도. 본 연구에서 정상상태 인장 점도의 측정에 사용한 PS/toluene 용액은 Mp= 6570000 Mw/Mn=1.05의 0.1, 0.4 및 1 wt%이다. cone & plate를 이용하여 0.03, 0.1, 0.4, 0.5, 1.0, 1.2 및 2.0 wt%의 전단 점도를 측정하였다. 각 용액의 측정된 제로전단점도(h0, zero-shear viscosity)는 각각 0.00165, 0.00201, 0.00519, 0.00898, 0.03132, 0.05507 및 0.4034 Pa·s이고 Carreau Equation을 통해 겉보기 전단완화시간(λs, apparent shear relaxation time)을 구하였다.2,3 아래의 식 (10)은 Carreau Equation이다.2,3 식 (10)에서 지수 l은 0.4, 0.5, 1.0, 1.2 및 2.0 wt%에서 각각 0.003, 0.004, 0.006, 0.01 및 0.029를 가짐을 확인하였다. 용액의 농도별 제로전단점도와 전단완화시간 및 지수들을 Table 2에 정리하였다.

Figure 5에 cone & plate로 측정된 농도별 전단점도를 나타냈다. 앞서 사용한 PEO 0.5 wt%의 제로전단점도가 0.023 Pa·s이고 겉보기 전단완화시간이 0.014 s이다. DPER로 측정할 때 비슷한 인장속도 범위에서 측정하기 위해 이와 가장 비슷한 제로전단점도를 가진 PS 6.5M 1 wt% 용액을 선정하였다.1-3
PS/toluene 용액은 농도에 따라 묽은 용액(dilute), 준-묽은 용액(semi-dilute), concentrated 용액으로 나뉜다.37,38
본 연구에서 사용된 0.1 wt% 용액은 overlap과 얽힘 (entanglement)이 없는 묽은 용액이고 0.4, 1 wt% 용액은 준-묽은 용액으로써 overlap이 되었지만 얽힘이 없는 용액이다.37,38
DPER는 직선채널과 수축채널 사이의 압력차이(differential pressure)를 측정하는 것이다.1-3 먼저 PS/toluene 1 wt% 용액을 DPER로 수축채널의 수축영역에서 압력강하(∆PC)를 측정하였다. COMSOL Multiphysics를 이용해서 수축 영역에서 발생하는 전단압력강하(∆PV)를 계산하였다. COMSOL Multiphysics를 계산할 때 실험에 사용한 채널의 크기와 Carreau Equation을 사용하여 전단압력강하(∆PV)를 구하였다. 수축 영역의 인장흐름에 의한 압력강하(∆PN)은 아래의 식 (11)을 변형하여 구하였고 Figure 6에 나타내었다.1

Lee의 이론에 따르면 DPER를 사용하여 측정된 인장압력강하(∆PN)를 Hencky strain(εH = ln(W0/Wc))으로 나누면 측정된 공간평균응력(<σN>SP)을 구할 수 있다.1

공간평균응력(<σN>SP)을 인장속도(ε̇)로 나누게 되면 채널에서 측정된 인장점도(ηE)를 구할 수 있다.1

Figure 7(a)은 채널에서 측정된 PS/toluene 1 wt% 용액의 인장점도(ηE)를 나타낸 것이다. 측정된 인장응력(<σN>SP)은 채널의 기하학적 효과(geometric effect)때문에 예상보다 크게 측정되어 식 (9)를 사용하여 보정한다. Figure 7(b)은 β를 사용하여 보정된 인장응력이다.
단일-모드 기제쿠스-레오노프 모델(SMGL, Single mode Giesekus-Leonov model)은 단일완화시간을 적용한다.2,3 Lee의 논문에 따르면 측정된 인장응력(<σN>SP)은 β를 사용해 보정되지만 유체요소의 체류시간을 고려하여 RS로 보정해야 정상상태의 인장점도를 구할 수 있다.2,3 SMGL 모델은 a 및 인장완화시간(λE)을 통해 RS를 결정할 수 있다. 인장완화시간(λE)은 전단완화시간(λS)과 비슷하거나 같다. Figure 7(c)와 같이 RS를 결정하기 위해 2가지 수축채널에서 측정한 실험값의 표준편차인 standard deviation가 일정하다 급격히 변화하는 값을 가지는 a로 결정하였다.35,39,40 PS/toluene 1 wt% 용액의 a 값은 0.0065로 결정된다. 이로부터 Figure 7(d)와 같이 정상상태의 인장응력을 나타낼 수 있다. 보정된 정상상태의 인장응력을 통해 Figure 8과 같이 정상상태의 인장점도를 나타낼 수 있고 SMGL 모델과 실험값이 잘 일치함을 확인할 수 있다.
고분자 체인의 유한 인장성인 finite extensibility은 분자량, 농도, overlap되는 정도 및 체인 간의 얽힘 등과 관련이 있을 수 있다.3 단순 비드-스프링 모델의 FENE 상수 b는 N 개의 비드-스프링으로 구성된 전체 시스템의 인장성을 나타낼 수 있다.1-3,32 FENE-P 모델의 경우 b = [(N/2)(b0+3)-3] 및 b0 = HQ02/kT이다.1-3,32 여기서 H는 스프링 상수이고 Q0는 둘 사이의 가장 큰 연결 벡터이다.1-3,32 FENE 상수 b는 G-L 모델의 a와 관련이 있다.1-3,32 b = 1/a-3으로 설정하였을 때 G-L 모델과 정상상태 인장점도의 계산결과가 일치한다.1-3,32 앞에서 PS/toluene 용액 1 wt% 용액의 기제쿠스 parameter a를 구하였다. 농도의존성을 확인하기 위해 준-묽은 용액인 0.4 wt%와 묽은 용액인 0.1 wt%를 추가로 사용하였다. 0.4, 0.1 wt% 용액의 a값은 0.0065로 결정되었다. Figure 8에 PS/toluene 용액 0.4, 0.1 wt%의 측정한 실험값과 SMGL 모델이 잘 일치함을 나타냈다. 실험에서 사용한 모든 용액의 측정된 정상상태의 인장점도값이 이론값과 잘 일치함을 알 수 있다. PS/toluene 용액의 농도별 FENE 상수 b를 Table 3에 나타냈다. 이로써 준-묽은 용액과 묽은 용액의 FENE 상수가 같음을 확인하고 농도의존성이 없음을 알 수 있다. FENE 상수와 LC/Req [contour length(LC = aNT) 및 평형상태의 end to end 거리(Req = aNTv)의 비]는 비슷한 결과를 보여야한다.1-3 Table 3에 보면 PS/toluene 용액의 b값은 150.846이고 LC/Req는 95가 나왔다. 다른 분자량의 PS/toluene 용액의 실험도 필요할 것으로 보인다.
앞서 연구된 PDMS 기반 채널로 실험한 PEO의 경우 묽은 용액에서 FENE 상수 b는 47, 준-묽은 용액의 FENE 상수 b는 482로 10.3배의 차이를 보였지만 본 연구에서는 비극성고분자인 폴리스티렌을 톨루엔에 녹여 묽은, 준-묽은 용액에 대해 FENE 상수 b를 구하였을 때 150.846으로 일정한 것을 알 수 있다. 이를 통해 PEO 용액에서의 FENE 상수의 차이는 농도의 영향이 아닌 수소결합에 의한 -OH기의 일시적인 연장의 영향인 것을 확인하였다.
|
Figure 4 a) Measured extensional viscosity, ηE , with respect to ε̇ in the DPERs. Poly(ehtylene oxide) (PEO) 2M 0.5 wt%; (b) The corrected extensional stress, <σN>SP β-1, with respect to ε̇ in the DPERs. Poly(ehtylene oxide) (PEO) 2M 0.5 wt%; (c) Steady-State extensional Stress, <σN>SP β-1RS -1, with respect to ε̇ in the DPERs. Poly(ehtylene oxide) (PEO) 2M 0.5 wt%; (d) Steady-state extensional viscosity of solution PEO 2M 0.5 wt% solution. |
|
Figure 5 Shear Viscosity by Concentration of PS/toluene Measured with Cone & Plate and Carreau Equation. |
|
Figure 6 Extensional pressure drop in the converging channel, ∆PN, 1 wt% PS/toluene solution. |
|
Figure 7 (a) Measured extensional viscosity, ηE , with respect to ε̇ in the DPERs. 1 wt.% PS/toluene solution; (b) The corrected extensional stress, <σN>SP β-1, with respect to ε̇ in the DPERs. 1 wt% PS/ toluene solution; (c) Steady-state extended viscosity calculation using SMGL model. SD versus α. 1 wt% PS/toluene solution; (d) SteadyState extensional Stress, <σN>SP β-1RS -1, with respect to ε̇ in the DPERs. 1 wt% PS/toluene solution. |
|
Figure 8 Steady-State extensional viscosity of 0.1, 0.4 and 1 wt% PS/toluene solution. |
|
Table 2 Zero Shear Viscosity and Apparent Shear Relaxation Time of PS/Toluene Solution by Concentration |
|
Table 3 The Relaxation Time, α of Giesekus-Leonov Model and FENE Constant b of 0.1, 0.4, 1 wt% PS/Toluene Solution |
본 연구에서는 내화학성이 우수한 열경화성 에폭시 수지를 이용한 미세채널을 제작하였으며, 이를 통해 묽은 및 준-묽은 폴리스티렌(PS)/톨루엔 용액의 인장점도를 성공적으로 측정하였으며 FENE 상수 b가 농도의존성이 없는 것을 확인하여 앞선 연구에서의 PEO 용액에서 준-묽은 용액이 묽은 용액 대비 FENE 상수 b가 10배가 큰 것은 농도의 영향이 아닌 수소결합에 의한 -OH기의 일시적인 영향인 것을 확인하였다. 측정된 인장점도는 단일모드 기제쿠스-레오노프 모델과 잘 일치하였으며, 이를 통해 DPER 방식이 저점도 고분자 용액의 인장 유변학적 특성 분석에 적용 가능함을 확인하였다. 향후에는 본 장치를 이용하여 다양한 고분자 용액 및 반응성 용매계의 인장점도를 정량적으로 분석하는데 활용될 수 있을 것으로 기대된다.
This Article2026; 50(2): 315-322
Published online Mar 25, 2026
Services
Correspondence toDepartment of Chemical Engineering, Dong-A University Busan 49315, Korea