
Division of Chemical Engineering, Dankook University, 126, Jukjeon-dong, Suji-gu, Gyeonggi-do, 16890, Korea
단국대학교 화학공학과
Reproduction, stored in a retrieval system, or transmitted in any form of any part of this publication is permitted only by written permission from the Polymer Society of Korea.
The structural analysis, thermal and mechanical properties, and morphology of outdoor silicone rubber-modified epoxy/clay nanocomposites with various nanoclays were investigated using XRD, TEM, TGA, DMA, UTM, impact tester, and SEM. Nanocomposites were prepared by reacting cycloaliphatic epoxy resin with silicone rubber containing an amine group and an anhydrous curing agent, and then mixing them with nanoclay. All properties increased when a small amount of nanoclay was added to the epoxy resin. The results of structural analysis showed that the nanocomposite using 20A (hereafter C20A) had the best exfoliation state, and the ash content and thermal stability (IPDT) in TGA were excellent in the order of C30B > C20A. In dynamic mechanical analysis (DMA), the storage modulus (E') was the highest for C20A @ C10A below Tg. The flexural strength and elastic modulus were the highest for C30B, whereas the flexural elongation at break and impact strength were the highest for C20A. There was no significant difference in mechanical and thermal properties according to the type of nanoclay, but among them, C20A showed excellent balance in heat resistance, mechanical flexibility, and impact strength. The morphology observation results showed that a rough surface was created when the nanocomposite was fractured, which absorbed the impact energy. Therefore, it is thought that by adding a small amount of 20A nanoclay to an outdoor silicone rubber-modified alicyclic epoxy resin, an epoxy composite with excellent weather resistance as well as improved thermal and mechanical properties can be manufactured.
여러 가지 나노클레이에 대해 옥외용 실리콘 고무 개질 에폭시/클레이 나노복합체의 구조분석, 열적, 기계적 물성 및 모폴로지를 XRD, TEM, TGA, DMA, UTM, impact tester, SEM을 이용하여 조사하였다. 지환형 에폭시 수지에 아민기를 포함하는 실리콘 고무, 무수 경화제를 반응시키고 나노클레이를 혼합시켜 나노복합체를 제조하였다. 에폭시 수지에 나노클레이를 소량 첨가하였을 때 모든 물성이 증가하였다. 구조분석결과 20A를 사용한 나노복합체 (이하 C20A)의 박리상태가 가장 좋았으며 TGA에서 회분량과 열안정성(IPDT)은 C30B > C20A 순으로 우수하였다. 동력학적분석(DMA)에서는 저장탄성율(E')은 Tg 이하에서는 C20A @ C10A가 제일 컸다. 굴곡강도와 탄성율은 C30B가 가장 높은 반면에 굴곡파단신율과 충격강도는 C20A가 가장 높았다. 나노클레이 종류에 따른 기계적, 열적 물성의 큰 차이는 없었으나 그 중 C20A가 내열성, 기계적 유연성, 충격강도 등이 균형있게 우수하였다. 모폴로지를 관찰한 결과 나노복합체가 파단될때 거친 표면을 생성하여 충격 에너지를 흡수하였다고 판단되었다. 이에 옥외용 실리콘 고무 개질 지환형 에폭시수지에 20A 나노클레이를 소량 첨가함으로써 우수한 내후성은 물론 개선된 열적, 기계적 특성을 갖는 에폭시 복합체를 제조할 수 있으리라 사료된다.
Outdoor silicone rubber-modified epoxy/clay nanocomposites with various nanoclays were prepared and their flexural properties were investigated. When no nanoclay was added, the flexural strength was approximately 130 MPa, but the flexural strength of the nanocomposite with 2 phr of nanoclay added was improved by approximately 6.2 to 8.5%, reaching 138 to 141 MPa. The order was C30B > C20A = C10A > C0. In addition, the flexural modulus was approximately 3.22 GPa when no nanoclay was added, whereas the nanocomposites improved by approximately 6.5 to 11.5%, reaching 3.59 to 3.54 GPa. The order was C30B > C20A > C10A > C0.

Keywords: silicone rubber, epoxy nanocomposite, nanoclay, weatherable, improved mechanical properties.
본 연구는 2024년도 단국대학교 대학연구비 지원으로 연구되었음(과제번호 R-2024-00621). 여러모로 도움을 주신 홍영기 박사님께 특별한 감사를 드립니다.
저자들은 이해상충이 없음을 선언합니다.
많은 산업분야에서 열에 강하고 강도가 높으면서도 가벼운 고성능 재료에 대한 필요성이 요구되고 있다. 이를 충족하는 복합재료, 특히 고분자 기반의 복합재료가 널리 사용되고 있는데 이들 중 많은 경우 열적, 기계적, 화학적, 전기적인 특성이 우수한 열경화 수지인 에폭시로 만들어진다.1-4
에폭시 복합체의 성능은 에폭시 수지 시스템에 다양한 미세 충전제를 분산시켜서 증가시킬 수 있는데 기지 수지인 에폭시와의 계면접착을 통해 향상되며 충전제의 입자 크기가 감소할수록 복합체의 특성이 현저하게 영향을 받는다. 최근에는 나노미터 크기의 입자를 첨가하여 에폭시와 나노 충전제의 특성이 하나로 결합된 에폭시 나노복합체가 큰 관심을 받고 있다.5-7
나노복합체는 나노미터 크기의 박리된 층상실리케이트를 5 wt% 이하만 포함하여도 전기적, 열적, 기계적 물성은 물론 난연성, 내화학성 및 가스차단성 등의 향상도 기대할 수 있다. 유기화시킨 층상실리케이트의 구조와 개질제(modifier)의 종류와 양을 변화시키면 고분자 수지와의 상호작용이 달라져서 최종 물성에 큰 영향을 미치게 된다.8-10 일반적으로 고분자와의 상용성이 없는 자연에서 얻어진 실리케이트에 고분자와의 친화력을 부여하기 위해서 실리케이트 층간 양이온을 알킬암모늄 이온으로 치환하여 사용한다.11-13
최근 A.I. 데이터 센터 건설 등 전기설비 증설이 폭발적으로 증가하고 있으며 이에 따라 관련된 전기재료 또한 수요가 급증하고 있는 실정이다. 이 중 에폭시 나노복합체는 기존 사용중인 에폭시 복합체에 비해 낮은 충진률로 인해 경량인데다 입자가 작아 미세공극 발생가능성이 낮고 계면효과로 인해 내트래킹성 및 내자외선 특성 등이 우수하여 전기절연재료로서 점점 더 많은 관심을 받고 있다. 에폭시 나노복합체는 사용된 층상 실리케이트의 종류와 함량, 표면처리 방법뿐 아니라 에폭시 나노복합체의 경화 및 유동조건 등에 따라 경화 후 물성들이 큰 영향을 받으므로 최종제품의 품질을 최적화하기 위해서는 에폭시 나노복합체의 구조-물성 관계를 알아야 한다. 이를 위해 본 연구에 앞서 반응속도론과 화학유변학 연구를 선행하여 수행하였고 비교를 위해 Tg 데이터 등을 인용하였다.14
본 연구에서는 옥외에서 사용할 수 있는 내후성 재료의 개발을 목적으로 하였다. 이를 위해 내후성이 양호한 지환형 에폭시를 사용하였고 여기에 취성을 보완하기 위해 반응성 아민기를 가지고 있는 액상 실리콘 고무를 반응시켜 개량하였으며 추가로 여러 종류의 유기치환 층상 실리케이트를 혼합하여 나노복합체를 제조하였다. 이렇게 제조된 옥외용 실리콘 고무 개질 에폭시/클레이 나노복합체의 열적 거동, 기계적 특성 및 모폴로지를 나노클레이 종류에 따라 비교 분석하였다. 또한 이를 바탕으로 하여 향후에는 옥외 환경에서의 오염물, 수분, 자외선, 바람, 진동 등의 영향을 평가하기 위해 전기적 가속 열화 평가로써 내트래킹 및 내아크 시험, 그리고 환경 및 내후성 평가로써 가속 내후성 테스트 등을 진행할 예정이다.
원료. 본 연구에서 사용한 에폭시 수지는 지환형 으로 ES602(에폭시 당량 164~177 g/eq, 하진켐텍, 대한민국)를 정제하지 않고 그대로 사용하였으며, 액상 실리콘수지는 DC355 (아민 당량 250~270 g/eq, Dow Corning, 미국)를 사용하였다. 경화제로는 methyl hexahydrophthalic anhydride인 HJ5500 (분자량 168 g/mol, 하진켐텍, 대한민국)를 사용하였고, 반응 촉진제는 2E4MZ-CN(1-cyanoethyl-2-ethyl-4-methyl imidazole, 시코 쿠 카세이, 일본)을 사용하였다. 나노클레이는
세가지 종류로 Cloisite 30B, 10A, 20A(Southern Clay사, 미국)를 사용하였다. 본 연구에서 사용한 물질과 나노클레이의 구조식은 각각 Figure 1과 2와 같다.
실리콘고무 개질 에폭시 나노복합체의 제조. 50 ℃로 예열된 에폭시 수지와 실리콘 고무수지를 함께 기계적 교반기(IKA, 독일)를 사용하여 500 rpm으로 10분간 혼합하였다. 여기에 나노클레이를 첨가한 후 500 rpm으로 5분간 더 혼합하였다. 이렇게 혼합된 에폭시 수지/실리콘 고무수지/나노클레이 혼합물에 초음파 Horn(Sonics, 미국)을 담그고 1500 W, 20 kHz로 20분간 초음파 처리를 하였다. 혼합할 때 발생한 기포의 제거와 동시에 에폭시 수지와 실리콘 고무수지를 반응시키기 위하여 기계적 강도 측정을 위한 금형에 채운 다음, 상온상태의 진공오븐에 넣고 15분간 감압시켰다. 그리고 150 ℃로 온도를 설정하여 18시간 경화시킨 후, 상온에서 3시간 이상 냉각시켜 실리콘 고무로 개질된 에폭시 나노복합체의 제조를 완료하였다. 이상의 제조과정을 Figure 3에 도시하였고 본 연구에서 사용한 시료의 혼합비를 Table 1에 수록하였다. 혼합비는 무게비로서 주재료(에폭시/실리콘고무)를 100으로 하였고 이에 따라 다른 첨가제의 양을 phr 개념으로 설정하였다.
시험편의 제작. 굴곡강도 및 충격강도 시험편은 각각 ASTM D790 및 ASTM D256을 만족하도록 120×10×4 mm 크기로 제작하였으며, DMA 측정
용 시험편은 ASTM D4065, ASTM D7028을 만족하도록 60×10×2 mm의 크기로 제작하였다.
열적 거동. 경화물의 유리전이온도를 측정하기 위하여 시차주사 열량계 DSC2910(DSC, TA Instrument, 미국)를 사용하였다. 시료 10±3 mg을 hermetic pan에 담아 질소조건하에서 20 ℃/min의 승온속도로 동적주사하여 측정하였다. 경화물의 열분해성은 열중량 분석기 TGA2950(thermogravimetric analysis, TGA, TA Instrument, 미국)를 사용하여 질소 조건 하에서 50~700 ℃까지 10 ℃/min의 승온속도로 측정하였다. 경화물의 온도 변화에 따른 기계적인 물성변화는 동력학적 분석기 Q800(DMA, TA Instrument, 미국)으로 -100~200 ℃까지 1 Hz frequency, 5 ℃/min의 승온 속도로 측정하였다.
모폴로지 분석. 나노복합체의 모폴로지는 아이조드 충격강도 실험 후 파단된 시험편의 파단면을 주사전자현미경(SEM) JSM-6010(JEOL, 일본)과 투과전자현미경(TEM) JEM-2100F (JEOL, 일본)을 이용하여 조사하였다. SEM 측정 시 모든 시험편의 표면은 분석 전에 금증착(sputtered gold)을 하였고 가속전압은 15 kV을 사용하였다.
구조 분석. 나노복합체의 구조는 X선 회절분석기(XRD)를 이용하여 분석하였다. XRD는 CuKα(λ=1.54Å)radiation과 curved graphite crystal monochromator가 부착된 D/MAX-A (Rigaku, 일본)를 사용하였고, 이 때 주사속도(scanning rate)는 0.5°/min이고 주사각도(scattering angle)는 2θ=0.5~10°였다.
기계적 특성. 굴곡시험은 만능 시험기(UTM) LR-5K(Lloyd Instrument, 영국)를 사용하여 2 mm/min 속도로 모든 시편에 대하여 측정하였다. 아이조드 충격시험은 시험전 시험편에 notch를 1.5 mm×0.25R로 가공한 후 CEAST model 6545(CEAST, 이탈리아) 충격시험기를 사용하여 ASTM D256에 의거하여 측정하였다. 기계적 강도의 측정값은 총 6개의 평균값으로 얻었다.
|
Figure 1 Chemical structures of epoxy resin, silicone rubber, hardener and accelerator used in this study: (a) epoxy (ES602); (b) hardener (HJ5500); (c) silicone rubber (DC3055); (d) accelerator (2E4MZ-CN). |
|
Figure 2 Chemical structures of nanoclays used in this study: (a) Cloisite 10A; (b) Cloisite 20A; (c) Cloisite 30B. |
|
Figure 3 Schematic illustration for the preparation of epoxy nanocomposites. |
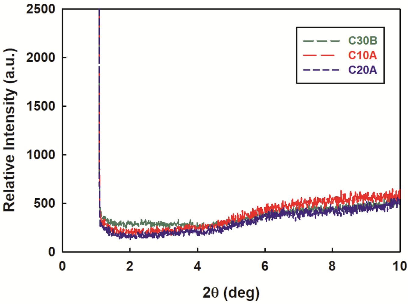
구조분석. 사용된 나노클레이의 XRD 패턴을 Figure 4에 나타내었다. 30B, 10A, 20A의 특징적인 기저반사(basal reflection, d001)는 2q=4.78o, 4.90o, 3.74o에서 강한 피크로 각각 관찰되었는데 상대적으로 30B가 가장 강한 강도를 보였다.
Figure 5는 초음파처리(sonication)한 후의 나노복합체의 XRD 패턴이다. 함유한 나노클레이 종류에 관계없이 반사 피크를 관찰할 수 없었는데 일반적인 경우에는 잘 삽입(intercalated) 또는 박리(exfoliated) 되었다고 판단할 수도 있겠으나 본 연구에서는 박리와 상관없이 나노클레이의 함량이 매우 적기 때문에 피크높이 또한 낮아져서 잘 보이지 않는 것일 수도 있다고 생각되었다.
따라서 나노복합체의 TEM 사진 결과를 Figure 6
에 추가로 나타내었다. 박리상태(d-spacing)는 C20A > C10A > C30B 순으로 벌어져 있었다. 이는 20A의 dihydrogenated tallow ammonium ions이 10A의 benzyl substituted hydrogenated tallow ammonium ions보다 효과적으로 박리되기 때문이고 10A의 benzyl ring은 tallow alkyl chains 보다 hydrophobicity와 polarity를 향상시켜 30B보다 효과적으로 박리되었다고 사료되었다.15
열안정성. 나노클레이 강화 에폭시 복합체의 열분해거동을 TGA 곡선 및 derivative thermogravimetry(DTG) 곡선으로 Figure 7에 도시하였다. 나노복합체는 약 300 ℃를 지나면서 나노복합체의 질량이 서서히 감소하여 330~350 ℃ 정도에서 5 wt%를 잃고 420 ℃ 부근에서 최대 분해 속도를 보이다가 460 ℃ 부근에서 거의 완전히 분해되었는데 나노클레이 첨가량이 증가함에 따라 더 낮은 온도로 이동되었고 회분이 더 증가하였다.
첨가한 나노클레이 종류에 따른 결과를 Table 2에 정리하였다. 박리가 아주 잘된 경우에는 분해온도가 증가하는 것이 보통인데 이 경우 나노클레이가 2 phr 첨가되었을 때 5 wt%-분해온도는 10~20 ℃ 낮아졌고 최대분해온도도 4~8 ℃ 낮아졌다. 이는 다른 나노복합체에서도 나타나는 현상으로 많은 경우 나노클레이 표면의 촉매작용으로
고분자 분해반응을 촉진하기 때문이라고 보고되고 있다.16 그러나 본 연구의 경우는 구조분석 결과에서 보는 바와 같이 박리가 일부 진행되었으나 불충분한 바 높은 열전도도와 낮은 열용량을 갖는 나노클레이에 의한 열전달에 기인하는 점이 더 크다고 사료된다.
에폭시 복합체의 열분해는 가수분해, 열적 산화, 가교 구조의 절단으로 이어지는 일련의 과정을 거치면서 일어나며 Horowitz와 Metzger의 반응 속도론 적분식으로부터 열분해반응의 활성화 에너지를 구할 수 있다.17,18

여기서, Tmax는 최대분해 속도 온도, a는 분해분율, Ea는 열분해 활성화 에너지, q = T - Tmax, R은 이상기체상수이다.
Figure 8은 ln[ln(1-/(1 - α))를 θ(=T - Tmax)에 대해 plot한 것으로 기울기 Ea/RTmax2에서 활성화 에너지를 계산할 수 있고 이 결과를 Table 2에 추가하여 정리하였다. 계산 결과 회분량은 C30B > C20A > C10A > C0 순인 반면에 열분해 활성화 에너지는 C0 > C10A > C20A @ C30B 순으로 반대 경향을 보였다. 보통의 경우 열분해시 회분량이 증가하면
열안정성이 증가하는 것이 일반적인데 본 연구에서는 반대로 나타났다. 열분해 활성화 에너지는 단순히 분해곡선의 모양에 따른 최대 반응속도 과정 만을 이용하여 구한 값이므로 내열성의 지표로는 실용적인 측면에서 다소 부족한 점이 있다고 생각되었다.
한편, Doyle은 TGA결과 그래프를 여러 구간으로 나눈 뒤 그 면적비를 이용하여 적분 열분해 진행 온도(integral procedural decomposition temperature, IPDT)를 식 (2)와 같이 제안하였고 개략도를 Figure 9에 나타내었다.19,20

여기서, Ti와 Tf는 각각 초기온도와 최종온도이다.
본 연구에서는 이 온도들이 각각 50 ℃와 700 ℃였다. A1, A2 및 A3는 온도 구간과 질량차이의 곱을 나타내는 것으로 그림에서 면적에 해당한다. 먼저 A2는 전체 온도 구간과 회분량의 곱으로 정의되며, A1은 전체 온도 구간에서 분해곡선 아래면적에서 A2를 뺀 값이고 A3는 전체 온도구간과 질량%를 곱한 면적에서 분해곡선 아래면적(A1+A2)을 제외한 면적이다.
Figure 10은 나노클레이 종류에 따라 Doyle의 식으로 구한 IPDT와 Horowitz와 Metzger 적분식으로 구한 활성화 에너지를 함께 도시하였다. 나노복합체가 나노클레이가 첨가되지 않은 경우 보다 IPDT는 증가하는 경향을 보인 반면에 열분해 활성화 에너지는 감소하는 상반된 결과를 나타내었다. IPDT 증가 순서는 C30B > C20A > C10A > C0 순으로 회분량의 경우와 같았다. 열분해 활성화 에너지는 주사슬의 절단으로 반응속도를 설명하기 때문에 그 값이 높아도 실제 열분해가 시작되는 온도가 낮으면 실용적이지 않다. 즉, 반응이 일어나기 위해 최소한의 에너지 장벽을 넘어야 하기 때문에 그 전에는 열분해를 평가할 수 없다. 반면에 IPDT는 특정지점의 기울기가 아니라 가열 초기부터 반응 종료 후 회분이 남는 순간까지의 전체 열이력을 반영하는 바 열에 노출되는 전 과정 동안 재료가 버티는 능력을 보여준다. 따라서 IPDT가 열분해 활성화 에너지 보다 본 연구의 목적에 더 적절한 내열성 지표라고 판단된다.
동력학적 특성. Figure 11은 나노클레이 종류에 따른 나노복합체의 저장모듈러스의 온도 의존성을 보여준다. 경화된 나노복합체의 저장탄성율은 낮은 온도에서는 완만한 감소경향을 보이고 있으나 온도가 증가함에 따라 100~150 ℃ 사이의 온도범위에서 급격히 감소하였는데 이는 전체 망상(network)을 구성하는 분자 분절들의 운동성이 증가하여 재료가 유연하게
되었기 때문이다. 35 ℃ 부근에서 저장탄성율을 비교해 보면 나노클레이를 포함하지 않은 경우는 약 1.85 GPa인 반면에 나노복합체는 2.2 GPa 이상으로 약 20~30%의 증가를 보였고 C20A @ C10A > C30B > C0순이었다.
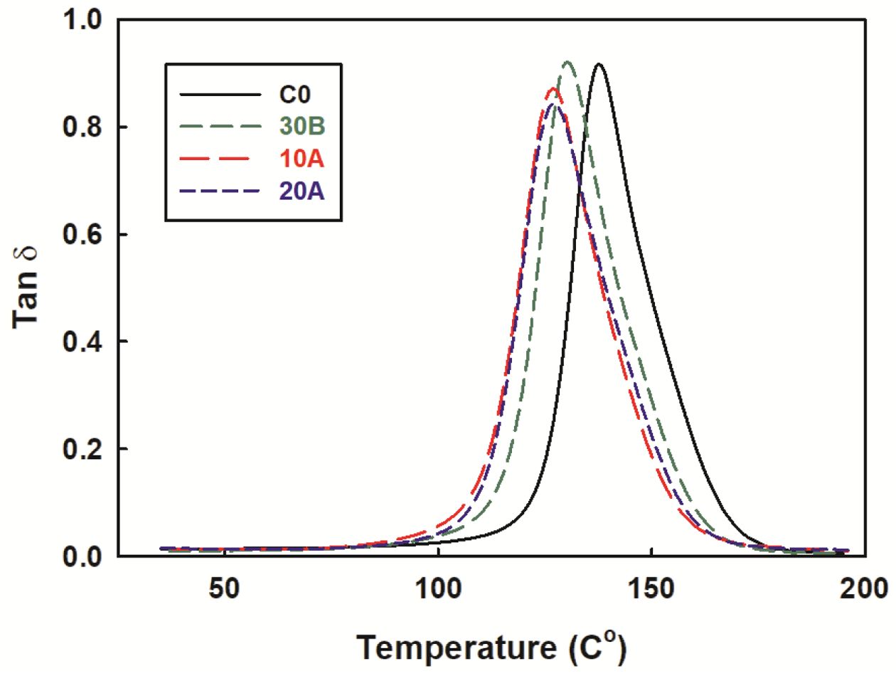
Figure 12은 온도변화에 따른 감쇄율(damping factor, tan δ)의 변화를 보여주고 있다. 가교 고분자망의 유리전이에 해당되는 a 완화 피크가 127~138 ℃ 사이에서 관찰되었다. 나노복합체의 경우 나노클레이가 첨가되지 않을 경우 보다 약 7~11 ℃가 더 낮았다. 피크의 위치는 전이온도와 마찬가지로 C0 > C30B > C10A @ C20A 순이었다. 이는 열 안정성 부분에서 설명한 바와 같이 나노클레이의 열적 특성(높은 열전도도 및 낮은 열용량)에 따라 나노복합체의 경우 더 빠른 열평형에 이르기 때문이라고 판단되었다. 또한 피크의 높이는 나노복합체의 경우가 전체적으로 약간 더 낮았는데 이는 재료의 비균질성
(heterogeneity)이 증가하였기 때문에 나타난 것으로 사료되었다.
Table 3에 DMA 결과로 얻어진 a 완화 피크온도(Tg)과 35 ℃ 및 가공온도에서의 저장탄성율을 DSC 결과와 함께 정리하였다. DMA에서 얻은 Tg가 DSC 측정 값보다 단지 10 ℃ 정도 높을 뿐 같은 경향을 나타내었다.21 이는 DSC와 DMA의 측정 메커니즘의 차이에 의한 열적지연(thermal lag) 때문이라 생각되었다.22,23
기계적 물성. Figure 13에 나노복합체의 굴곡강도와 굴곡탄성율을 도시하였다. 굴곡강도는 나노클레이를 첨가하지 않았을 때 약 130 MPa인 반면에 나노복합체는 138~141 MPa로 약 6.2~8.5% 향상되었다. 순서는 C30B > C20A @ C10A > C0 순이었다. 굴곡탄성율은 나노클레이를 첨가하지 않았을 때 약 3.22 GPa인 반면에 나노복합체는 3.59~3.54 GPa로 각각 약 6.5~11.5% 향상되었다. 순서는 C30B > C20A > C10A > C0 순이었다. 기계적 물성의 결과는 정리하여 Table 4에 수록하였다.
Figure 14에 나노복합체의 굴곡파단신율의 변화를 도시하였다. 굴곡파단신율은 나노클레이를 첨가하지 않았을 때 약 10.1 mm인 반면에 나노복합체는 10.1~12.9 mm로 약 0~28% 향상되었다. 순서
는 C10A > C20A > C30B @ C0 순이었다. 굴곡파단신율 결과도 Table 4에 추가하여 수록하였다. 보통의 복합체의 경우 인장강도나 굴곡강도가 증가할 때 파단신율은 감소하는 경향을 보이는 것이 일반적이다.24 그러나 이와 다르게 본 연구의 나노복합체의 경우에는 모든 굴곡특성이 향상된 것을 볼 수 있었다. 이는 나노클레이의 박리가 완전하지는 않지만 어느정도는 진행되었기 때문이라 판단되었다.
나노복합체의 충격강도를 Figure 15에 나타내었다. 나노클레이를 첨가하지 않았을 때 충격강도는 약 13.6 kJ/m인 반면에 나노복합체는 13.6~14.2 kJ/m로 약 ~4.4% 향상되었다. 순서는 C20A > C30B > C10A @ C0 순이었다. 충격강도 결과도 Table 4에 추가하여 정리하였다.
모폴로지. 아이조드 충격실험 후 파단된 단면의 모폴로지를 전자주사현미경으로 관찰하였다. Figure 16의 SEM 사진을 보면 나노클레이가 첨가되지 않은 C0를 보면 파단면이 깨끗해 보였고 C10A도 별다른 굴곡이 관찰되지 않았다. 반면에 C30B와 C20A는 거칠기가 확연히 증가한 것을 볼 수 있다. 거칠기는 변형과 크랙에 대한 저항성이 더 큰 것을 의미하는 바 충격강도의 결과에 부합하였다.25
이상의 결과에서 일반적인 복합체의 기계적 강도거동과는 다르게 나노복합체의 경우 기계적 강도들이 모두 향상되는 것을 볼 수 있었다. 나노필러는 기존 복합체의 충전제와는 달리 그 크기가 매우 작을 뿐 아니라 TEM에서 보다시피 박리를 하여 소량을 첨가하더라도 표면적이 매우 크다. 따라서 고분자 사슬과의 계면결합력이 상대적으로 더 우세하여 굴곡강도와 탄성율이 증가한 것으로 보인다. 또한 충격강도와 파단신율은 나노필러 입자들의 고른 분포로 인해 응력집중이 최소화 되었고 SEM에서 관찰한 바와 같이 파단시 균열이 전파하는 것을 방해하여 충격에너지를 흡수한 것으로 사료된다.
|
Figure 4 XRD pattern of the nanoclays. |
|
Figure 5 XRD pattern of the nanocomposites. |
|
Figure 6 TEM micrograph of the nanocomposites: (a) C30B; (b) C10A; (c) C20A |
|
Figure 7 TGA thermograms of the nanocomposites. |
|
Figure 8 Kinetics of thermal decomposition of the nanocomposites by using Horowitz-Metzger method. |
|
Figure 9 Schematic diagram of the Doyles method to determine IPDT. |
|
Figure 10 Activation energies and IPDTs of the nanocomposites |
|
Figure 11 Storage modulus of the nanocomposites. |
|
Figure 12 Tan delta of the nanocomposites. |
|
Figure 13 Flexural strength and flexural modulus of the nanocomposites. |
|
Figure 14 Displacement of the nanocomposites. |
|
Figure 15 Izod impact strength of the nanocomposites. |
|
Figure 16 SEM micrograph of the failure impact surface of the nanocomposites: (a) C0; (b) C30B; (c) C10A; (d) C20A. |
나노복합체의 TEM 사진 결과 박리상태는 C20A가 가장 좋았다. 이는 20A의 dihydrogenated tallow ammonium ions이 박리에 효과적이기 때문이라 판단되었다. 열분해 전체 과정을 반영하는 내열성의 지표로 도입한 IPDT는 C30B > C20A 순으로 우수하였다. 일반적인 사용온도 부근(35 ℃)의 저장탄성율은 나노클레이를 포함하였을 때 2.2 GPa 이상으로 약 20~30%의 증가를 보였다. 나노복합체의 기계적강도는 굴곡강도의 경우 138~141 MPa로 약 6.2~8.5% 향상되었다. 순서는 C30B > C20A 순으로 가장 우수하였다. 굴곡탄성율은 3.59~3.54 GPa로 각각 약 6.5~11.5% 향상되었다. 순서는 C30B > C20A 순으로 우수하였다. 굴곡파단신율은 10.1~12.9 mm로 약 ~28% 향상되었다. 순서는 C10A > C20A가 제일 우수하였다. 보통의 복합체의 경우 인장강도나 굴곡강도가 증가할 때 파단신율은 감소하는 경향을 보이는 것이 일반적이나 본 연구의 나노복합체의 경우에는 모든 굴곡특성이 향상된 것을 볼 수 있었다. 이는 더 작은 입자크기인 나노클레이의 분산이 양호하였기 때문이라 판단된다. 충격강도는 13.6~14.2 kJ/m로 약 ~4.4% 향상되었고 C20A가 가장 높았다. SEM으로 충격파단시편의 단면의 모폴로지를 관찰한 결과 C20A의 상대적 거칠기가 확연히 증가한 것을 볼 수 있는 바 변형과 크랙에 대한 저항성이 더 커졌기 때문으로 사료되었다.
에폭시 나노복합체는 기존의 복합체 보다 단순히 충전제 입자크기가 작아진 것을 넘어 나노 입자로 인한 거대한 비표면적이 수지와 결합하여 물성에 커다란 장점을 제공한다. 따라서 본연구의 결과 옥외용 실리콘 고무 개질 지환형 에폭시수지에 20A 나노클레이를 소량 첨가하면 우수한 내후성은 물론 개선된 열적, 기계적 특성을 갖는 에폭시 복합체를 제조할 수 있으리라 사료된다. 또한 향후 나노클레이 함량을 늘리지 않고 박리정도를 증가시켜 물성을 더욱 향상시키는 연구를 지속적으로 진행하고자 한다.
This Article2026; 50(2): 356-364
Published online Mar 25, 2026
Services
Correspondence toDivision of Chemical Engineering, Dankook University, 126, Jukjeon-dong, Suji-gu, Gyeonggi-do, 16890, Korea